Abstract
Large-scale broadband low earth orbit (LEO) satellite systems have become a possibility due to decreased launch costs and rapidly evolving technology. Preventing huge LEO satellite constellations from interfering with the geostationary earth orbit (GSO) satellite system, progressive pitch is a technique to avoid interference with the GSO satellite system that allows the LEO satellite system to maintain a certain angle of separation from the GSO satellite system. Aside from interference avoidance, there is also a need to ensure seamless coverage of the LEO constellation and to optimize the overall transmission capacity of the LEO satellite as much as possible, making it extremely complex to design an effective progressive pitch plan. This paper models an inline interference event and seamless coverage and builds an optimization problem by maximizing transmission capacity. This paper reformulates the problem and designs a genetic algorithm to solve it. From the simulation results, the strategy can avoid harmful interference to the GSO satellite system and ensure the seamless coverage of the LEO constellation, and the satellite transmission capacity is also maximized.
1. Introduction
COVID-19 has profoundly changed the world. The realization of a global Internet connection has been accelerated due to the increasing need for remote work and online education. Although the terrestrial network is so advanced, half the people still do not have Internet access [1]. This connectivity gap could not be ignored while the LEO (Mega Low Earth Orbit) constellation has the potential to deliver broadband Internet access anywhere in the world, which is seen as an efficient solution for equal connectivity worldwide. The LEO constellations are changing the traditional areas such as industrial IoT, agriculture, e-health and energy [2]. The possibilities of the LEO constellation have driven its development, which are detailed below.
- The LEO constellation offers ubiquitous connectivity and is designed to provide services to rural and remote areas [3,4,5] where the terrestrial network is weak, which has been seen as a method to mitigate the digital divide.
- The LEO constellation network could provide a reliable and resilient link immune to natural disaster [6] and warfare.
- In big cities, the LEO network can support the terrestrial network with fair equal connection. The telecom operators could expand their network with the LEO constellation to provide a fast and reliable connection.
- Compared to geostationary earth orbit (GSO) satellites, LEO satellites have much lower orbital altitudes and therefore shorter delays. Compared to terrestrial networks, signals are transmitted via inter-satellite links (ISL), which significantly reduce propagation delays, compared with fiber optics.
With advances in technology and lower launch costs [7], the cost of building a Mega LEO constellation will be lower. SpaceX, Oneweb, Kuiper and other companies are building their broadband LEO constellations at a rapid pace. Although the LEO satellite has the potential to play a significant role in the future network [8], there are challenges to be overcome, such as the limited orbital resources, co-frequency interference and the complexity of the resource allocation [9]. Co-frequency is an inevitable challenge as the different communication systems might share the same frequency with the LEO constellation, such as the terrestrial network and the GSO network. In addition to different communication systems and services, co-frequency interference between LEO constellations also needs to be addressed. The reasonable use of spectrum resources requires the efforts of all operators who have overlapping spectra.
With the launch of a large number of spacecraft, orbital and frequency resources become very congested, making efficient use of non-renewable resources critical for the long-term exploitation of space [10]. The International Telecommunication Union (ITU) has limited the equivalent power flux density (EPFD) of non-geostationary earth orbit (NGSO) satellite systems in Article 22 of the Radio Regulations [11] to avoid unwanted interference from NGSO satellite systems to GSO satellite systems. The mitigation of large-scale LEO constellation interference to GSO satellite systems is one of the major technical concerns according to [12]. Spatial isolation [13], power control [14,15,16], system characteristics database, beamforming and cognitive radio [17,18,19,20] are commonly used interference avoidance methods for satellite systems.
The spatial isolation method includes the design of isolation zones, GSO avoidance arcs and changing satellite pointing methods [21]. The power control method can also be effective in suppressing interference with other systems. In Ref. [22], the authors introduce an adaptive power control technique for uplink and downlink scenarios to reduce inline interference between GSO and O3b satellite systems. In Ref. [23], the database approach is reviewed for the coexistence of NGSO satellite systems and other GSO satellite systems depending on the operational characteristics of the system (e.g., frequency assignment, orbital position and antenna pattern). Zhang et al. in Refs. [24,25] also conducted a series of explorations of cognitive radio on the spectrum coexistence of the NGSO satellite system and GSO satellite system. A spectrum-sensing technique for the NGSO satellite system to access the GSO satellite systems’ spectrum was developed in Ref. [25], which was adopted to detect whether the spectrum resource is occupied by the GSO satellite system and then to identify the specific power level used in the system.
Large-scale LEO satellite constellations generally adopt the method of spatial isolation to avoid interference with GSO satellite systems. The O3b [26] satellite system adopts the equatorial circular orbit constellation in order to avoid interference with the GSO satellite system. The latitude of the O3b system earth station is not less than 10 degrees, so that the angle of the O3b and GSO satellites with respect to the earth station meets a certain threshold. The Leosat [27] satellite uses a GSO arc avoidance angle, with a minimum GSO arc avoidance angle of 7.5 degrees. The Starlink satellite uses advanced phased array technology to provide communication services to ground users in order to avoid the interference to the GSO system that mainly adopts interference avoidance techniques [28] based on isolation angle and beamforming to suppress the interference in the inline scenario. For the OneWeb system, a progressive pitch-based approach is proposed, where the OneWeb satellite shifts its coverage area to lower latitudes by changing its attitude as the latitude of the satellite decreases, thus maintaining an angular separation between the OneWeb [29] system and the GSO satellite system.
Seamless global coverage is a key benefit of large-scale LEO satellite constellations. Due to the large-scale constellation, the Starlink system can provide multiple coverage of the Earth’s surface. It is possible to achieve a blind spot-free coverage of the Earth despite the presence of exclusion zones. For OneWeb’s progressive pitch technology, it is easy to lead to communicate blind spots between adjacent satellites because the satellite coverage area is changed. Communication blind spot elimination also makes the design of the progressive pitch strategy more complicated. The interference avoiding approaches based on spatial isolation are used in both of them, but they are totally different from each other as a result of different beam patterns and antennas. Recently, a progressive pitch scheme based on the OneWeb system to avoid interference to the GSO satellite system in the downlink is given in the literature [30], but the scheme does not guarantee seamless coverage of LEO satellite systems. In this paper, the progressive pitch technique is redesigned based on the seamless coverage characteristics of the LEO satellite constellation.
One of the most important features of the broadband LEO satellite constellation is to provide Internet access for seamless global coverage. When considering interference avoidance for GSO satellite systems, it is necessary to ensure that no blind spots exist within its coverage. Although there is a t of literature on interference to GSO system from LEO constellations, there is still very little research on interference avoidance techniques that can guarantee seamless coverage. This article proposes an interference avoidance scheme that enables seamless coverage.
- We analyze the downlink EPFD of the NGSO satellite system on the orbital plane and evaluate each satellite’s contribution to the EPFD. Based on the results of this analysis, the focus is on the EPFD in the inline scenario.
- Based on the spectrum coexistence scenario of the LEO constellation and GSO satellite system, the inline interference and seamless coverage are modeled. The average total communication capacity of the LEO system is maximized under the constraints of no harmful interference to the GSO system and no blind spots between adjacent satellites. Finally, the corresponding optimization problem is created.
- In order to obtain the optimal interference avoidance strategy, the problem is first discretized and reformulated. Then we solve the problem with a genetic algorithm that includes the design of the fitness function, encoding and operators.
- Based on the inline interference model and OneWeb system parameters, the off-axis angle thresholds are obtained without harmful interference. The variation of various metrics with satellite latitude is also given, which includes the total satellite communication capacity, the range of the coverage overlap between adjacent satellites and the minimum off-axis angle.
The rest of the paper is organized as follows. In Section 2, the inline interference and seamless coverage are modeled, and the corresponding optimization problem is formulated by maximizing the average total satellite communication capacity. In Section 3, the optimization problem is reformulated and solved by genetic algorithm. In Section 4, we evaluate the proposed algorithms by simulations. In Section 5, we conclude the study and provide an outlook on future research directions.
2. Problem Modeling
This section proposes a framework for an interference avoidance scheme for the LEO satellite to the GSO satellite system. First, it must ensure that the LEO satellite system does not generate unacceptable interference to the system. Then it is necessary to ensure seamless coverage of the Earth by the LEO satellite constellation and finally to design the interference avoidance scheme by maximizing the average communication capacity of the system. The detailed notations used in this paoper are sumarized in Table 1.
Table 1.
Notations used in this paper.
We need to avoid inline interference of a single satellite according to the EPFD simulation of satellites in the same orbital plane in Appendix A because the EPFD maximum is determined by the satellite that contributes the most to the EPFD.
2.1. Beam Layout
In this paper, we focus on the polar orbit constellation. The OneWeb satellite has N user beams where N equals 16. Each beam is denoted as , , and its shape is highly elliptical. The coverage pattern is shown in Figure 1, where the major and minor axis of the elliptical beam are along the east–west and north–south directions, respectively. The coverage of Figure 1 is a simplified version of a spherical cap in Earth’s surface, and the flattened coverage in this figure is used to specify how the beams are deployed, such as the frequency plan, the layout of beams and their elevation angles. The beams of the same color in the satellite coverage have the same frequency. The set of frequencies is , where and F is 8 in the OneWeb system. N is an integer multiple of M, and the number of beams of the same frequency is . It is assumed that the satellite is located in the northern hemisphere and moves southward. represents the subsatellite point, where denotes the center of the beam , and denotes the center of the satellite coverage. The angle between and as observed from the satellite is the pitch angle . For the , the elevation angle is .
Figure 1.
The coverage of LEO satellite with the pitch angle being .
The antenna gain of the beam with respect to the point E is determined by the off-axis angles in the major and minor axis directions. To describe the antenna gain, off-axis angles in the minor axis and in the major axis are defined. The antenna gain of beam at point E is a function of and , denoted as .
The antenna model recommended by ITU-R S.1528 [31] is used to model the satellite radiation pattern for NGSO satellite operating in the fixed-satellite service below 30 GHz. According to ITU-R S.1528, the logarithm of is given by
where and , is the maximum gain in the mainlobe (dBi) and is the one-half the 3 dB beamwidth. The far-out side-lobe level, the back-lobe level and the main beam and near-in side-lobe mask cross point below peak gain are denoted as , and , separately. For , the values of a, b and are , and . The value of z is set to 1 to represent the gain of the minor axis of the transmitting antenna.
To describe the antenna envelope of an highly elliptical beam, the one-half 3 dB beamwidths in the minor and major axis of the antenna are denoted as and , respectively. The elliptical antenna gain is simplified to the following
where denotes the antenna gain in the minor axis with the one-half beamwidth being .
2.2. Interference Caculation
EPFD is a method adopted by the International Telecommunication Union Radiocommunication Sector (ITU-R) to evaluate radio frequency interference. To avoid unacceptable radio interference from NGSO systems to GSO systems, Article 22 of the ITU Radio Regulations places corresponding restrictions on EPFD from satellite system to a GSO satellite system. In accordance with the clause, the EPFD between the GSO satellite system and the NGSO satellite system is presented as
where denotes the number of transmitting stations of the NGSO satellite system, and is the input power of the antenna of the ith transmitting station. is the antenna gain of the i-th transmitting station of the NGSO satellite system with an off-axis angle of , and denotes the distance between the ith transmitting station of the NGSO satellite system and the victim receiving station. denotes the antenna gain of the receiving station with the off-axis angle of , and is the maximum antenna gain of it.
2.3. Inline Interference Model
The interference scenario is illustrated in Figure 2, where the GSO earth station, LEO satellite and GSO satellite are located on a straight line. The east–west boundaries of the coverage region of beam are marked by points A and B, respectively. The plane ABL is the cross section where the major axis of elliptical beam is located, and point C is the center of beam . The elevation and azimuth angles are and 0, respectively, where the elevation angle is expressed as .
Figure 2.
Downlink inline interference from NGSO satellite to GSO earth station.
The off-axis angles of point D with respect to the major-axis and minor-axis directions of beam are denoted as and respectively. The LEO satellite is located in the YOZ plane, and the longitude difference is between the GSO satellite and it. The EPFD of point D is shown as below
Given the latitude , longitude difference and pitch angle of the NGSO satellite, refer to Appendix B to calculate and of . Suppose the central frequency of is f, is the set of beams with frequency f, and represents the number of beams with central frequency f, which equals .
In the Inequality (4), is , and d represents the distance between the NGSO satellite and the GSO earth station. The input power of the reference bandwidth is denoted as , which equals to , where is the bandwidth, and is the reference bandwidth regarding the caculation of EPFD. Then, we can have the inequality
where denotes the maximum antenna gain of the GSO earth station, and .
To make the downlink EPFD satisfy the corresponding limits, it is ensured that the right-hand side of (5) is smaller than . Therefore, the off-axis angle in minor axis of the beams should be less than . According to Equation (6), the off-axis angle threshold () can be obtained. In order to circumvent interference from LEO satellites to the GSO satellite system, the off-axis angle of the minor axis of all activated beams of LEO satellites should be less than the threshold.
2.4. Seamless Coverage Model
This section mainly focuses on the seamless coverage provided by the LEO satellite constellation and, to simplify the analysis process, on the orbital plane coverage provided by the LEO satellite constellation. The coverage of the orbital plane of a single LEO satellite is shown in Figure 3. In order to achieve seamless coverage on the orbital plane, it is necessary to ensure that there are overlapping parts in the coverage area of two adjacent satellites, and the size of the overlap is affected by the latitude difference between the adjacent satellites and their interference avoidance strategy.
Figure 3.
The coverage of LEO satellite in orbit plane.
The coverage model of the LEO satellite is shown above. The arc is the coverage corresponding to all beams, and the arc corresponds to the off beams. C is the center of the arc , is the pitch angle, and the number of off beams is K. The order of shutting beams is from the high latitude to the low latitude, and the set of off beams can be represented by . Both the pitch angle and the number of off beams K are functions of the satellite latitude . The latitude of the upper and lower boundaries of the LEO satellite coverage area are and , separately. The elevation angles of points B and D relative to the LEO satellite are functions of the latitude of the LEO satellite, and the elevation angle expressions of D and B are expressed as follows
The expressions of and are shown as below
For any elevation angle the LEO satellite, the corresponding latitude expression is shown as
To achieve seamless coverage in the orbital plane, it is necessary to ensure that there is coverage overlap between neighboring satellites. The constraint can be expressed as
where is the size of overlap, and is the latitude difference between neighboring satellites.
2.5. Performance Evaluation
The system capacity is a common measure of a communication system. The average capacity of the LEO system in the orbital plane is proposed to simplify the analysis of the average communication capacity. For an active beam i, (), the elevation angle expressions for the upper and lower boundaries of the beam coverage are formulated as follows
According to the expression (11) and Equations (13) and (14), the latitude corresponding to the upper and lower boundaries of can also be obtained, and the boundaries are denoted as and here.
The average communication capacity of can be expressed as Equation (15), where is the maximum gain of receiving antennas. The noise of the communication system is , where k is the Boltzmann constant, T is the system noise, and B beam bandwidth; is the distance from the point with latitude x in the coverage to the satellite, and is the elevation angle of the LEO satellite with respect to latitude x. is the set composed of beams of the same frequency as , and c is the speed of radio wave in vacuum.
The total capacity of the LEO satellite is the sum of the average capacity of all activated beams, which is expressed as in Equation (16)
To evaluate the performance of interference avoidance schemes, the integral of the total communication capacity of LEO satellite over latitude is used as an evaluation metric with the expression
2.6. Problem Formulation
According to the interference and coverage model, the average communication capacity of the system is maximized to define the optimization problem.
To circumvent the interference from the LEO system to the GSO system, it is necessary to make the off-axis angle of each beam in the inline scenario larger than the isolation angle threshold . In order to ensure seamless coverage of the LEO satellite, a certain overlapping coverage area needs to be guaranteed between adjacent satellites.
Under the constraints of interference avoidance and seamless coverage, the maximized average communication capacity of the LEO satellite system can be expressed as the following optimization problem.
In the above optimization problem, the constraints include constraints on the maximum pitch angle (18a) and the maximum number of closed beams (18b), in addition to constraints on the seamless coverage (18d) and the harmful interference (18g). In (18g), equals to . For the progressive pitch scheme, both the LEO satellite pitch angle and the number of off beams increase as the satellite latitude decreases.
3. Algorithm Design
This section shows how the problem can be solved using a genetic algorithm. First, we give a brief introduction to the genetic algorithm, and then define the genetic algorithm fitness function and associated operators according to the problem.
3.1. Genetic Algorithm
Genetic algorithms are a class of heuristic algorithms based on evolutionary iteration of populations to obtain better solutions. In genetic algorithms, each individual is genetically determined by a specific way of encoding. The main operators in the evolutionary process of the algorithm include crossover, mutation and selection operators. Since genetic algorithms have been successful in many combinatorial optimization problems with NP-hard, the genetic algorithm has been used to solve the optimal interference avoidance strategy.
3.2. Problem Reformulation
According to the problem description in the previous section, the problem is a combinatorial optimization problem. It is very difficult to solve the original problem directly. To simplify solving the problem, we solve this optimization problem by a sampling of latitudes from 0 to 90 degrees discretely at equal intervals, and the phase difference between adjacent satellites is an integer multiple of the sampling interval. We denote the sampling interval as and , where L is an integer. The discrete optimization problem can be described as the following optimization problem.
3.3. Fitness Function
Genetic algorithms determine the selection and reproduction of populations based on the fitness function. Defining the fitness function of a genetic algorithm requires considering the objective function of the optimization problem and whether the constraints are satisfied. For this optimization problem , the fitness function is defined as follows
where represents the constraint of problem , and E represents the cost factor of constraint violation. I is an indicative function. When , I is 1, otherwise I is 0, where the constraints include the constraints (19a), (19c), (19e), (19f), (19g) and (19h).
3.4. Encoding
The mapping from the problem solution to the genes is called encoding, and the form of encoding directly affects the performance of the algorithm. When solving problem using a genetic algorithm, the optimization variables need to be encoded at each latitude, where the pitch angle is a continuous variable and the number of off beams is a discrete variable. A proper encoding method has been employed to represent progressive pitch scheme, and the difference of the optimization variables are encoded.
The difference of pitch angle between adjacent latitudes is coded, which can be expressed as , and the adjustment of pitch angle is divided into fast adjustment and slow adjustment. The change of pitch angle for fast adjustment is and for slow adjustment is , where T is an integer. The change of the number of off beams between adjacent latitudes is assumed to be at most 1. The whole action space at each latitude is denoted as A, where , and they are no adjustment, slow adjustment, fast adjustment and closing beam, respectively. The length of chromosome is , and each gene on it has four expressions. We denote the chromosome as S, where and , and the gene denotes the action of the latitude of . Therefore the pitch angle and the number of off beams for the latitude could be represented as the following,
In order to obtain more precise adjustment of the progressive pitch scheme, the action space should be extended. The chromosome could be divided into two distinct parts: the mapping of the difference of pitch angle and the mapping of the difference of the number of off beams. However, this extension could impose burden on the searching of optimum progressive pitch scheme.
3.5. Genetic Operator Design
The chromosomes are guided by genetic operators to find an optimal solution for the problem. The genetic operators has been customized regarding the problem, consisting of crossover, mutation and selection, which are combined to find the perfect solution for the problem. The chromosomes are modified by operators toward a better solution in every iteration.
3.5.1. Crossover
The crossover operation combines two chromosomes to generate new superior offspring, and the superior characteristics of the parent chromosome are inherited to the offspring by exchanging several genes. The exchange of genes could be chosen randomly from the entire chromosome sequence. The new offspring at iteration t, , are generated from two parent chromosomes, and . The specific process could be formulated as below: First of all, two parent chromosomes are chosen. Then the genes are randomly chosen to exchange. Finally the offspring is created as the parent chromosomes after exchange. The l-th element in the new offspring is randomly chosen between and , where and are drawn from the population of chromosomes. The crossover operation could be represented as the following,
where is crossover rate and is random value drawn from uniformly. The larger is, the more contributes, otherwise contributes more. The length of the chromosome is denoted as L and equals , and is to draw an integer from . Therefore at least one element is from the chromosome , which avoids the ineffective crossover.
3.5.2. Mutation
In order to prevent the genetic algorithm from falling into local optimal solutions during the optimization process, it is necessary to mutate the individuals during the search process. Regarding the i-th chromosome , the mutation operation is shown as the following: firstly an integer l is draw from , then is replaced with a new gene chosen randomly from action space A excluding . Finally, the chromosome after mutation could be obtained, with one gene being different from the original one.
3.5.3. Selection
The selection operation selects good chromosomes from the old population in a certain way to form a new population in order to reproduce and get the next generation of the population. In this paper, we select the top twenty percent of individuals from the population in terms of fitness and then sample the selected individuals to obtain a new population. Therefore, the new population is generally better than the parent population regarding fitness.
3.6. Complexity Analysis
The genetic algorithms are adopted frequently, but there are no general analysis for all genetic algorithms. The complexity of genetic algorithms include the number of iterations and the cost of each iteration. For each iteration, crossover, mutation and selection operations are performed. Assume the size of the population is M. The complexity of the above operators are , and , respectively; therefore the overall complexity is equivalent to . It is difficult for the number of iterations to reach convergence and complex to find the complexity of iteration. Some interesting findings are in shown in [32,33]. Since the complexity is hard to obtain, in many cases, it is demonstrated by simulations.
4. Numerical Simulation and Results
This section evaluates the results and the performance of the algorithm, including a description of the interference scheme based on a genetic algorithm and related parameters. Then the convergence of the genetic algorithm applied to the progressive pitch strategy is analyzed. The algorithm is evaluated based on the total communication capacity, angular isolation and overlap coverage metrics of the satellite system. Finally, the algorithm is compared with other interference avoidance methods, which can have an effective guarantee of communication capacity of satellites under the condition of seamless coverage and no harmful interference to GSO satellite systems.
4.1. The Simulation Scenario
In this section, the OneWeb system model is used as input to design the interference avoidance scheme based on the genetic algorithm. The OneWeb system is used as a reference system. We have given a detailed description of the parameters of the system. In addition, the settings of the relevant parameters of the genetic algorithm are also given here. The specific parameters are summarized in Table 2.
Table 2.
Parameters of genetic algorithm.
To avoid the unacceptable interference with the GSO satellite system, the off-axis angle threshold needs to be determined. Based on the beamwidth and frequency of the OneWeb system, we are able to obtain the antenna gain of the OneWeb satellite beam in the minor axis. Then according to expression (6), we can obtain the off-axis angle threshold th, which corresponds to an antenna gain that is 27.1 dB lower relative to the maximum antenna gain. The relative antenna gain attenuation of 27.1 dB corresponds to an off-axis angle of 11.5°, which has been given in Table 2.
The number of satellites in each orbital plane N highly affects the seamless coverage of the LEO constellation. The seamless coverage is ensured by the overlap between adjacent satellites. The relationship between coverage overlap and the number of satellites has been shown in Table 3, without considering the harmful interference into the GSO satellite system. The overlap denotes the geocentric angle of the shared coverage between adjacent satellites in the same orbital plane, which increases with the number of satellites.
Table 3.
Coverage overap between adjacent satellites in the same orbit.
In the above table, the seamless coverage in the orbital plane could be ensured. While the co-frequency interference could not be ignored, it is very important to ensure the seamless coverage under progressive pitch. In order to ensure there exists a progressive pitch scheme enabling the global coverage, we study the progressive pitch under 48 satellites per orbit plane.
4.2. The Convergence of the Genetic Algorithm
Figure 4 shows the relationship between the number of iterations and the fitness. It can be seen that the fitness of the best individual reaches convergence after 50 iterations. According to the chromosome of the optimal individual of the population after reaching convergence, we can obtain the interference avoidance strategy of the optimal individual by decoding this chromosome, and the curve of the pitch angle and the number of closed beams of this interference avoidance strategy is shown in Figure 5a,b.
Figure 4.
Convergence of the genetic algorithm.
Figure 5.
The scheme of progressive pitch: (a) pitch angle vs. the latitude of LEO satellite; (b) number of off beams vs. the latitude of the LEO satellite.
In order to demonstrate the effectiveness, several progressive pitch schemes have been compared. A brief introduction of the proposed schemes is as the follows:
- Interference-only: An interference avoidance strategy that considers only interference constraints as given in the literature [30] ignores the seamless coverage.
- Brutal force: This method could achieve the seamless coverage with the interference constraints. Two parameters of latitude need to be determined: one parameter identifies the latitude where the LEO satellites start to tilt their attitude, the another is the latitude that the pitch angle starts to be same with the interference-only scheme.
- GA: The genetic algorithm scheme with random initialisation could ensure the seamless coverage without generating harmful interference to the GSO satellite system, but it has no advantages compared to the brutal force scheme. The action space for A is , of which the previous three elements represent the changes of pitch angle, and the last element represents the changes of the number of off beams.
- GA + brutal force: This method fine tunes the brutal force scheme with a genetic algorithm to further extend the capacity of the LEO satellite. The initial scheme of GA + brutal force is the same with the brutal force scheme. The action space for A is , of which the previous five elements represent the changes of pitch angle and the last two elements represent the changes of the number of off beams.
Figure 5a,b show the variations of the satellite pitch angle and the number of off beams along the latitude in the northern hemisphere, and the interference avoidance strategy in the southern hemisphere is symmetric with the northern hemispere. The maximum values of the number of off beams are the same for the above methods, while the maximum value of the pitch angle in the approaches based on a genetic algorithm is smaller than the approaches of brutal force and interference-only. As LEO satellites orbit to lower latitudes, both pitch angle and the number of off beams increase monotonically, except for the GA + brutal force approach. Combining with Figure 5a,b, the pitch angle of the LEO satellite in the interference-only progressive pitch approach is smaller than other approaches before the satellites turn off the beams. In the interference-only approach, the seamless coverage constraint could not be ensured, while in other methods the seamless coverage is satisfied. In order to enable the seamless coverage, the coverage of LEO satellite needs to be shifted in advance toward the equator to provide more overlap between the adjacent satellite in a lower latitude.
4.3. The Results of the Proposed Algorithm and Comparison
This section compares the above interference avoidance strategies in terms of different metrics, such as the total satellite communication capacity, the minimum off-axis angle of the LEO satellite beams, and the overlapping coverage between the adjacent satellites in the same orbit plane. In order to verify whether the interference avoidance strategy satisfies the corresponding constraints and to evaluate the total communication capacity of the LEO satellite, we performed the related simulations regarding different progressive schemes and the results shown in the Figure 6a–c.
Figure 6.
The comparisons of different schemes in terms of total capacity, minimum off-axis angle and coverage overlap: (a) total capacity of all active beams of the LEO satellite; (b) minimum off-axis angle in the minor axis of LEO satellite beams; (c) coverage overlap between adjacent LEO satellites.
In Figure 6a, the satellite communication capacities have the same trend in the above progressive pitch schemes. The communication capacities decrease slowly at the high latitude; however, when the satellite approaches the lower latitude, the communication capacity decreases significantly, mainly caused by turning off the beams. The shutdown of the satellite beam occurs when the pitch angle reaches its maximum in the interference-only and brutal force schemes. Because of the high dimensional action space, it is difficult to find a good enough solution without an excellent initial guess. While in the GA + brutal force scheme, we take the brutal force scheme as the initial guess and use the genetic algorithm to optimize the solution. Since the capacity of the brutal force scheme nearly reaches the limit of the interference-only scheme, the improvement of the optimized solution by the genetic algorithm is very limited.
Figure 6b,c verify whether the above strategies satisfy the conditions of interference avoidance and seamless coverage, respectively. According to the results in Figure 6b, the minimum off-axis angle of the beams in the minor axis is greater than the angular threshold for all the approaches. There is a natural spatial separation between the LEO and GSO satellite systems at higher latitudes, and the off-axis angles of the LEO satellite beams are larger. The small bumps at low latitudes are mainly caused by turning off the satellite beams. However, in Figure 6c, interference avoidance-only progressive pitch strategy does not satisfy the constraint of seamless coverage. This also shows that designing an interference avoidance strategy by considering only interference avoidance is likely to result in a blind spot in satellite services. When designing a satellite interference avoidance strategy, seamless coverage consideration should not be neglected.
Based on the above simulation results, the interference avoidance scheme proposed in the paper can avoid interference to the GSO satellite system while ensuring seamless coverage; and the capacity of the proposed schemes nearly equals the capacity of interference-only progressive pitch scheme.
5. Conclusions
This paper mainly analyzes the downlink interference from the OneWeb system with a highly elliptical beam to the GSO satellite system and proposes an interference analysis method. From the distribution of EPFD in the orbital plane, a single satellite inline interference model is proposed. The corresponding off-axis angle threshold (th) can be obtained, which is the basis for designing the spatial isolation method. In addition to satisfying the angular isolation of Oneweb satellites, it is important to ensure seamless coverage of the constellation and to use genetic algorithms to maximize the average total satellite communication capacity. The design of the encoding and operator of the genetic algorithm effectively simplifies the solution of this problem.
According to the simulation results, the progressive pitch strategy based on a genetic algorithm can effectively maximize the communication capacity of the LEO satellite under the conditions of interference avoidance and seamless coverage. The performance of the proposed genetic algorithm with the initial guess of brutal force scheme could approach the limit of the interference-only scheme.
This paper presents an interference avoidance strategy designed to ensure seamless coverage of the LEO satellite constellation. However, the interference avoidance only includes changing the satellite pointing and turning off beams and does not study the interference avoidance strategy based on power control, which is a very effective way for interference avoidance. In future research, we will focus on interference avoidance strategies with power control, which will bring benefits to the system performance improvement.
Author Contributions
Conceptualization, C.Z. and L.S.; methodology, L.S.; software, C.Z.; validation, J.C., F.S. and H.W.; formal analysis, C.Z. and H.W.; investigation, C.Z. and J.C.; resources, G.L.; data curation, H.W. and F.S.; writing—original draft preparation, C.Z.; writing—review and editing, H.W.; visualization, F.S.; supervision, G.L.; project administration, G.L.; funding acquisition, G.L. and L.S. All authors have read and agreed to the published version of the manuscript.
Funding
This research was funded by the National special support plan for high-level talents (No. WRJH19DH01), National Science Foundation of China (No. U21A20443), and Shanghai Sailing Program (No. 19YF1446400).
Institutional Review Board Statement
Not applicable.
Informed Consent Statement
Not applicable.
Data Availability Statement
The data presented in this study are available on request from the corresponding author.
Conflicts of Interest
The authors declare no conflict of interest.
Appendix A. EPFD Analysis for the Orbit Plane
In the LEO satellite constellation, in addition to the EPFD contribution from satellites in the same orbit, it is also necessary to consider satellites in adjacent orbits. To simplify the analysis process, we mainly consider the interference from satellites in the same orbit to the GSO earth station, and the interference scenario is shown in Figure A1, where the red ellipses denote represent the beams with same frequency. The contribution to EPFD of a particular GSO earth station is dominated by the nearby satellites. Therefore, in order to evaluate the interference of different satellites in the LEO constellation to the GSO satellite system, we propose an analytical model of EPFD.
In Figure A1, the GSO earth station beam is pointed at the GSO satellite and also receives co-frequency interference from the LEO satellite. The elevation angle of the GSO earth station with respect to the j-th LEO satellite is denoted as , and the set of beams with frequency is denoted as . For the j-th satellite, the latitude and attitude pitch angle are and , respectively.
The downlink interference is determined by the aggregation of the interference links from the LEO satellites. For frequency , the aggregate EPFD at the GSO earth stations can be expressed as
where J denotes the set of LEO satellites in the same orbit. The and are the power flux density from of the j-th LEO satellite and the off-axis angle corresponding to the j-th satellite.
Figure A1.
The interference scenario between the NGSO system and the GSO system.
Figure A1.
The interference scenario between the NGSO system and the GSO system.

The distance between the LEO satellite and the GSO earth station is , and the expression of is shown as
where is the input power of the LEO satellite transmitting antenna, and is the off-axis angle in the minor axis of of the j-th NGSO satellite corresponding to the GSO earth station. According to (), can be expressed as , where and are the bandwidth of user beam and the reference bandwidth (40 kHz).
The maximum EPFD of the GSO earth station is , and the corresponding frequency is .
In order to analyze the contribution of a single LEO satellite to the downlink EPFD, we define the EPFD of the j-th satellite, and its expression is shown as
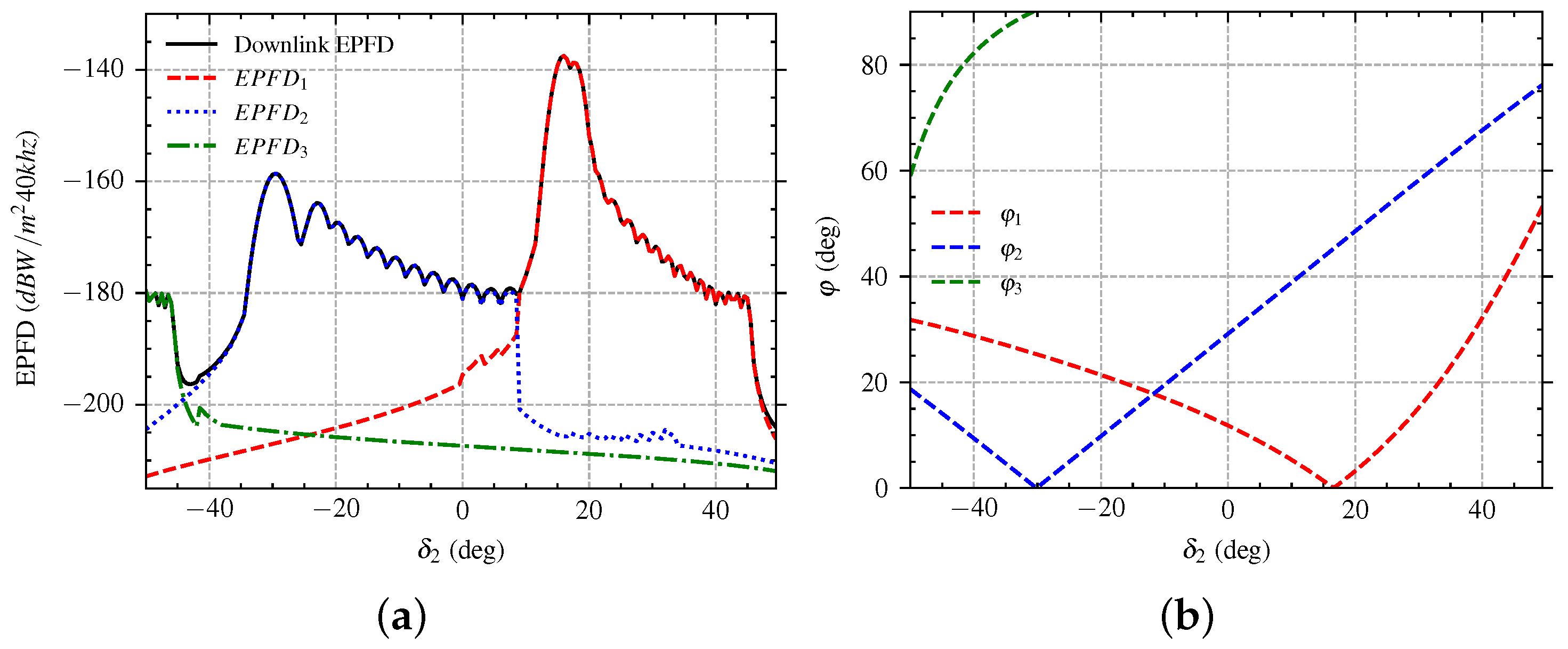
In order to explore the distribution of adjacent satellites to EPFD, we analyze the contribution of three adjacent satellites to EPFD. According to the relevant parameters of the OneWeb system shown in Table 2, the simulation results are obtained as shown in Figure A2.
According to the ITU-RS 1428 [34], the antenna model of the GSO earth station with the given antenna aperture to wavelength ratio () is represented as
where represents the maximum gain of the GSO earth station which equals to , and is . The logarithm of is written as .
Figure A2.
The downlink EPFD and the off-axis angle of the GSO earth station versus the elevation angle : (a) the downlink EPFD with ; (b) the off-axis angles of GSO earth station with .
Figure A2.
The downlink EPFD and the off-axis angle of the GSO earth station versus the elevation angle : (a) the downlink EPFD with ; (b) the off-axis angles of GSO earth station with .

Figure A2a shows the variation of the satellite EPFD with the elevation angle of the NGSO sat2, and Figure A2b depicts the variation of the off-axis angle of the GSO earth station. From the downlink EPFD distributions in Figure A2a, the peak EPFD of the LEO system is dominated by the EPFD generated by one of the satellites. Combining these two pictures, we can find that the off-axis angle of the GSO earth station corresponding to the large EPFD peak is always close to zero degrees. When the off-axis angle of the GSO earth station is 0, the earth station, the LEO satellite and the GSO satellite are located in a straight line.
In order to keep the downlink EPFD of the system within the EPFD limit, the LEO satellite operator needs to suppress the EPFD in the in-line interference scenario. Based on the above simulation results, an interference analysis model for a single satellite are proposed in Section 2. Ensuring that the EPFD limits are met in this scenario could ensure that the LEO satellite constellation does not cause harmful interference to GSO satellite systems.
Appendix B. The Calculation of Off-Axis Angles ,
The off-axis angle and are computed as the following.
In Equations (A5) and (A6), denotes the unit vector, , in the beam coordinate system . Then, the coordinates of in the beam rectangular coordinate system are derived. The coordinates of the NGSO satellite and the GSO satellite in the Earth coordinate system could be expressed as (A7) and (A8).
Accordingly, the unit vector in the earth rectangular coordinate system can be represented as (A9), and the conversion matrix from the beam rectangular coordinate system to the earth rectangular coordinate system is expressed as R.
Since G, L and D are inline, the coordinates of can be represented as the following.
References
- Handforth, C. Closing the coverage gap: How innovation can drive rural connectivity. GSMA Connect. Soc. 2019. Available online: https://www.gsma.com/mobilefordevelopment/wp-content/uploads/2019/07/GSMA-Closing-The-Coverage-Gap-How-Innovation-Can-Drive-Rural-Connectivity-Report-2019.pdf (accessed on 1 May 2022).
- Liu, S.; Gao, Z.; Wu, Y.; Ng, D.W.K.; Gao, X.; Wong, K.K.; Chatzinotas, S.; Ottersten, B. LEO satellite constellations for 5G and beyond: How will they reshape vertical domains? IEEE Commun. Mag. 2021, 59, 30–36. [Google Scholar] [CrossRef]
- Kodheli, O.; Guidotti, A.; Vanelli-Coralli, A. Integration of Satellites in 5G through LEO Constellations. In Proceedings of the GLOBECOM 2017—2017 IEEE Global Communications Conference, Singapore, 4–8 December 2017; pp. 1–6. [Google Scholar]
- Liu, J.; Shi, Y.; Zhao, L.; Cao, Y.; Sun, W.; Kato, N. Joint placement of controllers and gateways in SDN-enabled 5G-satellite integrated network. IEEE J. Sel. Areas Commun. 2018, 36, 221–232. [Google Scholar] [CrossRef]
- Giambene, G.; Kota, S.; Pillai, P. Satellite-5G integration: A network perspective. IEEE Netw. 2018, 32, 25–31. [Google Scholar] [CrossRef]
- Tani, S.; Motoyoshi, K.; Sano, H.; Okamura, A.; Nishiyama, H.; Kato, N. Flexibility-enhanced HTS system for disaster management: Responding to communication demand explosion in a disaster. IEEE Trans. Emerg. Top. Comput. 2017, 8, 159–167. [Google Scholar] [CrossRef]
- Jones, H. The recent large reduction in space launch cost. In Proceedings of the 48th International Conference on Environmental Systems, Albuquerque, NM, USA, 8–12 July 2018. [Google Scholar]
- Evans, B.; Werner, M.; Lutz, E.; Bousquet, M.; Corazza, G.E.; Maral, G.; Rumeau, R. Integration of satellite and terrestrial systems in future multimedia communications. IEEE Wirel. Commun. 2005, 12, 72–80. [Google Scholar] [CrossRef] [Green Version]
- Al Homssi, B.; Al-Hourani, A.; Wang, K.; Conder, P.; Kandeepan, S.; Choi, J.; Allen, B.; Moores, B. Next Generation Mega Satellite Networks for Access Equality: Opportunities, Challenges, and Performance. IEEE Commun. Mag. 2022, 60, 18–24. [Google Scholar] [CrossRef]
- Clegg, A.; Weisshaar, A. Future radio spectrum access. Proc. IEEE 2014, 102, 239–241. [Google Scholar] [CrossRef]
- Radio Regulations. 2020. Available online: https://www.itu.int/dms_pub/itu-r/opb/reg/R-REG-RR-2020-ZPF-E.zip (accessed on 1 May 2022).
- Su, Y.; Liu, Y.; Zhou, Y.; Yuan, J.; Cao, H.; Shi, J. Broadband LEO satellite communications: Architectures and key technologies. IEEE Wirel. Commun. 2019, 26, 55–61. [Google Scholar] [CrossRef]
- Oh, D.S.; Lee, S.M.; Ahn, D.S.; Kim, S. A study on the separation distance for frequency sharing between gso network and terrestrial network in Ka band. In Proceedings of the VTC Spring 2008—IEEE Vehicular Technology Conference, Marina Bay, Singapore, 11–14 May 2008; pp. 2967–2971. [Google Scholar]
- Morita, M.; Matsunaga, Y.; Hamabe, K. Adaptive power level setting of femtocell base stations for mitigating interference with macrocells. In Proceedings of the 2010 IEEE 72nd Vehicular Technology Conference—Fall, Ottawa, ON, Canada, 6–9 September 2010; pp. 1–5. [Google Scholar]
- Kazemi, R.; Vesilo, R.; Dutkiewicz, E.; Fang, G. Inter-network interference mitigation in wireless body area networks using power control games. In Proceedings of the 2010 10th International Symposium on Communications and Information Technologies, Tokyo, Japan, 26–29 October 2010; pp. 81–86. [Google Scholar]
- Kim, D.I.; Shin, E.H.; Jin, M.S. Hierarchical power control with interference allowance for uplink transmission in two-tier heterogeneous networks. IEEE Trans. Wirel. Commun. 2014, 14, 616–627. [Google Scholar] [CrossRef]
- Jiang, C.; Chen, Y.; Liu, K.R.; Ren, Y. Renewal-theoretical dynamic spectrum access in cognitive radio network with unknown primary behavior. IEEE J. Sel. Areas Commun. 2013, 31, 406–416. [Google Scholar] [CrossRef]
- Hu, F.; Chen, B.; Zhu, K. Full spectrum sharing in cognitive radio networks toward 5G: A survey. IEEE Access 2018, 6, 15754–15776. [Google Scholar] [CrossRef]
- Pourgharehkhan, Z.; Taherpour, A.; Gazor, S. Spectrum sensing using a uniform uncalibrated linear antenna array for cognitive radios. IEEE Trans. Wirel. Commun. 2018, 18, 741–752. [Google Scholar] [CrossRef]
- Gong, T.; Yang, Z.; Zheng, M. Compressive subspace learning based wideband spectrum sensing for multiantenna cognitive radio. IEEE Trans. Veh. Technol. 2019, 68, 6636–6648. [Google Scholar] [CrossRef]
- Methods to Enhance Sharing between Non-GSO FSS Systems (Except MSS Feeder Links) in the Frequency Bands between 10–30 GHz. 2000. Available online: https://www.itu.int/dms_pubrec/itu-r/rec/s/R-REC-S.1431-0-200001-I!!PDF-E.pdf (accessed on 1 May 2022).
- Sharma, S.K.; Chatzinotas, S.; Ottersten, B. In-line interference mitigation techniques for spectral coexistence of GEO and NGEO satellites. Int. J. Satell. Commun. Netw. 2016, 34, 11–39. [Google Scholar] [CrossRef]
- Höyhtyä, M.; Mämmelä, A.; Chen, X.; Hulkkonen, A.; Janhunen, J.; Dunat, J.C.; Gardey, J. Database-assisted spectrum sharing in satellite communications: A survey. IEEE Access 2017, 5, 25322–25341. [Google Scholar] [CrossRef]
- Zhang, C.; Jin, J.; Kuang, L.; Jiang, C.; He, Y. Blind spot of spectrum awareness techniques in nongeostationary satellite systems. IEEE Trans. Aeros. Electron. Syst. 2018, 54, 3150–3159. [Google Scholar]
- Zhang, C.; Jiang, C.; Jin, J.; Wu, S.; Kuang, L.; Guo, S. Spectrum sensing and recognition in satellite systems. IEEE Trans. Veh. Technol. 2019, 68, 2502–2516. [Google Scholar] [CrossRef]
- Barnett, R.J. O3b Non-Geostationary Satellite System: Technical Information to Supplement Schedules—Attachment to Fcc Application sat-loi-20141029-00115; Technical Report SAT-LOI-20160428-00041; Federal Communications Commission: Washington, DC, USA, 2014. [Google Scholar]
- LeoSat. LeoSat Non-Geostationary Satellite System: Technical Information to Supplement Schedules—AttacLeoSathment to fcc Application sat-PDR-20161115-00112; Technical Report SAT-PDR-20161115-00112; Federal Communications Commission: Washington, DC, USA, 2016. [Google Scholar]
- Mihai, A. Spacex Non-Geostationary Satellite System: Technical Information to Supplement Schedules—Attachment to fcc Application sat-loa-20161115-00118; Technical Report SAT-LOA-20161115-00118; Federal Communications Commission: Washington, DC, USA, 2016. [Google Scholar]
- Barnett, R.J. OneWeb Non-Geostationary Satellite System: Technical Information to Supplement Schedules—Attachment to fcc Application sat-loi-20160428-00041; Technical Report SAT-LOI-20160428-00041; Federal Communications Commission: Washington, DC, USA, 2016. [Google Scholar]
- Li, T.; Jin, J.; Li, W.; Ren, Z.; Kuang, L. Research on interference avoidance effect of OneWeb satellite constellation’s progressive pitch strategy. Int. J. Satell. Commun. Netw. 2021, 39, 524–538. [Google Scholar] [CrossRef]
- Satellite Antenna Radiation Patterns for Nongeostationary Orbit Satellite Antennas Operating in the Fixed-Satellite Service below 30 GHz. 2001. Available online: https://www.itu.int/dms_pubrec/itu-r/rec/s/R-REC-S.1528-0-200106-I!!PDF-E.pdf (accessed on 1 May 2022).
- Oliveto, P.S.; He, J.; Yao, X. Time complexity of evolutionary algorithms for combinatorial optimization: A decade of results. Int. J. Autom. Comput. 2007, 4, 281–293. [Google Scholar] [CrossRef] [Green Version]
- Rabinovich, Y.; Wigderson, A. Techniques for bounding the convergence rate of genetic algorithms. Random Struct. Algorithms 1999, 14, 111–138. [Google Scholar] [CrossRef]
- Reference FSS Earth Station Radiation Patterns for Use in Interference Assessment Involving Non-GSO Satellite in Frequency Bands between 10.7 GHz and 30 GHz. 2001. Available online: https://www.itu.int/dms_pubrec/itu-r/rec/s/R-REC-S.1428-1-200102-I!!PDF-E.pdf (accessed on 1 May 2022).
Publisher’s Note: MDPI stays neutral with regard to jurisdictional claims in published maps and institutional affiliations. |
© 2022 by the authors. Licensee MDPI, Basel, Switzerland. This article is an open access article distributed under the terms and conditions of the Creative Commons Attribution (CC BY) license (https://creativecommons.org/licenses/by/4.0/).





