A Low Complexity Sensing Algorithm for Non-Sparse Wideband Spectrum
Abstract
:1. Introduction
2. Folded Time-Frequency Spectrum Model
2.1. Multicoset Sampling and Digital Fractional Delay
2.2. Time-Frequency Transform
2.3. Model Display
3. AdNoR Algorithm
3.1. ADFS Structure
3.2. Aliased TF Sub-Channel Detection
3.3. TF Subband Classification
| Algorithm 1 AdNoR Decoder |
| 1: for each aliased TF sub-channel do |
| 2: Calculate as the test statistic. |
| 3: if then |
| 4: the -th aliased TF sub-channel is active; |
| 5: for each TF subband who folds into the -th aliased TF sub-channel do |
| 6: Calculate . |
| 7: end for |
| 8: Choose . |
| 9: the -th subband is active. |
| 10: end if |
| 11: end for |
3.4. Computational Complexity Analysis
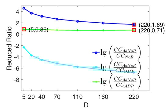
4. Simulation
5. Conclusions
Author Contributions
Funding
Institutional Review Board Statement
Informed Consent Statement
Data Availability Statement
Conflicts of Interest
References
- Tian, Z.; Gueorgos, B. Compressed Sensing for Wideband Cognitive Radios. In Proceedings of the IEEE International Conference on Acoustics, Honolulu, HI, USA, 15–20 April 2007. [Google Scholar]
- Wang, Y.; Wang, J.; Xu, Z. On recovery of block-sparse signals via mixed l2lq(0 < q ≤ 1) norm minimization. EURASIP J. Adv. Signal Process. 2013, 1, 1687–6180. [Google Scholar]
- Nasar, W.; Rehman, A.; Wang, H. An Efficient Greedy Algorithm for Wideband Spectrum Sensing for Cognitive Radio Networks. In Proceedings of the IEEE International Conference on Green Computing and Communications, Halifax, NS, Canada, 30 July–3 August 2018. [Google Scholar]
- Yen, C.; Tsai, Y.; Wang, X. Wideband Spectrum Sensing Based on Sub-Nyquist Sampling. IEEE Trans. Signal Process. 2013, 61, 3028–3040. [Google Scholar] [CrossRef]
- Romero, D.; Ariananda, D.; Tian, Z. Compressive Covariance Sensing: Structure-based compressive sensing beyond sparsity. IEEE Signal Process. Mag. 2016, 33, 78–93. [Google Scholar] [CrossRef]
- Ren, S.; Zeng, Z.; Guo, C. A Low Computational Complexity Algorithm for Compressive Wideband Spectrum Sensing. IEICE Trans. Fundam. Electron. Commun. Comput. Sci. 2017, 100, 294–300. [Google Scholar] [CrossRef]
- Ren, S.; Zeng, Z.; Guo, C. A Low Complexity Sensing Algorithm for Wideband Sparse Spectra. IEEE Commun. Lett. 2017, 21, 92–95. [Google Scholar] [CrossRef]
- Ren, S.; Zeng, Z.; Guo, C. A Low-Computation Compressive Wideband Spectrum Sensing Algorithm Based on Multirate Coprime Sampling. IEICE Trans. Fundam. Electron. Commun. Comput. Sci. 2017, 4, 1060–1065. [Google Scholar] [CrossRef]
- Ren, S.; Chen, W.; Li, D. An Adaptive Compressive Wideband Spectrum Sensing Algorithm Based on Least Squares Support Vector Machine. IEEE Access 2021, 9, 116594–116603. [Google Scholar] [CrossRef]
- Fang, J.; Wang, B.; Li, H. Recent Advances on Sub-Nyquist Sampling-Based Wideband Spectrum Sensing. IEEE Wirel. Commun. 2021, 28, 115–121. [Google Scholar] [CrossRef]
- Gong, T.; Yang, Z.; Zhi, J. Compressive Subspace Learning Based Wideband Spectrum Sensing for Multiantenna Cognitive Radio. IEEE Trans. Veh. Technol. 2019, 68, 6636–6648. [Google Scholar] [CrossRef]
- Joshi, H.; Himani; Darak, S. Throughput Optimized Non-Contiguous Wideband Spectrum Sensing via Online Learning and Sub-Nyquist Sampling. IEEE Wirel. Commun. Lett. 2019, 8, 805–808. [Google Scholar] [CrossRef] [Green Version]
- Orduyilmaz, A.; Adnan; Ispir, M. Ultra Wideband Spectrum Sensing for Cognitive Electronic Warfare Applications. In Proceedings of the 2019 IEEE Radar Conference (RadarConf), Boston, MA, USA, 22–26 April 2019. [Google Scholar]
- Zhou, Z. Research on Spectrum Measurement and Channel Occupancy Modeling for Cognitive Radio. Master’s Thesis, Beijing Jiaotong University, Beijing, China, 2011. [Google Scholar]
- Zhang, C.; Zhang, Y.; Xiao, J. Aeronautical Central Cognitive Broadband Air-to-Ground Communications. IEEE J. Sel. Areas Commun. 2015, 33, 946–957. [Google Scholar] [CrossRef]
- Andrews, J.; Buzzi, S.; Choi, W. What Will 5G Be? IEEE J. Sel. Areas Commun. 2014, 32, 1065–1082. [Google Scholar] [CrossRef]
- Zha, S. Research on Compressed Wideband Spectrum Sensing. Ph.D. Dissertation, Degree-Granting University National University of Defense Technology, Changsha, China, 2014. [Google Scholar]
- Zhang, Z.; Li, H.; Yang, D. Collaborative compressed spectrum sensing: What if spectrum is not sparse? Electron. Lett. 2011, 47, 519–520. [Google Scholar] [CrossRef]
- Zheng, S.; Yang, X. Reconstruction failure detection for wideband spectrum sensing with modulated wideband converter based sub-Nyquist sampling. In Proceedings of the 2014 XXXIth URSI General Assembly and Scientific Symposium (URSI GASS), Beijing, China, 16–23 August 2014. [Google Scholar]
- Shaban, M.; Perkins, D.; Bayoumi, M. Application of compressed sensing in wideband cognitive radios when sparsity is unknown. In Proceedings of the 15th Annual IEEE Wireless and Microwave Technology Conference (WAMICON), Tampa, FL, USA, 6 June 2014. [Google Scholar]
- Ma, Y.; Gao, Y.; Cavallaro, A. Sparsity Independent Sub-Nyquist Rate Wideband Spectrum Sensing on Real-Time TV White Space. IEEE Trans. Veh. Technol. 2017, 66, 8784–8794. [Google Scholar] [CrossRef]
- Ping, F.; Bresler, Y. Spectrum-blind minimum-rate sampling and reconstruction of multiband signals. In Proceedings of the 1996 IEEE International Conference on Acoustics, Speech, and Signal Processing Conference Proceedings, Atlanta, GA, USA, 9 May 1996. [Google Scholar]
- Mallat, S. A Wavelet Tour of Signal Processing, 3rd ed.; Academic Press: Boston, MA, USA, 2009; pp. 89–153. [Google Scholar]
- Shen, Z.; Chen, R.; Andrews, J.G. Low complexity user selection algorithms for multiuser MIMO systems with block diagonalization. IEEE Trans. Signal Process. 2006, 54, 3658–3663. [Google Scholar] [CrossRef]





Publisher’s Note: MDPI stays neutral with regard to jurisdictional claims in published maps and institutional affiliations. |
© 2022 by the authors. Licensee MDPI, Basel, Switzerland. This article is an open access article distributed under the terms and conditions of the Creative Commons Attribution (CC BY) license (https://creativecommons.org/licenses/by/4.0/).
Share and Cite
Ren, S.; Chen, W.; Wu, H.; Li, D.; Hu, Z. A Low Complexity Sensing Algorithm for Non-Sparse Wideband Spectrum. Sensors 2022, 22, 6295. https://doi.org/10.3390/s22166295
Ren S, Chen W, Wu H, Li D, Hu Z. A Low Complexity Sensing Algorithm for Non-Sparse Wideband Spectrum. Sensors. 2022; 22(16):6295. https://doi.org/10.3390/s22166295
Chicago/Turabian StyleRen, Shiyu, Wantong Chen, Hailong Wu, Dongxia Li, and Zhongwei Hu. 2022. "A Low Complexity Sensing Algorithm for Non-Sparse Wideband Spectrum" Sensors 22, no. 16: 6295. https://doi.org/10.3390/s22166295
APA StyleRen, S., Chen, W., Wu, H., Li, D., & Hu, Z. (2022). A Low Complexity Sensing Algorithm for Non-Sparse Wideband Spectrum. Sensors, 22(16), 6295. https://doi.org/10.3390/s22166295

