Spatial–Spectral Constrained Adaptive Graph for Hyperspectral Image Clustering
Abstract
:1. Introduction
2. Methodology
2.1. Formulation of PCSSCAG
2.2. Optimizayion of PCSSCAG
- (1)
- Update FIf S and P are fixed, the optimal F can be computed byThe optimal F is formed by the c eigenvectors of corresponding to the c smallest eigenvalues.
- (2)
- Update PAssuming F and S is given, the optimization problem becomesIt can be written as
- (3)
- Update SDue to , the optimal S can be obtained from this problem
2.3. Computational Complexity Analysis for PCSSCAG
Algorithm 1 Optimization Algorithm for Solving PCSSCAG |
Input: Dataset , cluster number c, reduced dimension m, parameter , , and . |
Initialization: Initialize S by computing the problem (1). |
while not converged do |
1: Update F by computing problem (6). |
2: Update P by computing problem (8). |
3: For each i, update the i-th row of S by computing problem (10). |
Output:S, P |
2.4. Large-Scale HSI Clustering Strategy with PCSSCAG
3. Experiments
3.1. Data Description
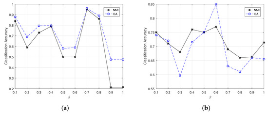
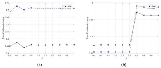
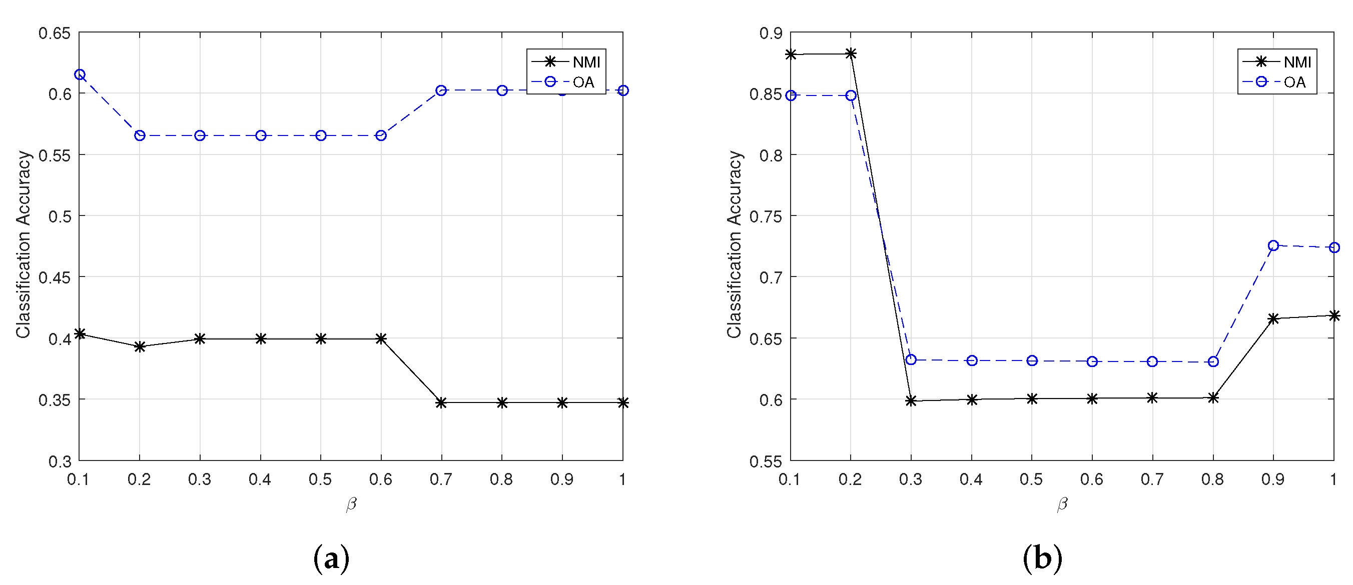
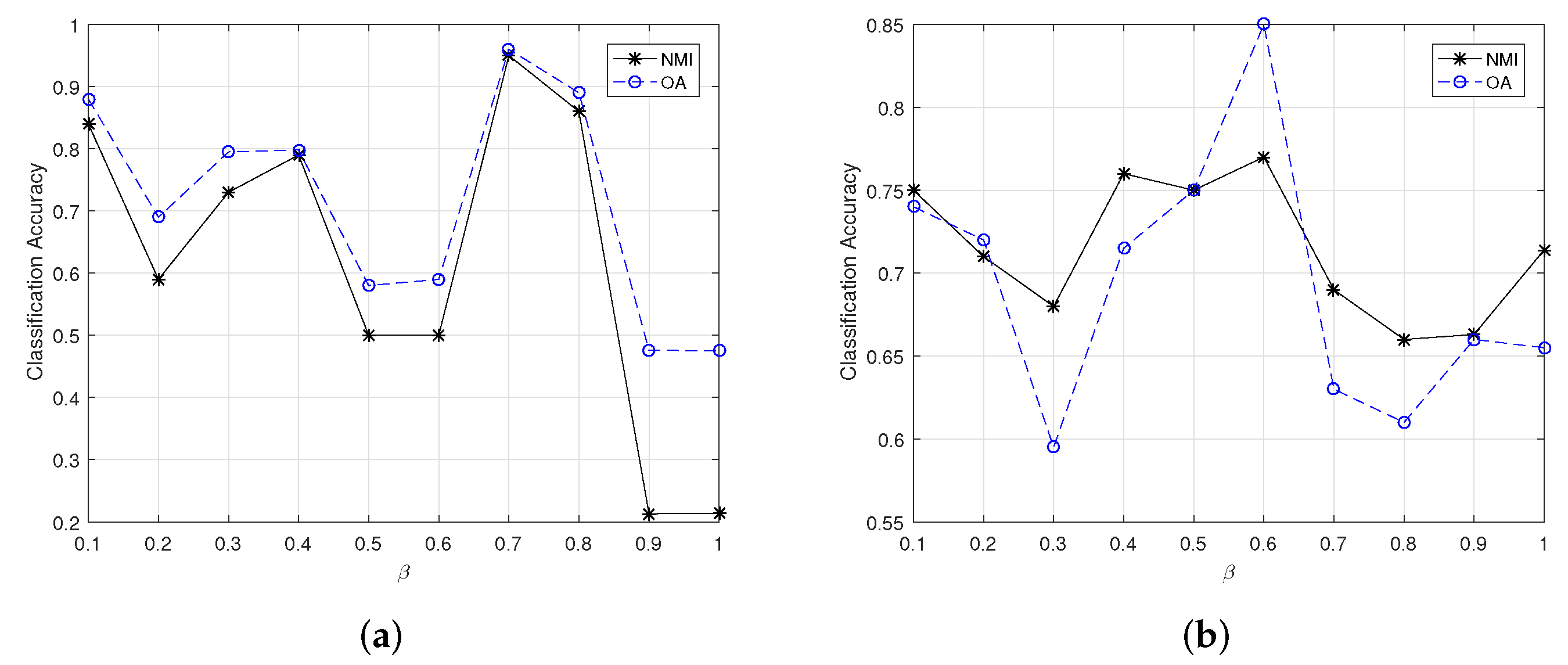
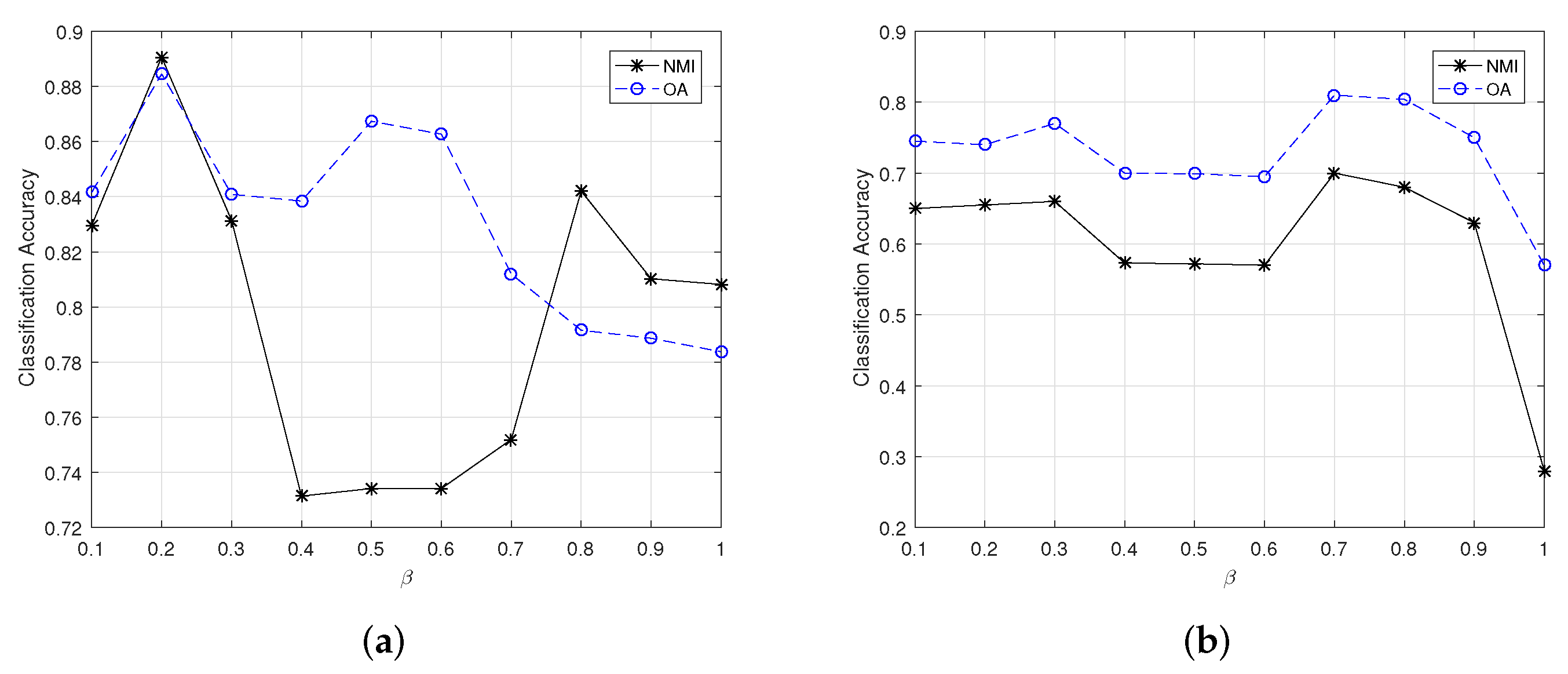
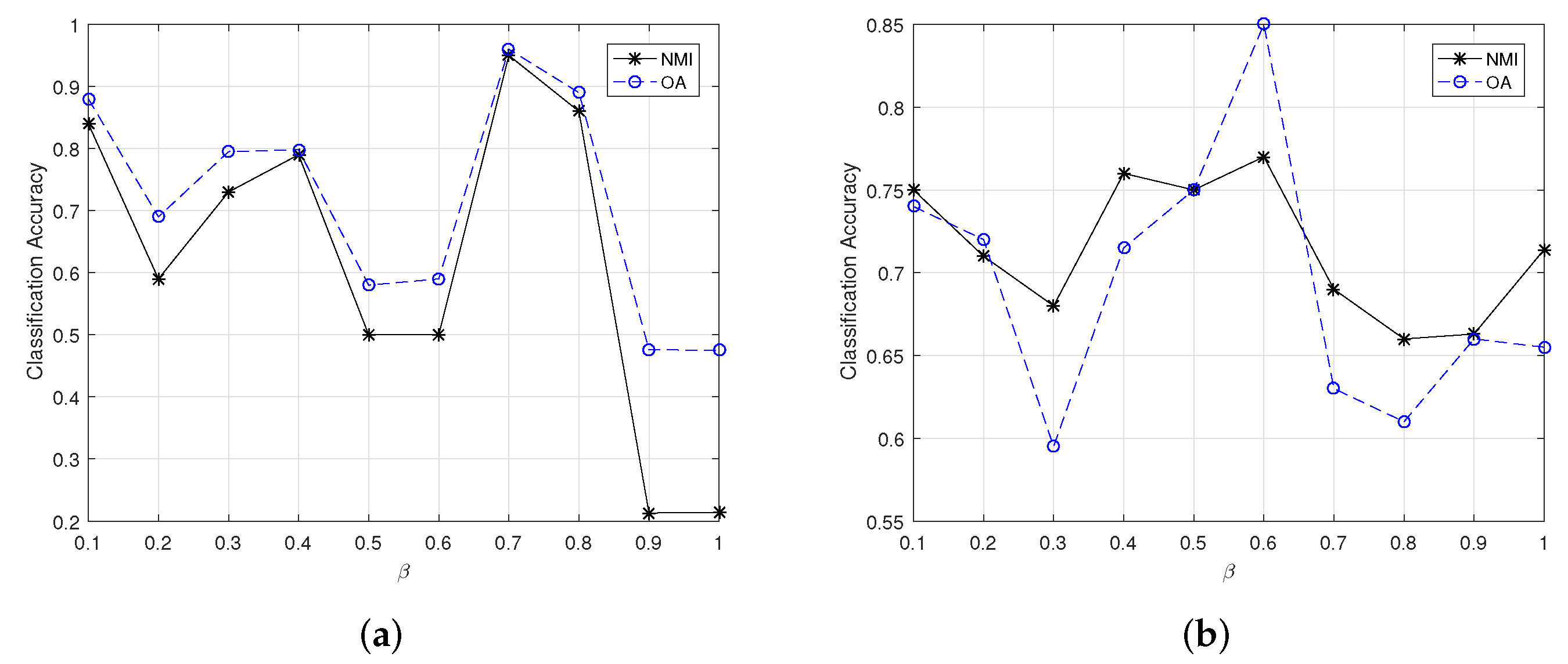
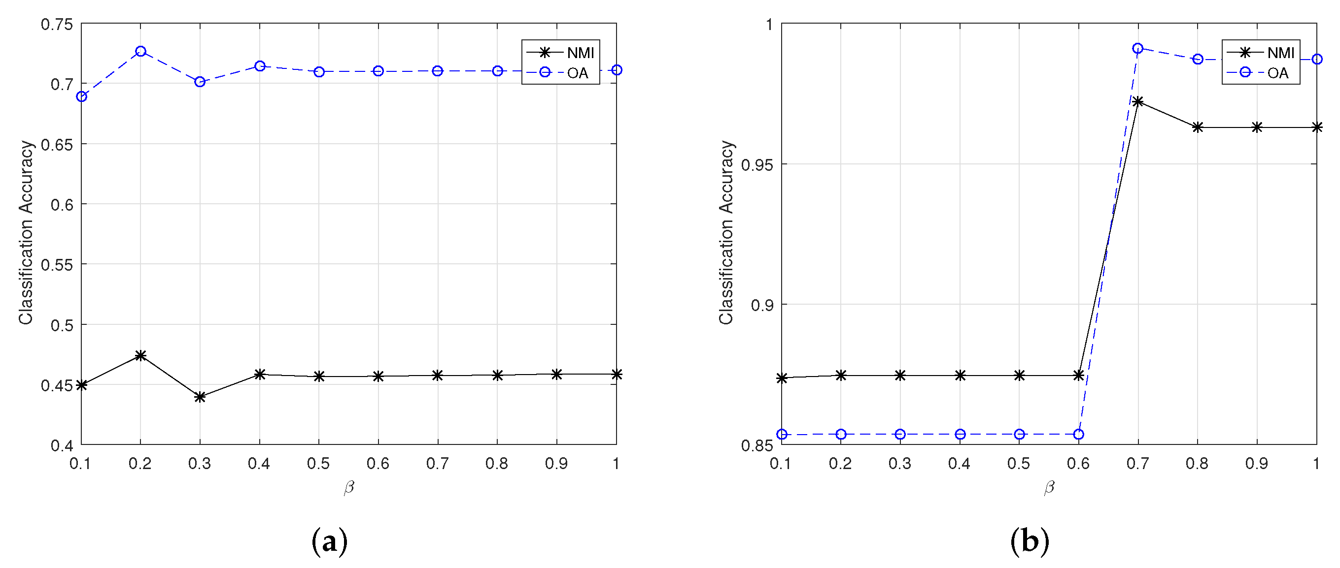
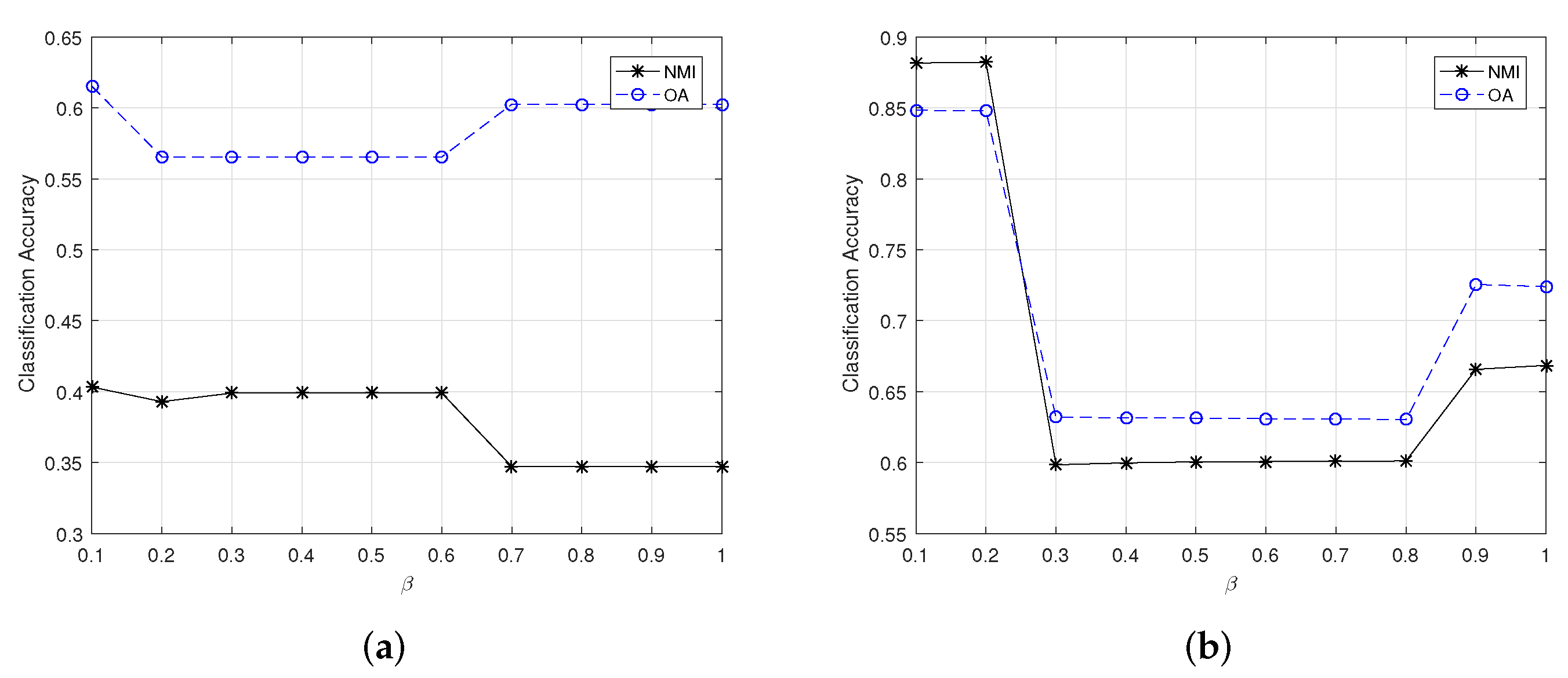
3.2. Parameter Analysis
- (1)
- Parameter analysis for the small-scale HSIs
- (2)
- Parameter analysis for the large-scale HSIs
3.3. Experimental Results and Analysis
- (1)
- Clustering for small-scale HSIs
- (2)
- Clustering for large-scale HSIs
4. Conclusions
Author Contributions
Funding
Institutional Review Board Statement
Informed Consent Statement
Data Availability Statement
Acknowledgments
Conflicts of Interest
References
- Tong, Q.; Xue, Y.; Zhang, L. Progress in hyperspectral remote sensing science and technology in China over the past three decades. IEEE J. Sel. Top. Appl. Earth Obs. Remote Sens. 2014, 7, 70–91. [Google Scholar] [CrossRef]
- Qu, J.H.; Xu, Y.S.; Dong, W.Q.; Li, Y.S.; Du, Q. Dual-branch difference amplification graph convolutional network for hyperspectral image change detection. IEEE Trans. Geosci. Remote Sens. 2022, 60, 1–12. [Google Scholar] [CrossRef]
- Li, H.; Jia, S.; Le, Z. Quantitative analysis of soil total nitrogen using hyperspectral imaging technology with extreme learning machine. Sensors 2019, 19, 4355. [Google Scholar] [CrossRef] [PubMed] [Green Version]
- Yuan, J.; Wang, S.; Wu, C.; Xu, Y. Fine-grained classification of urban functional zones and landscape pattern analysis using hyperspectral satellite imagery: A case study of wuhan. IEEE J. Sel. Top. Appl. Earth Obs. Remote Sens 2022, 15, 3972–3991. [Google Scholar] [CrossRef]
- Stuart, M.B.; Davies, M.; Hobbs, M.J.; Pering, T.D.; McGonigle, A.J.S.; Willmott, J.R. High-resolution hyperspectral imaging using low-cost components: Application within environmental monitoring scenarios. Sensors 2022, 22, 4652. [Google Scholar] [CrossRef]
- Zhao, C.; Zhao, H.; Wang, G.; Chen, H. Improvement SVM classification performance of hyperspectral image using chaotic sequences in artificial bee colony. IEEE Access. 2020, 8, 73947–73956. [Google Scholar] [CrossRef]
- Tang, Y.F.; Li, X.M.; Xu, Y.; Liu, Y.; Wang, J.Z.; Liu, C.Y.; Liu, S.C. Hyperspectral image classification using sparse representation-based classifier. In Proceedings of the IEEE Geoscience and Remote Sensing Symposium, Quebec City, QC, Canada, 13–18 July 2014; pp. 3450–3453. [Google Scholar]
- Liu, X.; Hu, Q.; Cai, Y.; Cai, Z. Extreme learning machine-based ensemble transfer learning for hyperspectral image classification. IEEE J. Sel. Top. Appl. Earth Observ. Remote Sens. 2020, 13, 3892–3902. [Google Scholar] [CrossRef]
- Zhang, Y.; Liu, K.; Dong, Y.; Wu, K.; Hu, X. Semisupervised classification based on SLIC segmentation for hyperspectral image. IEEE Geosci. Remote Sens. Lett. 2020, 17, 1440–1444. [Google Scholar] [CrossRef]
- Hartigan, J.A.; Wong, M.A. A k-means clustering algorithm. Appl. Stat. 1979, 28, 100–108. [Google Scholar] [CrossRef]
- Jin, Y.; Ding, L.; Yang, F.; Qian, L.; Zhi, C. LoRa network planning based on improved ISODATA algorithm. In Proceedings of the International Conference on Wireless Communications and Signal Processing (WCSP), Nanjing, China, 21–23 October 2020; pp. 939–944. [Google Scholar]
- Dong, L.; Yuan, Y.; Luxs, X. Spectral–spatial joint sparse NMF for hyperspectral unmixing. IEEE Trans. Geosci. Remote Sens. 2021, 59, 2391–2402. [Google Scholar] [CrossRef]
- Huo, H.; Guo, J.; Li, Z.L. Hyperspectral image classification for land cover based on an improved interval typ-II fuzzy c-means approach. Sensors 2018, 18, 363. [Google Scholar] [CrossRef] [PubMed] [Green Version]
- Ahmed, M.N.; Yamany, S.M.; Mohamed, N.A.; Farag, A.; Moriarty, T. A modified fuzzy c-means algorithm for bias field estimation and segmentation of MRI data. IEEE Trans. Med. Imaging 2002, 21, 193–199. [Google Scholar] [CrossRef] [PubMed]
- Chen, S.; Zhang, D. Robust image segmentation using FCM withspatial constraints based on new kernel-induced distance measure. IEEE Trans. Syst. Man Cybern. 2004, 34, 1907–1916. [Google Scholar] [CrossRef] [PubMed] [Green Version]
- Li, C.H.; Huang, W.C.; Kuo, B.C.; Hung, C.C. A novel fuzzy weighted C-means method for image classification. Int. J. Fuzzy Syst. 2008, 10, 68–173. [Google Scholar]
- Hung, C.; Kulkarni, S.; Kuo, B. A new weighted fuzzy C-Means clustering algorithm for remotely sensed image classification. IEEE J. Sel. Top. Signal Process. 2011, 5, 543–553. [Google Scholar] [CrossRef]
- Krinidis, S.; Chatzis, V. A robust fuzzy local information C-means clustering algorithm. IEEE Trans. Image Process. 2010, 19, 1328–1337. [Google Scholar] [CrossRef]
- Zhang, H.; Wang, Q.; Shi, W.; Hao, M. A novel adaptive fuzzy local information C -Means clustering algorithm for remotely sensed imagery classification. IEEE Trans. Geosci. Remote Sens 2017, 55, 5057–5068. [Google Scholar] [CrossRef]
- Zhai, H.; Zhang, H.; Li, P.; Zhang, L. Hyperspectral image clustering: Current achievements and future lines. IEEE Geosci. Remote Sens. Mag. 2021, 9, 35–67. [Google Scholar] [CrossRef]
- Elhamifar, E.; Vidar, R. Sparse subspace clustering: Algorithm, theory, and application. IEEE Trans. Pattern Anal. Mach. Intell. 2013, 35, 2765–2781. [Google Scholar] [CrossRef] [Green Version]
- Elhamifar, E.; Vidar, R. Sparse subspace clustering. In Proceedings of the IEEE Conference on Computer Vision and Pattern Recognition, Nanjing, China, 20–25 June 2009; pp. 2790–2797. [Google Scholar]
- Zhang, H.; Zhai, H.; Zhang, L.; Li, P. Spectral–spatial sparse subspace clustering for hyperspectral remote sensing images. IEEE Trans. Geosci. Remote Sens. 2016, 54, 3672–3684. [Google Scholar] [CrossRef]
- Li, A.; Qin, A.; Shang, Z.; Tang, Y.Y. Spectral-spatial sparse subspace clustering based on three-dimensional edge-preserving filtering for hyperspectral image. Int. J. Pattern Recognit. Artif. Intell. 2019, 33, 1955003. [Google Scholar] [CrossRef]
- Huang, S.; Zhang, H.; Pižurica, A. Semisupervised sparse subspace clustering method with a joint sparsity constraint for hyperspectral remote sensing images. IEEE J. Sel. Top. Appl. Earth Observ. Remote Sens. 2019, 12, 989–999. [Google Scholar] [CrossRef]
- Zeng, M.; Cai, Y.; Liu, X.; Cai, Z.; Li, X. Spectral-spatial clustering of hyperspectral image based on Laplacian regularized deep subspace clustering. In Proceedings of the IEEE International Geoscience and Remote Sensing Symposium, Yokohama, Japan, 28 July–2 August 2019; pp. 2694–2697. [Google Scholar]
- Lei, J.; Li, X.; Peng, B.; Fang, L.; Ling, N.; Huang, Q. Deep spatial-spectral subspace clustering for hyperspectral image. IEEE Trans. Circuits Syst. Video Technol. 2021, 31, 2686–2697. [Google Scholar] [CrossRef]
- Nie, F.; Wang, X.; Huang, H. Clustering and projected clustering with adaptive neighbors. In Proceedings of the 20th ACM International Conference on Knowledge Discovery and Data Mining, New York, NY, USA, 24–27 August 2014; pp. 977–986. [Google Scholar]
- Wang, R.; Nie, F.; Yu, W. Fast spectral clustering with anchor graph for large hyperspectral images. IEEE Geosci. Remote Sens. Lett. 2017, 14, 2003–2007. [Google Scholar] [CrossRef]
- Wang, R.; Nie, F.; Wang, Z.; He, F.; Li, X. Scalable graph-based clustering with nonnegative relaxation for large hyperspectral image. IEEE Trans. Geosci. Remote Sens. 2019, 10, 352–7364. [Google Scholar] [CrossRef]
- Peng, J.; Sun, W.; Li, H.C.; Li, W.; Meng, X.; Ge, C.; Du, Q. Low-rank and sparse representation for hyperspectral image processing: A review. IEEE Geosci. Remote Sens. Mag. 2022, 10, 10–43. [Google Scholar] [CrossRef]
- Yang, X.; Xu, Y.; Li, S.; Liu, Y.; Liu, Y. Fuzzy embedded clustering based on bipartite graph for large-scale hyperspectral image. IEEE Geosci. Remote Sens. Lett. 2022, 19, 1–5. [Google Scholar] [CrossRef]
- Zhai, H.; Zhang, H.; Zhang, L.; Li, P. Sparsity-based clustering for large hyperspectral remote sensing images. IEEE Trans. Geosci. Remote Sens. 2021, 59, 10410–10424. [Google Scholar] [CrossRef]
Class | Method | |||||||
---|---|---|---|---|---|---|---|---|
NMF | FCM | FCM_S1 | CAN | PCAN | FSCAG | CSSCAG | PCSSCAG | |
corn-notil | 0.41 | 65 | 0 | 0.72 | 0.43 | 0.34 | 0.72 | 0.47 |
Grass-trees | 0.87 | 0.93 | 1 | 1 | 1 | 1 | 1 | 1 |
Soybean-mintill | 0.49 | 0.42 | 0.09 | 0 | 0.29 | 0.64 | 0.16 | 0.22 |
Soybean-nottill | 0.68 | 0.31 | 0.96 | 0.60 | 0.95 | 0.71 | 0.59 | 0.95 |
OA | 0.62 | 0.51 | 0.59 | 0.59 | 0.69 | 0.69 | 0.62 | 0.73 |
NMI | 0.38 | 0.37 | 0.32 | 0.39 | 0.39 | 0.47 | 0.40 | 0.47 |
0.41 | 0.32 | 0.33 | 0.41 | 0.55 | 0.55 | 0.45 | 0.58 |
Class | Method | |||||||
---|---|---|---|---|---|---|---|---|
NMF | FCM | FCM_S1 | CAN | PCAN | FSCAG | CSSCAG | PCSSCAG | |
Brocoli-green-weeds-1 | 0.72 | 0.99 | 0 | 1 | 1 | 0.99 | 1 | 1 |
Corn-senesced-green-weeds | 0.49 | 0.34 | 0 | 0.41 | 0.36 | 0.43 | 0.40 | 1 |
Lettuce-romaine-4wk | 0.27 | 0.69 | 0 | 0.91 | 0.97 | 0.87 | 1 | 0.95 |
Lettuce-romaine-5wk | 0.83 | 0.64 | 1 | 1 | 1 | 1 | 1 | 1 |
Lettucc-romaine-6wk | 0.60 | 1 | 0 | 0.99 | 0.99 | 1 | 0.99 | 0.99 |
Lettucc-romaine-7wk | 0.95 | 0.94 | 1 | 0.99 | 1 | 0.99 | 1 | 1 |
OA | 0.65 | 0.69 | 0.58 | 0.84 | 0.83 | 0.83 | 0.85 | 0.99 |
NMI | 0.61 | 0.67 | 0.51 | 0.86 | 0.84 | 0.78 | 0.88 | 0.97 |
0.69 | 0.63 | 0.48 | 0.8 | 0.8 | 0.79 | 0.81 | 0.99 |
Class | Method | |||||||
---|---|---|---|---|---|---|---|---|
NMF | FCM | FCM_S1 | CAN | PCAN | FSCAG | CSSCAG | PSSCAG | |
Brocoli-green-weeds-1 | 0.37 | 0.99 | 0 | 0.99 | 0.99 | 0.98 | 1 | 0.99 |
Brocoli-green-weeds-2 | 0.72 | 0.88 | 1 | 1 | 0.99 | 0.97 | 1 | |
Follow | 0.11 | 0 | 0 | 1 | 0.43 | 0 | 1 | 1 |
Fallow-rough-plow | 0.47 | 0.1 | 0 | 0.99 | 0.2 | 0.98 | 0.85 | 1 |
Fallow-smooth | 0.72 | 0.99 | 0 | 0.81 | 1 | 1 | 0.81 | 0.98 |
Stubble | 0.93 | 0.91 | 0.97 | 1 | 1 | 1 | 1 | 1 |
Celery | 0.56 | 0.61 | 0 | 1 | 1 | 0.53 | 1 | 1 |
Grapes-untrained | 0.54 | 0.32 | 0.61 | 0.85 | 0.85 | 0.36 | 0.85 | 0.85 |
Soil-vinyard-develop | 0.77 | 0.97 | 1 | 1 | 0.99 | 0.98 | 1 | 0.99 |
Corn-senesced-green-weeds | 0.40 | 0.39 | 0 | 0.71 | 0.88 | 0.51 | 0.28 | 0.98 |
Lettuce-romaine-4wk | 0.14 | 0.19 | 0 | 0.18 | 0.18 | 0 | 0.18 | 1 |
Lettuce-romaine-5wk | 0.31 | 0.58 | 0 | 0.01 | 1 | 0.80 | 1 | 1 |
Lettucc-romaine-6wk | 0.49 | 0.98 | 0 | 0 | 0.97 | 0.98 | 0 | 0.97 |
Lettucc-romaine-7wk | 0.40 | 0.8 | 0 | 0.99 | 0.94 | 0.15 | 0.99 | 0.93 |
Vinyard-untraind | 0.40 | 0.34 | 0 | 0.99 | 0.9 | 0.40 | 0.98 | 0.99 |
Vinyard-vertical-trellis | 0.39 | 0.42 | 0 | 0.92 | 0.99 | 0.64 | 0.98 | 0.99 |
OA | 0.55 | 0.56 | 0.38 | 0.87 | 0.89 | 0.62 | 0.88 | 0.96 |
NMI | 0.62 | 0.67 | 0.39 | 0.88 | 0.88 | 0.72 | 0.89 | 0.95 |
0.53 | 0.52 | 0.3 | 0.85 | 0.87 | 0.59 | 0.86 | 0.96 |
Class | Method | |||||||
---|---|---|---|---|---|---|---|---|
NMF | FCM | FCM_S1 | CAN | PCAN | FSCAG | CSSCAG | PCSSCAG | |
Asphalt | 0.11 | 0.64 | 1 | 0.47 | 0.93 | 0.63 | 0.91 | 0.91 |
Meadows | 0.65 | 0.29 | 0.97 | 0.81 | 0.94 | 0.34 | 0.95 | 0.94 |
Gravel | 0.71 | 0 | 0 | 0.93 | 0.93 | 0.01 | 0 | 0.95 |
Trees | 0.25 | 0.49 | 0 | 0.87 | 0.43 | 0.84 | 0.31 | 0.86 |
Painted metal sheets | 0.12 | 0.78 | 0 | 1 | 0.86 | 0.98 | 0.99 | 1 |
Bare Soil | 0.71 | 0.33 | 0 | 0.85 | 0.92 | 0.39 | 0.95 | 0.92 |
Bitumen | 0.58 | 0.68 | 0 | 0.85 | 0.85 | 0 | 0.92 | 0.89 |
Self-Blocking Bricks | 0.58 | 0.77 | 0 | 0 | 0 | 0.91 | 0.52 | 0 |
Shadows | 0.50 | 0 | 0 | 0.81 | 0.8 | 0.93 | 0.83 | 0.83 |
OA | 0.49 | 0.42 | 0.56 | 0.71 | 0.81 | 0.50 | 0.81 | 0.85 |
NMI | 0.44 | 0.45 | 0.27 | 0.57 | 0.71 | 0.51 | 0.70 | 0.77 |
0.44 | 0.34 | 0.35 | 0.61 | 0.74 | 0.39 | 0.75 | 0.79 |
Publisher’s Note: MDPI stays neutral with regard to jurisdictional claims in published maps and institutional affiliations. |
© 2022 by the authors. Licensee MDPI, Basel, Switzerland. This article is an open access article distributed under the terms and conditions of the Creative Commons Attribution (CC BY) license (https://creativecommons.org/licenses/by/4.0/).
Share and Cite
Zhu, X.-H.; Zhou, Y.; Yang, M.-L.; Deng, Y.-J. Spatial–Spectral Constrained Adaptive Graph for Hyperspectral Image Clustering. Sensors 2022, 22, 5906. https://doi.org/10.3390/s22155906
Zhu X-H, Zhou Y, Yang M-L, Deng Y-J. Spatial–Spectral Constrained Adaptive Graph for Hyperspectral Image Clustering. Sensors. 2022; 22(15):5906. https://doi.org/10.3390/s22155906
Chicago/Turabian StyleZhu, Xing-Hui, Yi Zhou, Meng-Long Yang, and Yang-Jun Deng. 2022. "Spatial–Spectral Constrained Adaptive Graph for Hyperspectral Image Clustering" Sensors 22, no. 15: 5906. https://doi.org/10.3390/s22155906
APA StyleZhu, X.-H., Zhou, Y., Yang, M.-L., & Deng, Y.-J. (2022). Spatial–Spectral Constrained Adaptive Graph for Hyperspectral Image Clustering. Sensors, 22(15), 5906. https://doi.org/10.3390/s22155906