Calibration-Free 3D Indoor Positioning Algorithms Based on DNN and DIFF
Abstract
:1. Introduction
2. Related Work
3. Methodology
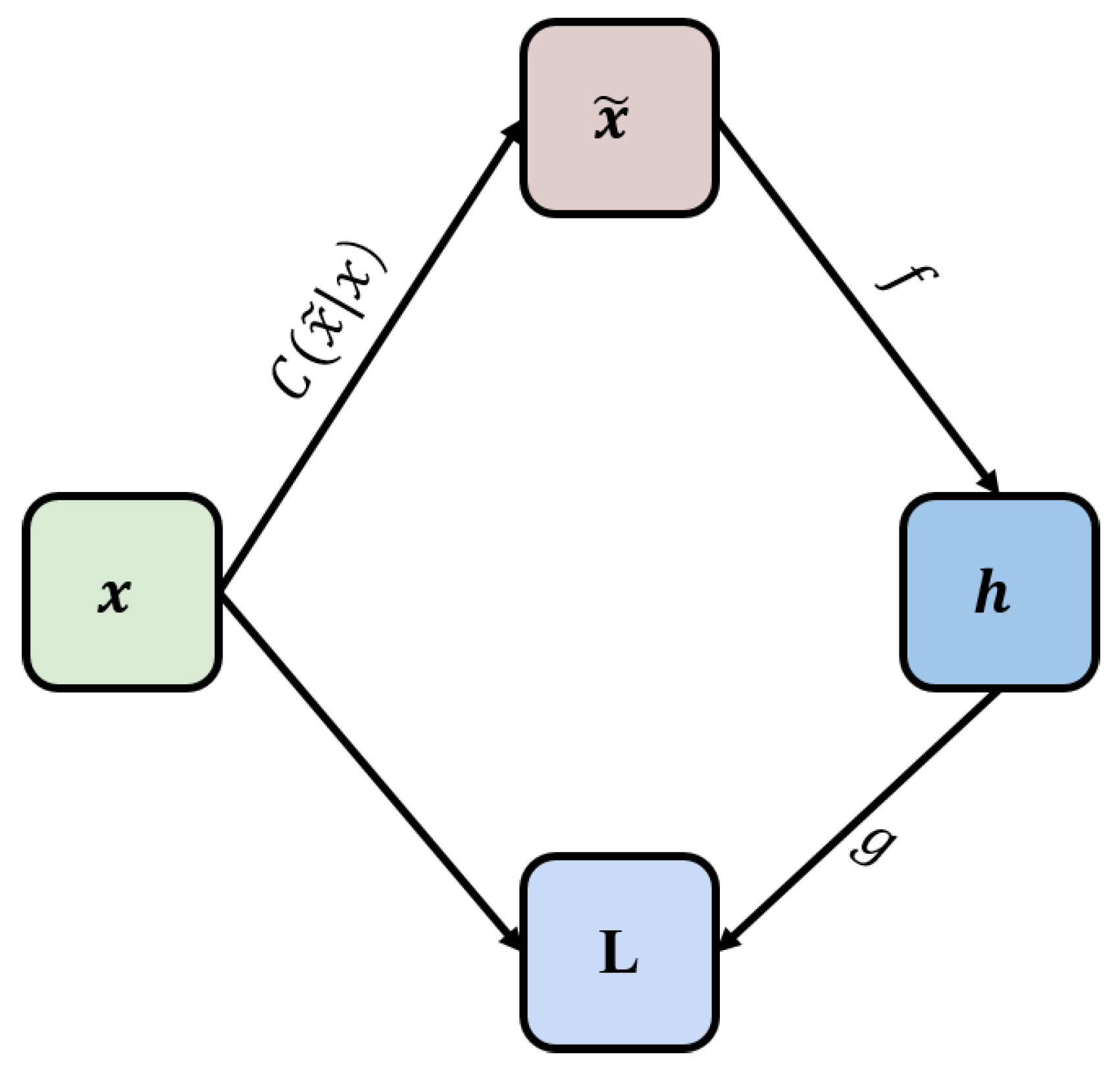
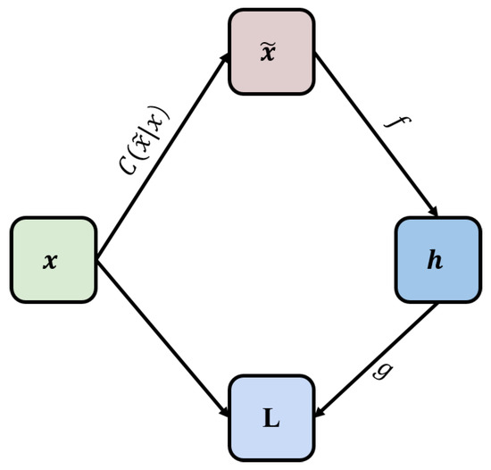
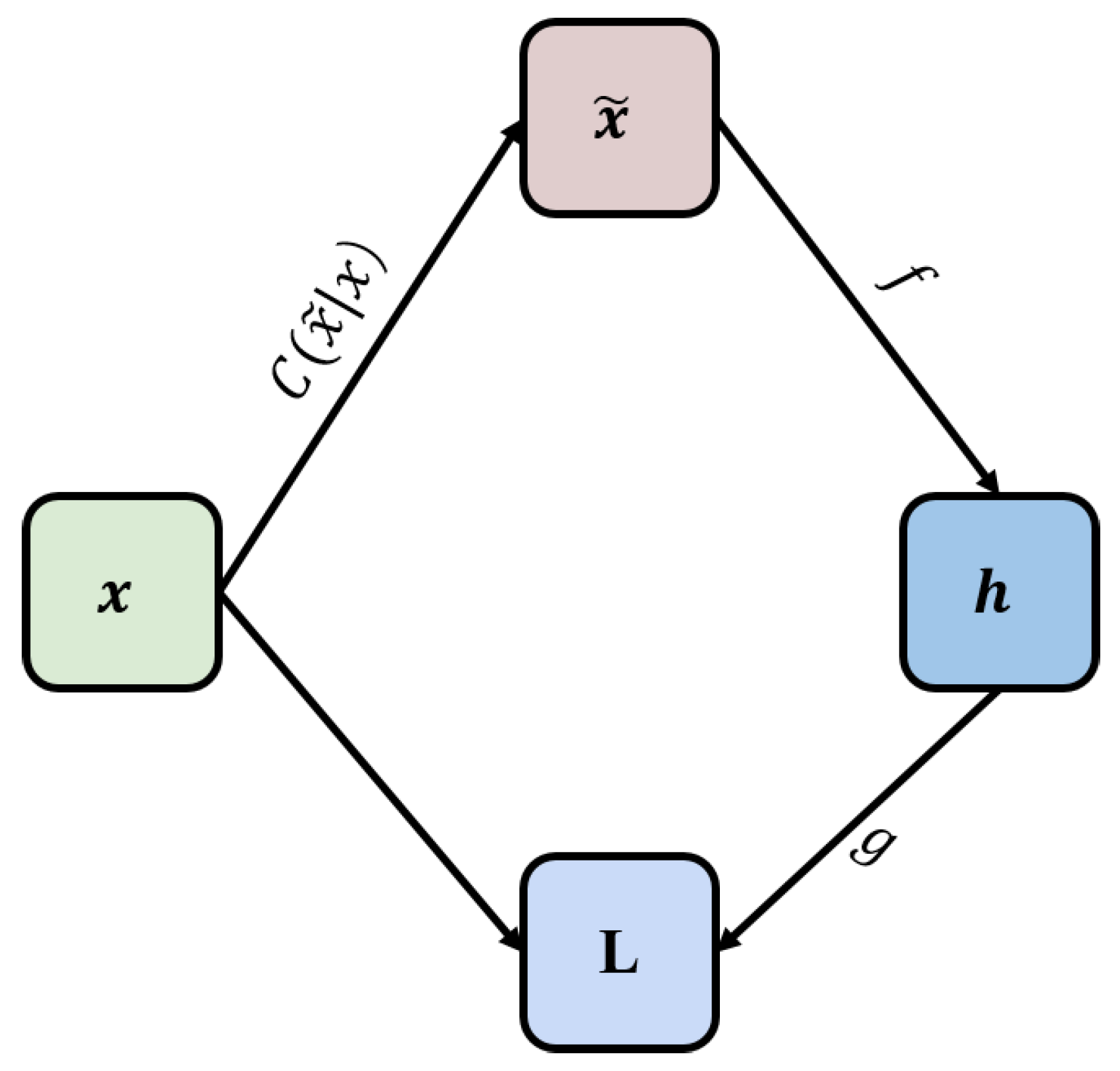
3.1. Positioning System Architecture
3.2. Multi-Building Positioning Model
- Randomly take a training sample x from the training set.
- Randomly take a noise sample from the noise process .
- Estimate the reconstruction distribution of the ADE by using the data pair as training samples.
3.3. Multi-Floor Positioning Model
3.4. Sepcific-Location Positioning Model
| Algorithm 1 DDAE Weight Training Algorithm |
| Input: DIFF value, network architecture, max_epoch, dropout_rate p, and learning rate ; Output: Trained weights and b; 1: Randomly initialize and b; 2: while do 3: Randomly select a mini-batch from inputs; 4: // Forward propagation; 5: // L is the number of layers of the DDAE; 6: for l = 2:L-2 do 7: if the current layer is a dropout layer then 8: 9: 10: 11: 12: else 13: // The current layer is a hidden layer; 14: 15: 16: end if 17: end for 18: //Loss function; 19: 20: end while |
4. Experimental Setup
4.1. UJIIndoorLoc Dataset
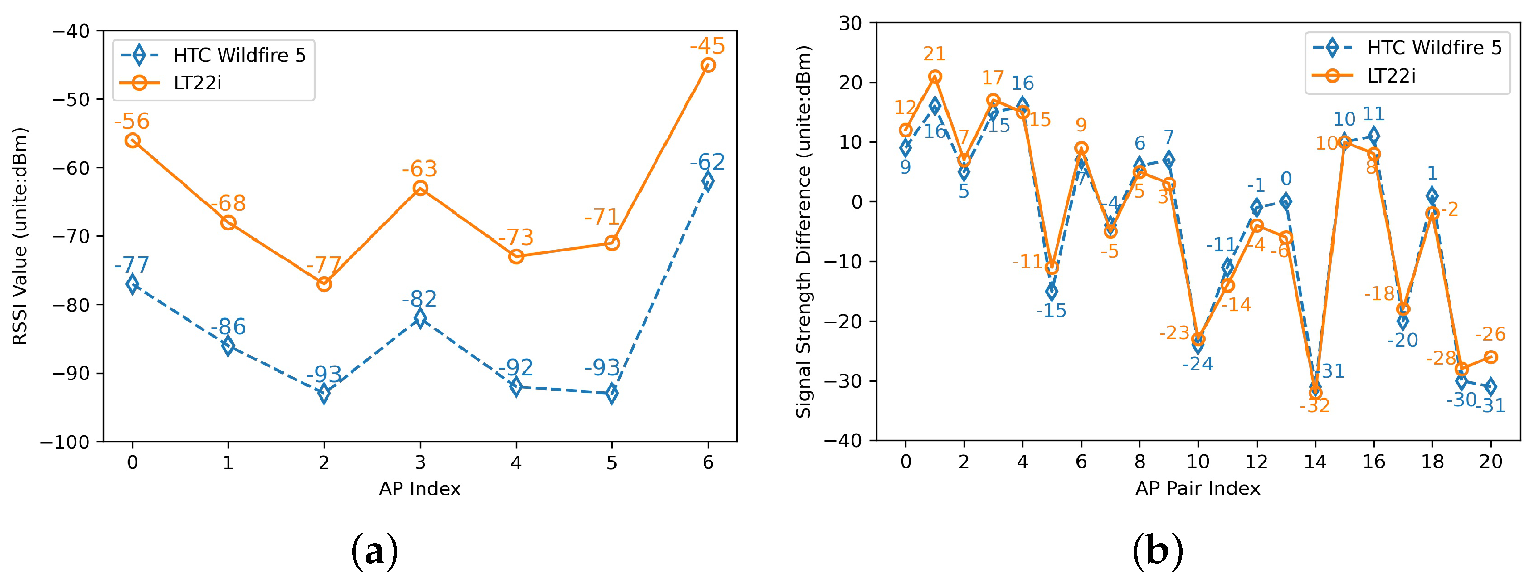
4.2. RSSI Database Optimization
4.3. DIFF Calibration-Free Processing
4.4. Evaluation Index
5. Performance Evaluation
5.1. Model Optimization
5.2. Performance Analysis of Building and Floor Positioning Models
5.3. Performance Analysis of Specific-Location Positioning Model
6. Conclusions
Author Contributions
Funding
Institutional Review Board Statement
Informed Consent Statement
Data Availability Statement
Conflicts of Interest
References
- Gao, F.; Geng, Z. Analysis on the development status and prospect of intelligent medical. In Proceedings of the 2021 IEEE Asia-Pacific Conference on Image Processing, Electronics and Computers (IPEC), Dalian, China, 14–16 April 2021; pp. 416–419. [Google Scholar] [CrossRef]
- Maswadi, K.; Ghani, N.B.A.; Hamid, S.B. Systematic literature review of smart home monitoring technologies based on IoT for the elderly. IEEE Access 2020, 8, 92244–92261. [Google Scholar] [CrossRef]
- Chen, C.H.; Lee, C.A.; Lo, C.C. Vehicle localization and velocity estimation based on mobile phone sensing. IEEE Access 2016, 4, 803–817. [Google Scholar] [CrossRef]
- Mohammad, N.; Muhammad, S.; Bashar, A.; Khan, M.A. Formal analysis of human-assisted smart city emergency services. IEEE Access 2019, 7, 60376–60388. [Google Scholar] [CrossRef]
- Chen, H.; Guo, B.; Yu, Z.; Han, Q. Crowdtracking: Real-time vehicle tracking through mobile crowdsensing. IEEE Internet Things J. 2019, 6, 7570–7583. [Google Scholar] [CrossRef]
- Zhu, Q.; Xiong, Q.; Wang, K.; Lu, W.; Liu, T. Accurate WiFi-based indoor localization by using fuzzy classifier and mlps ensemble in complex environment. J. Frankl. Inst. 2020, 357, 1420–1436. [Google Scholar] [CrossRef]
- Li, Z.; Yang, Y.; Pahlavan, K. Using iBeacon for newborns localization in hospitals. In Proceedings of the 2016 10th International Symposium on Medical Information and Communication Technology (ISMICT), Worcester, MA, USA, 21–23 March 2016; pp. 1–5. [Google Scholar] [CrossRef]
- Lau, S.L.; Toh, C.; Saleem, Y. Wi-Fi Fingerprint localisation using Density-based Clustering for public spaces: A case study in a shopping mall. In Proceedings of the 2016 6th International Conference—Cloud System and Big Data Engineering (Confluence), Noida, India, 14–15 January 2016; pp. 356–360. [Google Scholar] [CrossRef]
- Saab, S.S.; Nakad, Z.S. A Standalone RFID Indoor Positioning System Using Passive Tags. IEEE Trans. Ind. Electron. 2011, 58, 1961–1970. [Google Scholar] [CrossRef]
- Tesoriero, R.; Tebar, R.; Gallud, J.; Lozano, M.; Penichet, V. Improving location awareness in indoor spaces using RFID technology. Expert Syst. Appl. 2010, 37, 894–898. [Google Scholar] [CrossRef]
- Alvarez, Y.; Las Heras, F. ZigBee-based Sensor Network for Indoor Location and Tracking Applications. IEEE Lat. Am. Trans. 2016, 14, 3208–3214. [Google Scholar] [CrossRef]
- Uradzinski, M.; Guo, H.; Liu, X.; Yu, M. Advanced Indoor Positioning Using Zigbee Wireless Technology. Wirel. Pers. Commun. 2017, 97, 6509–6518. [Google Scholar] [CrossRef]
- Jiang, X.; Chen, Y.; Liu, J.; Gu, Y.; Hu, L. FSELM: Fusion semi-supervised extreme learning machine for indoor localization with Wi-Fi and Bluetooth fingerprints. Soft Comput. 2018, 22, 3621–3635. [Google Scholar] [CrossRef]
- Khoury, H.M.; Kamat, V.R. Evaluation of position tracking technologies for user localization in indoor construction environments. Autom. Constr. 2009, 18, 444–457. [Google Scholar] [CrossRef]
- Luo, C.; Cheng, L.; Chan, M.C.; Gu, Y.; Li, J.; Ming, Z. Pallas: Self-Bootstrapping Fine-Grained Passive Indoor Localization Using WiFi Monitors. IEEE Trans. Mob. Comput. 2017, 16, 466–481. [Google Scholar] [CrossRef]
- Yang, J.; Liu, W.; Huang, H. Wireless Network Technology: Principle, Experiment and Network Design; Xiamen University Press: Xiamen, China, 2018. [Google Scholar]
- Sadowski, S.; Spachos, P. RSSI-Based Indoor Localization With the Internet of Things. IEEE Access 2018, 6, 30149–30161. [Google Scholar] [CrossRef]
- Ravi, A.; Misra, A. Practical server-side WiFi-based indoor localization: Addressing cardinality and outlier challenges for improved occupancy estimation. Ad Hoc Netw. 2021, 115, 102443. [Google Scholar] [CrossRef]
- Gómez-Tornero, J.L.; Cañete-Rebenaque, D.; López-Pastor, J.A.; Martínez-Sala, A.S. Hybrid Analog-Digital Processing System for Amplitude-Monopulse RSSI-Based MiMo WiFi Direction-of-Arrival Estimation. IEEE J. Sel. Top. Signal Process. 2018, 12, 529–540. [Google Scholar] [CrossRef]
- Guo, X.; Li, L.; Ansari, N.; Liao, B. Accurate WiFi Localization by Fusing a Group of Fingerprints via a Global Fusion Profile. IEEE Trans. Veh. Technol. 2018, 67, 7314–7325. [Google Scholar] [CrossRef]
- Lin, M.; Chen, B.; Zhang, W.; Yang, J. Characteristic analysis of wireless local area network’s received signal strength indication in indoor positioning. IET Commun. 2020, 14, 497–504. [Google Scholar] [CrossRef]
- Bae, H.J.; Choi, L. Large-Scale Indoor Positioning using Geomagnetic Field with Deep Neural Networks. In Proceedings of the ICC 2019—2019 IEEE International Conference on Communications (ICC), Shanghai, China, 20–24 May 2019; pp. 1–6. [Google Scholar] [CrossRef]
- Chow, K.H.; He, S.; Tan, J.; Chan, S.H.G. Efficient Locality Classification for Indoor Fingerprint-Based Systems. IEEE Trans. Mob. Comput. 2019, 18, 290–304. [Google Scholar] [CrossRef]
- Dwiyasa, F.; Lim, M.H. A survey of problems and approaches in wireless-based indoor positioning. In Proceedings of the 2016 International Conference on Indoor Positioning and Indoor Navigation (IPIN), Alcala de Henares, Spain, 4–7 October 2016; pp. 1–7. [Google Scholar] [CrossRef]
- Kjærgaard, M.B.; Munk, C.V. Hyperbolic Location Fingerprinting: A Calibration-Free Solution for Handling Differences in Signal Strength (concise contribution). In Proceedings of the 2008 Sixth Annual IEEE International Conference on Pervasive Computing and Communications (PerCom), Hong Kong, China, 17–21 March 2008; pp. 110–116. [Google Scholar] [CrossRef] [Green Version]
- Dong, F.; Chen, Y.; Liu, J.; Ning, Q.; Piao, S. A Calibration-Free Localization Solution for Handling Signal Strength Variance. In Mobile Entity Localization and Tracking in GPS-Less Environments, Proceedings of the International Workshop on Mobile Entity Localization and Tracking in GPS-Less Environments, Orlando, FL, USA, 30 September 2009; Fuller, R., Koutsoukos, X.D., Eds.; Springer: Berlin/Heidelberg, Germany, 2009; pp. 79–90. [Google Scholar] [CrossRef]
- Chriki, A.; Touati, H.; Snoussi, H. SVM-based indoor localization in Wireless Sensor Networks. In Proceedings of the 2017 13th International Wireless Communications and Mobile Computing Conference (IWCMC), Valencia, Spain, 26–30 June 2017; pp. 1144–1149. [Google Scholar] [CrossRef]
- Torres-Sospedra, J.; Montoliu, R.; Martínez-Usó, A.; Avariento, J.P.; Arnau, T.J.; Benedito-Bordonau, M.; Huerta, J. UJIIndoorLoc: A new multi-building and multi-floor database for WLAN fingerprint-based indoor localization problems. In Proceedings of the 2014 International Conference on Indoor Positioning and Indoor Navigation (IPIN), Busan, Korea, 27–30 October 2014; pp. 261–270. [Google Scholar] [CrossRef]
- Gorak, R.; Luckner, M. Modified Random Forest Algorithm for Wi–Fi Indoor Localization System. In Computational Collective Intelligence, Proceedings of the International Conference on Computational Collective Intelligence, Halkidiki, Greece, 28–30 September 2016; Nguyen, N.T., Iliadis, L., Manolopoulos, Y., Trawinski, B., Eds.; Springer International Publishing: Cham, Switzerland, 2016; pp. 147–157. [Google Scholar] [CrossRef]
- Sánchez-Rodríguez, D.; Hernández-Morera, P.; Quinteiro, J.M.; Alonso-González, I. A Low Complexity System Based on Multiple Weighted Decision Trees for Indoor Localization. Sensors 2015, 15, 14809–14829. [Google Scholar] [CrossRef] [Green Version]
- Zhang, G.; Wang, P.; Chen, H.; Zhang, L. Wireless Indoor Localization Using Convolutional Neural Network and Gaussian Process Regression. Sensors 2019, 19, 2508. [Google Scholar] [CrossRef] [Green Version]
- Nowicki, M.; Wietrzykowski, J. Low-Effort Place Recognition with WiFi Fingerprints Using Deep Learning. In Automation 2017, Proceedings of the International Conference Automation, Warsaw, Poland, 15–17 March 2017; Szewczyk, R., Zielinski, C., Kaliczynska, M., Eds.; Springer International Publishing: Cham, Switzerland, 2017; pp. 575–584. [Google Scholar] [CrossRef] [Green Version]
- Jang, J.W.; Hong, S.N. Indoor Localization with WiFi Fingerprinting Using Convolutional Neural Network. In Proceedings of the 2018 Tenth International Conference on Ubiquitous and Future Networks (ICUFN), Prague, Czech Republic, 3–6 July 2018; pp. 753–758. [Google Scholar] [CrossRef]
- Kim, K.S.; Lee, S.; Huang, K. A scalable deep neural network architecture for multi-building and multi-floor indoor localization based on Wi-Fi fingerprinting. Big Data Anal. 2018, 3, 4. [Google Scholar] [CrossRef] [Green Version]
- Song, X.; Fan, X.; He, X.; Xiang, C.; Ye, Q.; Huang, X.; Fang, G.; Chen, L.L.; Qin, J.; Wang, Z. CNNLoc: Deep-Learning Based Indoor Localization with WiFi Fingerprinting. In Proceedings of the 2019 IEEE SmartWorld, Ubiquitous Intelligence Computing, Advanced Trusted Computing, Scalable Computing Communications, Cloud Big Data Computing, Internet of People and Smart City Innovation (SmartWorld/SCALCOM/UIC/ATC/CBDCom/IOP/SCI), Leicester, UK, 19–23 August 2019; pp. 589–595. [Google Scholar] [CrossRef]
- Qin, F.; Zuo, T.; Wang, X. Ccpos: Wifi fingerprint indoor positioning system based on cdae-cnn. Sensors 2021, 21, 1114. [Google Scholar] [CrossRef] [PubMed]
- Wang, L.; Tiku, S.; Pasricha, S. CHISEL: Compression-Aware High-Accuracy Embedded Indoor Localization With Deep Learning. IEEE Embed. Syst. Lett. 2022, 14, 23–26. [Google Scholar] [CrossRef]
- Cha, J.; Lim, E. A hierarchical auxiliary deep neural network architecture for large-scale indoor localization based on Wi-Fi fingerprinting. Appl. Soft Comput. 2022, 120, 108624. [Google Scholar] [CrossRef]
- Bengio, Y.; Courville, A.; Vincent, P. Representation Learning: A Review and New Perspectives. IEEE Trans. Pattern Anal. Mach. Intell. 2013, 35, 1798–1828. [Google Scholar] [CrossRef] [PubMed]
- Vincent, P.; Larochelle, H.; Lajoie, I.; Bengio, Y.; Manzagol, P.A. Stacked Denoising Autoencoders: Learning Useful Representations in a Deep Network with a Local Denoising Criterion. J. Mach. Learn. Res. 2010, 11, 3371–3408. [Google Scholar] [CrossRef]
- Moreira, A.; Nicolau, M.J.; Meneses, F.; Costa, A. Wi-Fi fingerprinting in the real world—RTLS@UM at the EvAAL competition. In Proceedings of the 2015 International Conference on Indoor Positioning and Indoor Navigation (IPIN), Banff, AB, Canada, 13–16 October 2015; pp. 1–10. [Google Scholar] [CrossRef]
- Ruder, S. An overview of gradient descent optimization algorithms. arXiv 2016, arXiv:1609.04747. [Google Scholar] [CrossRef]









| Parameter | Value |
|---|---|
| DAE activation function | ReLU |
| DAE Optimizer | Adam (lr = 0.001) |
| DAE loss | categorical_crossentropy |
| MLP activation function | ReLU |
| MLP Optimizer | Adam (lr = 0.001) |
| MLP loss | categorical_crossentropy |
| Output layer activation function | Softmax |
| Batch_size | 500 |
| Optimizer | Learning Rate/% | Building Hit Rate/% | Floor Hit Rate/% | Positioning Error/m |
|---|---|---|---|---|
| Adam | 0.005 | 100 | 96.13 | 9.80 |
| 0.001 | 99.91 | 96.22 | 6.01 | |
| 0.0005 | 99.73 | 95.95 | 6.60 | |
| 0.0001 | 99.91 | 96.13 | 7.61 | |
| Nadam | 0.005 | 99.91 | 95.05 | 26.49 |
| 0.001 | 99.64 | 96.13 | 6.47 | |
| 0.0005 | 99.46 | 95.95 | 6.31 | |
| 0.0001 | 99.73 | 95.59 | 8.63 | |
| RMSpro | 0.005 | 98.47 | 95.05 | 49.73 |
| 0.001 | 98.11 | 95.68 | 7.37 | |
| 0.0005 | 98.20 | 95.68 | 7.06 | |
| 0.0001 | 99.55 | 95.86 | 6.60 | |
| AdaMax | 0.05 | 99.55 | 82.63 | 51.59 |
| 0.01 | 98.83 | 95.77 | 7.47 | |
| 0.005 | 99.37 | 96.13 | 7.07 | |
| 0.001 | 99.19 | 95.50 | 6.83 |
| Multi-Building Positioning Model | DT | GNB | KNN | SVM | RF | Our |
|---|---|---|---|---|---|---|
| positioning accuracy (%) | 97.03 | 99.19 | 99.46 | 99.72 | 99.91 | 100 |
| Multi-Building Positioning Model | CNNLoc | CCpos | CHISEL | SAEDNN | CHISEL-DA | HADNN | Our |
|---|---|---|---|---|---|---|---|
| positioning accuracy (%) | 96.03 | 99.60 | 99.64 | 99.82 | 99.96 | 100.00 | 100.00 |
| Specific-Location Positioning Algorithm | DT | GNB | SVM | RF | KNN | Our |
|---|---|---|---|---|---|---|
| RMSE (m) | 10.42 | 10.42 | 8.65 | 7.14 | 6.13 | 6.01 |
Publisher’s Note: MDPI stays neutral with regard to jurisdictional claims in published maps and institutional affiliations. |
© 2022 by the authors. Licensee MDPI, Basel, Switzerland. This article is an open access article distributed under the terms and conditions of the Creative Commons Attribution (CC BY) license (https://creativecommons.org/licenses/by/4.0/).
Share and Cite
Yang, J.; Deng, S.; Xu, L.; Zhang, W. Calibration-Free 3D Indoor Positioning Algorithms Based on DNN and DIFF. Sensors 2022, 22, 5891. https://doi.org/10.3390/s22155891
Yang J, Deng S, Xu L, Zhang W. Calibration-Free 3D Indoor Positioning Algorithms Based on DNN and DIFF. Sensors. 2022; 22(15):5891. https://doi.org/10.3390/s22155891
Chicago/Turabian StyleYang, Jingmin, Shanghui Deng, Li Xu, and Wenjie Zhang. 2022. "Calibration-Free 3D Indoor Positioning Algorithms Based on DNN and DIFF" Sensors 22, no. 15: 5891. https://doi.org/10.3390/s22155891
APA StyleYang, J., Deng, S., Xu, L., & Zhang, W. (2022). Calibration-Free 3D Indoor Positioning Algorithms Based on DNN and DIFF. Sensors, 22(15), 5891. https://doi.org/10.3390/s22155891

