Model Predictive Direct Torque Control and Fuzzy Logic Energy Management for Multi Power Source Electric Vehicles
Abstract
:1. Introduction
- An adequate EMS strategy based on fuzzy logic control is developed to ensure vehicle propulsion power and to regulate efficiently the energy flow of the power sources.
- A model predictive direct torque control strategy is proposed to control the vehicle traction machine with the objective of minimizing torque and flux ripples and ensuring satisfactory speed tracking.
- A detailed physical model of the EV (the vehicle dynamics system, the electric power system, and control system) is established under Matlab/Simulink environment.
- Real-time simulation using the RT LAB platform is performed to confirm the obtained simulation results.
2. Electric Vehicle Description and Modeling
2.1. Fuel-Cell Model
2.2. Battery Model
2.3. Permanent Magnet Synchronous Motor Model
2.4. Vehicle Dynamics System
3. System Control
3.1. Energy Management Strategy
3.1.1. Input and Output Parameters
3.1.2. Fuzzy Inference Rules
3.2. DC Bus Voltage Regulation and PEMFC Stack Converter Control
3.3. Model Predictive Direct Torque Control
3.3.1. Current Prediction
3.3.2. Flux and Torque Predictions
3.3.3. Cost Function Minimization
3.3.4. Time Delay Compensation
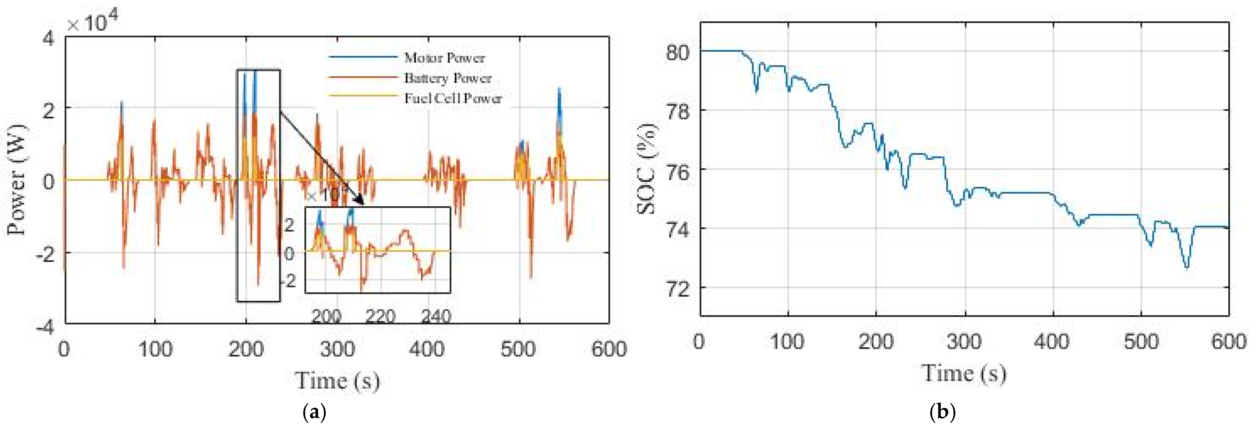
4. Simulation Results and Discussion
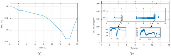
- During the phase [0 s–4 s], (starting), the pedal position is set to 70% and the EV increases the speed to 25 km/h.
- During the phase [4 s–8 s], (cruising), the pedal position is released to 10% and the EV increases its speed to 26 km/h.
- During the phase [8 s–13 s], (accelerating), the pedal position is depressed to 85% and the EV increases the speed from 26 to 60 km/h.
- During the phase [13 s–14 s], (idling), the pedal position is set to 60% and the EV speed decreases to 58.5 km/h.
- During the phase [14 s–16 s], (regenerative braking), the pedal position is set to −70% and the speed of EV drops to 43 km/h.
Driving Cycle Test
5. Real-Time Platform Using RT-LAB
6. Conclusions
Author Contributions
Funding
Institutional Review Board Statement
Informed Consent Statement
Data Availability Statement
Acknowledgments
Conflicts of Interest
References
- Un-Noor, F.; Padmanaban, S.; Mihet-Popa, L.; Mollah, M.N.; Hossain, E. A comprehensive study of key electric vehicle (EV) components, technologies, challenges, impacts, and future direction of development. Energies 2017, 10, 1217. [Google Scholar] [CrossRef] [Green Version]
- Mokrani, Z.; Rekioua, D.; Mebarki, N.; Rekioua, T.; Bacha, S. Proposed energy management strategy in electric vehicle for recovering power excess produced by fuel cells. Int. J. Hydrogen Energy 2017, 42, 19556–19575. [Google Scholar] [CrossRef]
- Kim, H. Personalization of Electric Vehicle Accelerating Behavior Based on Motor Torque Adjustment to Improve Individual Driving Satisfaction. Sensors 2021, 21, 3951. [Google Scholar] [CrossRef] [PubMed]
- Chang, C.; Zhou, Y.; Lian, J.; Liang, J. Control Method of the Dual-Winding Motor for Online High-Frequency Resistance Measurement in Fuel Cell Vehicle. Sensors 2022, 22, 2051. [Google Scholar] [CrossRef]
- Zhang, Y.; Zhang, C.; Huang, Z.; Xu, L.; Liu, Z.; Liu, M. Real-Time Energy Management Strategy for Fuel Cell Range Extender Vehicles Based on Nonlinear Control. IEEE Trans. Transp. Electrif. 2019, 5, 1294–1305. [Google Scholar] [CrossRef]
- Kamal, E.; Adouane, L. Optimized EMS and a Comparative Study of Hybrid Hydrogen Fuel Cell/Battery Vehicles. Energies 2022, 15, 738. [Google Scholar] [CrossRef]
- Wei, H.; Fan, L.; Ai, Q.; Zhao, W.; Huang, T.; Zhang, Y. Optimal energy allocation strategy for electric vehicles based on the real-time model predictive control technology. Sustainable Energy Technol. Assess. 2022, 50, 101797. [Google Scholar] [CrossRef]
- Djerioui, A.; Houari, A.; Zeghlache, S.; Saim, A.; Benkhoris, M.F.; Mesbahi, T.; Machmoum, M. Energy management strategy of Supercapacitor/ Fuel Cell energy storage devices for vehicle applications. Int. J. Hydrogen Energy 2019, 44, 23416–23428. [Google Scholar] [CrossRef]
- Abdelshafy, M.A.; Hassan, H.; Jurasz, J. Optimal design of a grid-connected desalination plant powered by renewable energy resources using a hybrid PSO-GWO approach. Energy Convers. Manag. 2018, 173, 331–347. [Google Scholar] [CrossRef]
- Thounthong, P.; Raël, S.; Davat, B. Energy management of fuel cell/battery/supercapacitor hybrid power source for vehicle applications. J. Power Sources 2009, 193, 376–385. [Google Scholar] [CrossRef]
- Zhang, X.; Mi, C.C.; Masrur, A.; Daniszewski, D. Wavelet-transform- based power management of hybrid vehicles with multiple on-board energy sources including fuel cell, battery and ultracapacitor. J. Power Sources 2008, 185, 1533–1543. [Google Scholar] [CrossRef]
- Departure, C.; Lhomme, W.; Sicard, P.; Bouscayrol, A.; Boulon, L. Real-time backstepping control for fuel cell vehicle using supercapacitors. IEEE Trans. Veh. Technol. 2017, 67, 306–314. [Google Scholar] [CrossRef]
- Benmouna, A.; Becherif, M. Combined passivity based control and optimal control for energy management of fuel cell/battery hybrid system. Asian J. Control. 2019, 21, 1857–1868. [Google Scholar] [CrossRef]
- Aouzellag, H.; Ghedamsi, K.; Aouzellag, D. Energy management and fault tolerant control strategies for fuel cell/ultra capacitor hybrid electric vehicles to enhance autonomy, efficiency and life time of the fuel cell system. Int. J. Hydrogen Energy 2015, 40, 7204–7213. [Google Scholar] [CrossRef]
- Sankar, K.; Jana, A.K. Nonlinear multivariable sliding mode control of a reversible PEM fuel cell integrated system. Energy Convers. Manag. 2018, 171, 541–565. [Google Scholar] [CrossRef]
- Qi, Z.; Fu, X.A. Neural Network Fuzzy Energy Management Strategy for Hybrid Electric Vehicles Based on Driving Cycle Recognition. Appl. Sci. 2020, 10, 696. [Google Scholar] [CrossRef] [Green Version]
- Soumeur, M.A.; Gasbaoui, B.; Abdelkhalek, O.; Ghouili, J.; Toumi, T.; Chakar, A. Comparative study of energy management strategies for hybrid proton exchange membrane fuel cell four wheel drive electric vehicle. J. Power Sources 2020, 462, 228167. [Google Scholar] [CrossRef]
- Huang, Z.; Zhang, C.; Zeng, T.; Lv, C.; Chan, S.H. Modeling and energy management of a photovoltaic-fuel cell-battery hybrid electric vehicle. Energy Storage 2019, 1, e61. [Google Scholar] [CrossRef] [Green Version]
- Odeim, F.; Roes, J.; Wülbeck, L.; Heinzel, A. Power management optimization of fuel cell/battery hybrid vehicles with experimental validation. J. Power Sources 2014, 252, 333–343. [Google Scholar] [CrossRef]
- Zhang, X.; Liu, L.; Dai, Y.; Lu, T. Experimental investigation on the online fuzzy energy management of hybrid fuel cell/battery power system for UAVs. Int. J. Hydrogen Energy 2018, 43, 10094–10103. [Google Scholar] [CrossRef]
- Lin, C.; Luo, W.; Lan, H.; Hu, C. Research on Multi-Objective Compound Energy Management Strategy Based on Fuzzy Control for FCHEV. Energies 2022, 15, 1721. [Google Scholar] [CrossRef]
- Valdez-Resendiz, J.E.; Rosas-Caro, J.C.; Mayo-Maldonado, J.C.; Claudio-Sanchez, A.; Ruiz-Martinez, O.; Sanchez, V.M. Improvement of ultracapacitors-energy usage in fuel cell-based hybrid electric vehicle. Int. J. Hydrogen Energy 2020, 45, 13746–13756. [Google Scholar] [CrossRef]
- Urbanski, K.; Janiszewski, D. Sensorless Control of the Permanent Magnet Synchronous Motor. Sensors 2019, 19, 3546. [Google Scholar] [CrossRef] [Green Version]
- Oubelaid, A.; Taib, N.; Nikolovski, S.; Alharbi, T.E.A.; Rekioua, T.; Flah, A.; Ghoneim, S.S.M. Intelligent Speed Control and Performance Investigation of a Vector Controlled Electric Vehicle Considering Driving Cycles. Electronics 2022, 11, 1925. [Google Scholar] [CrossRef]
- Alsofyani, I.M.; Idris, N.R.N.; Lee, K.B. Dynamic Hysteresis Torque Band for Improving the Performance of Lookup-Table-Based DTC of Induction Machines. IEEE Trans. Power Electron. 2017, 33, 7959–7970. [Google Scholar] [CrossRef]
- Esparza Sola, T.; Chiu, H.J.; Liu, Y.C.; Rahman, A.N. Extending DC Bus Utilization for Induction Motors with Stator Flux Oriented Direct Torque Control. Energies 2022, 15, 374. [Google Scholar] [CrossRef]
- Moati, Y.; Kouzi, K.; Iqbal, A. Adaptive optimized DTC-SVM using metaheuristic Bat algorithm for DSIM fed by IMC based on robust synergetic speed controller. Int. Trans. Electr. Energy Syst. 2021, 31, e12697. [Google Scholar] [CrossRef]
- Tarusan, S.A.A.; Jidin, A.; Jamil, M.L.M. The optimization of torque ripple reduction by using DTC-multilevel inverter. ISA Trans. 2022, 121, 365–379. [Google Scholar] [CrossRef]
- Kakouche, K.; Guendouz, W.; Rekioua, T.; Mezani, S.; Lubin, T. Application of fuzzy controller to minimize torque and flux ripples of PMSM. In Proceedings of the International Conference on Advanced Electrical Engineering (ICAEE), Algiers, Algeria, 19–21 November 2019. [Google Scholar] [CrossRef]
- Korkmaz, F.; Cakir, M.F.; Topaloglu, I.; Gurbuz, R. Artificial Neural Network Based DTC Driver for PMSM. Int. J. Instrum. Control Syst. 2013, 3, 1–7. [Google Scholar] [CrossRef]
- Li, G.; Hu, J.; Li, Y.; Zhu, J. An Improved Model Predictive Direct Torque Control Strategy for Reducing Harmonic Currents and Torque Ripples of Five-Phase Permanent Magnet Synchronous Motors. IEEE Trans. Ind. Electron. 2018, 66, 5820–5829. [Google Scholar] [CrossRef]
- Elsherbiny, H.; Ahmed, M.K.; Elwany, M. Comparative Evaluation for Torque Control Strategies of Interior Permanent Magnet Synchronous Motor for Electric Vehicles. Period. Polytech. Electr. Eng. Comput. Sci. 2021, 65, 244–261. [Google Scholar] [CrossRef]
- Mesloub, H.; Benchouia, M.H.; Goléa, A.; Goléa, N.; Benbouzid, M.E.H. Predictive DTC schemes with PI regulator and particle swarm optimization for PMSM drive: Comparative simulation and experimental study. Int. J. Adv. Manuf. Technol. 2016, 86, 3123–3134. [Google Scholar] [CrossRef]
- Hassan, M.R.; Mossa, M.A.; Dousoky, G.M. Evaluation of Electric Dynamic Performance of an Electric Vehicle System Using Different Control Techniques. Electronics 2021, 10, 2586. [Google Scholar] [CrossRef]
- Motapon, S.N.; Tremblay, O.; Dessaint, L.A. Development of a generic fuel cell model: Application to a fuel cell vehicle simulation. Int. J. Power Electron. 2012, 4, 505–522. [Google Scholar] [CrossRef]
- Motapon, S.N.; Dessaint, L.A.; Al-Haddad, K. A comparative study of energy management schemes for a fuel-cell hybrid emergency power system of more-electric aircraft. IEEE Trans. Ind. Electron. 2013, 61, 1320–1334. [Google Scholar] [CrossRef]
- Podder, A.K.; Chakraborty, O.; Islam, S.; Kumar, N.M.; Alhelou, H.H. Control Strategies of Different Hybrid Energy Storage Systems for Electric Vehicles Applications. IEEE Access 2021, 9, 51865–51895. [Google Scholar] [CrossRef]
- Tremblay, O.; Dessaint, L.A.; Dekkiche, A.I. A Generic Battery Model for the Dynamic Simulation of Hybrid Electric Vehicles. In Proceedings of the IEEE Conference on Vehicle Power and Propulsion (VPPC), Arlington, TX, USA, 9–12 September 2007. [Google Scholar] [CrossRef]
- Zandi, M.; Payman, A.; Martin, J.P.; Pierfederici, S.; Davat, B.; Meibody-Taber, F. Energy Management of a Fuel Cell/Supercapacitor/Battery Power Source for Electric Vehicular Applications. IEEE Trans. Veh. Technol. 2010, 60, 433–443. [Google Scholar] [CrossRef]
- Ahmed, A.A.; Akl, M.M.; Rashad, M.E.E. A comparative dynamic analysis between model predictive torque control and field-oriented torque control of IM drives for electric vehicles. Int. Trans. Electr. Energy Syst. 2021, 31, e13089. [Google Scholar] [CrossRef]
- Ban, F.; Lian, G.; Zhang, J.; Chen, B.; Gu, G. Study on a Novel Predictive Torque Control Strategy Based on the Finite Control Set for PMSM. IEEE Trans. Appl. Supercond. 2019, 29, 3601206. [Google Scholar] [CrossRef]
- Sandre-Hernandez, O.; Rangel-Magdaleno, J.; Morales-Caporal, R. A Comparison on Finite-Set Model Predictive Torque Control Schemes for PMSMs. IEEE Trans. Power Electron. 2018, 33, 8838–8847. [Google Scholar] [CrossRef]
- Bechar, M.; Hazzab, A.; Habbab, M.; Sicard, P.; Slimi, M. RT-LAB Platform for Real-Time Implementation of Luenberger Observer Based Speed Sensorless Control of Induction Motor. J. Autom. Mob. Robot. Intell. Syst. 2019, 13, 65–72. [Google Scholar] [CrossRef]
























| Parameter | Value | Unite |
|---|---|---|
| Nominal power | 50 | kW |
| Peak power | 60 | kW |
| Number of cells | 358 | Cell |
| Nominal stack efficiency | 55 | % |
| Operating temperature | 65 | °C |
| Nominal Air flow rate | 2100 | Ipm |
| Fuel supply pressure | 1.5 | bar |
| Air supply pressure | 1 | bar |
| Parameter | Value | Unite |
|---|---|---|
| ) | 50 | kW |
| ) | 500 | V |
| ) | 0.0065 | Ω |
| ) | 8.35 | mH |
| ) | 0.17566143 | Wb |
| Number of pole pairs (p) | 4 | - |
| Motor inertia (J) | 0.089 | kg·m2 |
| Viscous damping (f) | 0.005 | N·m·s |
| Parameter | Value | Unite |
|---|---|---|
| 1325 | kg | |
| 5.2 | - | |
| Number of wheels per axle | 2 | - |
| ) | 2.57 | m2 |
| Tire radius (r) | 0.3 | m |
| ) | 0.3 | - |
| Pfc | Pload | ||||||
|---|---|---|---|---|---|---|---|
| N | VL | L | M | H | VH | ||
| SOC | L | ZE | L | M | H | VH | VH |
| M | ZE | ZE | VL | L | M | H | |
| H | ZE | ZE | ZE | VL | VL | L | |
| Performances | DTC | MPDTC | Improvement (%) |
|---|---|---|---|
| Torque ripples (N·m) | 140 ± 11 | 140 ± 5 | 54.54 |
| Flux ripples (Wb) | 0.175 ± 0.01 | 0.175 ± 0.0023 | 77 |
| THD (%) | 3.13 | 1.45 | 53.67 |
Publisher’s Note: MDPI stays neutral with regard to jurisdictional claims in published maps and institutional affiliations. |
© 2022 by the authors. Licensee MDPI, Basel, Switzerland. This article is an open access article distributed under the terms and conditions of the Creative Commons Attribution (CC BY) license (https://creativecommons.org/licenses/by/4.0/).
Share and Cite
Kakouche, K.; Rekioua, T.; Mezani, S.; Oubelaid, A.; Rekioua, D.; Blazek, V.; Prokop, L.; Misak, S.; Bajaj, M.; Ghoneim, S.S.M. Model Predictive Direct Torque Control and Fuzzy Logic Energy Management for Multi Power Source Electric Vehicles. Sensors 2022, 22, 5669. https://doi.org/10.3390/s22155669
Kakouche K, Rekioua T, Mezani S, Oubelaid A, Rekioua D, Blazek V, Prokop L, Misak S, Bajaj M, Ghoneim SSM. Model Predictive Direct Torque Control and Fuzzy Logic Energy Management for Multi Power Source Electric Vehicles. Sensors. 2022; 22(15):5669. https://doi.org/10.3390/s22155669
Chicago/Turabian StyleKakouche, Khoudir, Toufik Rekioua, Smail Mezani, Adel Oubelaid, Djamila Rekioua, Vojtech Blazek, Lukas Prokop, Stanislav Misak, Mohit Bajaj, and Sherif S. M. Ghoneim. 2022. "Model Predictive Direct Torque Control and Fuzzy Logic Energy Management for Multi Power Source Electric Vehicles" Sensors 22, no. 15: 5669. https://doi.org/10.3390/s22155669
APA StyleKakouche, K., Rekioua, T., Mezani, S., Oubelaid, A., Rekioua, D., Blazek, V., Prokop, L., Misak, S., Bajaj, M., & Ghoneim, S. S. M. (2022). Model Predictive Direct Torque Control and Fuzzy Logic Energy Management for Multi Power Source Electric Vehicles. Sensors, 22(15), 5669. https://doi.org/10.3390/s22155669

