A Novel Circularly Polarized Folded Transmitarray Antenna with Integrated Radiation and Scattering Performance
Abstract
:1. Introduction
2. The Principle and Components of CPFTA
2.1. Principle of CPFTA
- (1)
- Wave path A: the feed antenna radiates y-polarized waves at incident angle β1.
- (2)
- Wave path B: the y-polarized waves are reflected by the transmitarray at angle β2.
- (3)
- Wave path C: the y-polarized waves are converted into x-polarized waves by the reflectarray at angle β4.
- (4)
- Finally, the transmitarray compensates the phase of x-polarized spherical waves and radiates circularly polarized quasi-plane waves.
2.2. The Unit Cell of Transmitarray
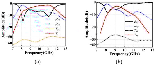
2.3. The Unit Cell of RA
2.4. Planar Feed Antenna
3. The General Circularly Polarized Folded Transmitarray Antenna Design
3.1. Design of GCPFTA
3.2. Simulated and Measured Results
4. The Novel Circularly Polarized Folded Transmitarray Antenna Design
4.1. Design of NCPFTA
- (1)
- High transmission ratio: the energy of the feed can be radiated through the transmitarray and the impedance match is acceptable.
- (2)
- The manipulation of transmission phase: compensating the phase of the spatial path difference from feed antenna.
- (3)
- Polarized conversion: linearly polarized incident waves are converted into circularly polarized transmission waves.
- (4)
- Selectively polarized transmission: x-polarized waves can be transmitted while the y-polarized waves will be totally reflected.
4.2. Simulated and Measured Results
5. Performance Discussion
5.1. Radiation Performance
5.2. Scattering Performance
6. Conclusions
Author Contributions
Funding
Institutional Review Board Statement
Informed Consent Statement
Data Availability Statement
Conflicts of Interest
References
- Liu, Z.; Bayat, N.; Mojabi, P. On the use of absorbing metasurfaces in microwave imaging. IEEE Trans. Antennas Propag. 2021, 69, 9026–9031. [Google Scholar] [CrossRef]
- Chen, L.; Weng, Q.; Chen, J.; Gu, J. A novel amplitude modulation architecture via time-varying programmable metasurface for wireless communication systems. IEEE Access 2020, 8, 75127–75134. [Google Scholar] [CrossRef]
- Li, S.J.; Han, B.W.; Li, Z.Y.; Liu, X.B.; Huang, G.S.; Li, R.Q.; Cao, X.Y. Transmissive coding metasurface with dual-circularly polarized multi-beam. Opt. Express 2022, 30, 26362–26376. [Google Scholar] [CrossRef]
- Guo, W.L.; Wang, G.M.; Luo, X.Y.; Chen, K.; Li, H.P.; Feng, Y. Dual-Phase hybrid metasurface for independent amplitude and phase control of circularly polarized wave. IEEE Trans. Antennas Propag. 2020, 68, 7705–7710. [Google Scholar] [CrossRef]
- Yang, H.H.; Cao, X.Y.; Yang, F.; Gao, J.; Xu, S.H.; Li, M.K.; Chen, X.B.; Zhao, Y.; Zheng, Y.; Li, S.J. A programmable metasurface with dynamic polarization, scattering and focusing control. Sci. Rep. 2016, 6, 35692. [Google Scholar] [CrossRef] [Green Version]
- Li, S.J.; Li, Y.B.; Li, H.; Wang, Z.X.; Zhang, C.; Guo, Z.X.; Li, R.Q.; Cao, X.Y.; Cheng, Q.; Cui, T.J. A thin self-feeding janus metasurface for manipulating incident waves and emitting radiation waves simultaneously. Ann. Phys. 2021, 532, 2000020. [Google Scholar] [CrossRef]
- Fan, C.; Choi, W.; Yang, W.; Che, W.; Tam, K. A low cross-polarization reflectarray antenna based on SIW slot antenna. IEEE Antennas Wirel. Propag. Lett. 2017, 16, 333–336. [Google Scholar] [CrossRef]
- Han, B.W.; Li, S.J.; Li, Z.Y.; Huang, G.S.; Liu, X.B.; Tian, J.H.; Cao, X.Y. Asymmetric transmission for dual-circular polarized waves based on chiral metasurface. Opt. Express 2021, 29, 19643–19654. [Google Scholar] [CrossRef]
- Ramazannia Tuloti, S.H.; Rezaei, P.; Tavakkol Hamedani, F. High-efficient wideband transmitarray antenna. IEEE Antennas Wirel. Propag. Lett. 2018, 17, 817–820. [Google Scholar] [CrossRef]
- Li, Z.Y.; Li, S.J.; Han, B.W.; Huang, G.S.; Guo, Z.X.; Cao, X.Y. Quad-band transmissive metasurface with linear to dual -circular polarization conversion simultaneously. Adv. Theory Simul. 2021, 4, 2100117. [Google Scholar] [CrossRef]
- Ge, Y.H.; Lin, C.X.; Liu, Y.J. Broadband folded transmitarray antenna based on an ultrathin transmission polarizer. IEEE Trans. Antennas Propag. 2018, 66, 5974–5981. [Google Scholar] [CrossRef]
- Chen, G.; Jiao, Y.; Zhao, G. A novel folded transmitarray antenna. In Proceedings of the 2019 International Conference on Microwave and Millimeter Wave Technology (ICMMT), Guangzhou, China, 19–22 May 2019; pp. 1–3. [Google Scholar] [CrossRef]
- Fan, C.; Che, W.; Yang, W.; He, S. A novel PRAMC-based ultralow profile transmitarray antenna by using ray tracing principle. IEEE Trans. Antennas Propag. 2017, 65, 1779–1787. [Google Scholar] [CrossRef]
- Chen, Z.; Li, H.Z.; Wong, H.; Zhang, X.; Yuan, T. A circularly polarized reconfigurable patch antenna with liquid dielectric. IEEE Open J. Antennas Propag. 2021, 2, 396–401. [Google Scholar] [CrossRef]
- Liu, Y.; Liang, X.; Zhang, X.; Li, J.; Geng, J.; Jin, R.; Zhang, L. A K-band broadband circularly polarized slot antenna based on L-Shaped waveguide cavity. IEEE Antennas Wirel. Propag. Lett. 2021, 20, 1606–1610. [Google Scholar] [CrossRef]
- Yang, J.; Chen, S.T.; Chen, M.; Ke, J.C.; Chen, M.Z.; Zhang, C.; Yang, R.; Li, X.; Cheng, Q.; Cui, T.J. Folded transmitarray antenna with circular polarization based on metasurface. IEEE Trans. Antennas Propag. 2021, 69, 806–814. [Google Scholar] [CrossRef]
- Mei, P.; Zhang, S.; Pedersen, G.F. A dual-polarized and high-gain X-/Ka-band shared-aperture antenna with high aperture reuse efficiency. IEEE Trans. Antennas Propag. 2021, 69, 1334–1344. [Google Scholar] [CrossRef]
- Yang, H.H.; Li, T.; Xu, L.M.; Cao, X.Y.; Jidi, L.R.; Guo, Z.X.; Li, P.; Gao, J. Low in-band-RCS antennas based on anisotropic metasurface using a novel integration method. IEEE Trans. Antennas Propag. 2021, 69, 3575–3583. [Google Scholar] [CrossRef]
- Li, S.J.; Li, Y.B.; Zhang, L.; Luo, Z.J.; Han, B.W.; Li, R.Q.; Cao, X.Y.; Cheng, Q.; Cui, T.J. Programmable controls to scattering properties of a radiation array. Laser Photonics Rev. 2021, 15, 2000449. [Google Scholar] [CrossRef]
- Murugesan, A.; Natarajan, D.; Selvan, K.T. Low-cost, wideband checkerboard metasurfaces for monostatic RCS reduction. IEEE Antennas Wirel. Propag. Lett. 2021, 20, 493–497. [Google Scholar] [CrossRef]
- Li, T.; Yang, H.H.; Li, Q.; Jidi, L.R.; Cao, X.Y.; Gao, J. Broadband low-RCS and high-Gain microstrip antenna based on concentric ring-type metasurface. IEEE Trans. Antennas Propag. 2021, 69, 5325–5334. [Google Scholar] [CrossRef]
- Wang, S.; Gao, J.; Cao, X.; Lan, J.; Huang, Z. Integrated radiation and scattering performance of metasurface antenna array. In Proceedings of the International Conference on Microwave and Millimeter Wave Technology (ICMMT), Chengdu, China, 7–11 May 2018. [Google Scholar] [CrossRef]
- Niu, L.; Xie, Y.; Wu, P.; Zhang, C. ARCS: Active Radar Cross Section for Multi-Radiator Problems in Complex EM Environments. Sensors 2020, 20, 3371. [Google Scholar] [CrossRef] [PubMed]
- Guo, Z.X.; Cao, X.Y.; Gao, J.; Yang, H.H.; Jidi, L.R. A novel composite transmission metasurface with dual functions and its application in microstrip antenna. J. Appl. Phys. 2020, 127, 115103. [Google Scholar] [CrossRef]
- Yang, F.; Zhang, X.X.; Ye, X.; Rahmat-Samii, Y. Wide-band E-shaped patch antennas for wireless communications. IEEE Trans. Antennas Propag. 2001, 49, 1094–1100. [Google Scholar] [CrossRef]
- Huang, J. A technique for an array to generate circular polarization with linearly polarized elements. IEEE Trans. Antennas Propag. 1986, 34, 1113–1124. [Google Scholar] [CrossRef]
- Smolders, A.B.; Visser, H.J. Low side-lobe circularly polarized phased arrays using a random sequential rotation technique. IEEE Trans. Antennas Propag. 2014, 62, 6476–6481. [Google Scholar] [CrossRef]
- Hall, P.S.; Smith, M.S. Sequentially rotated arrays with reduced sidelobe levels. IEEE Proc. Microw. Antennas Propag. 1994, 141, 321–325. [Google Scholar] [CrossRef]
- Zhang, C.; Wang, Y.; Zhu, F.; Wei, G.; Li, J.; Wu, C.; Gao, S.; Liu, H. A planar integrated folded reflectarray antenna with circular polarization. IEEE Trans. Antennas Propag. 2017, 65, 385–390. [Google Scholar] [CrossRef]




















| Parameter | w | l | l1 | w1 | r2 | r1 |
| Value (mm) | 8 | 7.8 | 2 | 1.8 | 1.4 | 0.9 |
| Parameter | r3 | w2 | dh | dl | h | p |
| Value (mm) | 1.4 | 1.1 | 0.1 | 3.6 | 1.5 | 10 |
| Aperture Size | 240 mm × 240 mm |
| Measured Gain | 22.4 dBi (23.9%) |
| Ideal Directivity | 28.6 dBi |
| Total Loss | 6.2 dB |
| Spillover Loss | 0.7 dB |
| Taper Loss | 0.6 dB |
| Transmission Loss of TA | 1.0 dB |
| Reflection Loss of TA | 0.2 dB |
| Reflection Loss of RA | 0.3 dB |
| Other Losses | 0.6 dB |
| Phase quantization Loss | 2.8 dB |
| Ref. | Type | Pol. | Feed Type | Feed Integration | H/D | Center Fre. (GHz) | Peak Gain (Dbi) | S11 BW (%) | 3-dB AR BW (%) | 3-dB Gain BW (%) | RCS Analysis |
|---|---|---|---|---|---|---|---|---|---|---|---|
| [11] | FTA | LP | horn | NO | 0.3 | 27.5 | 25.2 | 21.6 | —— | 18 | NO |
| [12] | FTA | LP | horn | NO | 0.33 | 21 | 21.9 | >9.5 | —— | 6.7 | NO |
| [16] | FTA | CP | Microstrip | YES | 0.16 | 10.3 | 21.8 | 16.3 | 23.2 | 11.6 | NO |
| [29] | FRT | CP | Array | YES | 0.29 | 5.3 | 22.8 | 15.1 | >11.3 | 13 | NO |
| GCPFTA | FTA | CP | Microstrip | YES | 0.15 | 9.5 | 21.4 | 21.1 | 6.5 | 15.7 | YES |
| NCPFTA | FTA | CP | Microstrip | YES | 0.15 | 9.5 | 22.4 | 21.1 | 23.6 | 16.5 | YES |
Publisher’s Note: MDPI stays neutral with regard to jurisdictional claims in published maps and institutional affiliations. |
© 2022 by the authors. Licensee MDPI, Basel, Switzerland. This article is an open access article distributed under the terms and conditions of the Creative Commons Attribution (CC BY) license (https://creativecommons.org/licenses/by/4.0/).
Share and Cite
Guo, Z.; Cao, X.; Liu, T.; Gao, J.; Li, S.; Yang, H.; Li, T. A Novel Circularly Polarized Folded Transmitarray Antenna with Integrated Radiation and Scattering Performance. Sensors 2022, 22, 5503. https://doi.org/10.3390/s22155503
Guo Z, Cao X, Liu T, Gao J, Li S, Yang H, Li T. A Novel Circularly Polarized Folded Transmitarray Antenna with Integrated Radiation and Scattering Performance. Sensors. 2022; 22(15):5503. https://doi.org/10.3390/s22155503
Chicago/Turabian StyleGuo, Zexu, Xiangyu Cao, Tao Liu, Jun Gao, Sijia Li, Huanhuan Yang, and Tong Li. 2022. "A Novel Circularly Polarized Folded Transmitarray Antenna with Integrated Radiation and Scattering Performance" Sensors 22, no. 15: 5503. https://doi.org/10.3390/s22155503
APA StyleGuo, Z., Cao, X., Liu, T., Gao, J., Li, S., Yang, H., & Li, T. (2022). A Novel Circularly Polarized Folded Transmitarray Antenna with Integrated Radiation and Scattering Performance. Sensors, 22(15), 5503. https://doi.org/10.3390/s22155503

