Guaranteeing QoS for NOMA-Enabled URLLC Based on κ–μ Shadowed Fading Model
Abstract
:1. Introduction
1.1. Background and Motivation
1.2. Related Works
1.3. Main Contributions
- We derive approximate closed-form expressions for statistical characteristics (the PDF, CDF and MGF) of the sum of independent and nonidentically distributed (i.n.i.d.) – shadowed random variables (RVs). The analysis is nontrivial, as we optimize the theoretical analysis performance of the – shadowed fading model and improve its mathematical tractability.
- Based on the – shadowed fading model, we derive approximate closed-form expressions for the PDF, CDF and MGF of the postprocessing signal-to-noise ratio (PPSNR) after the zero-forcing detector in the proposed CF mMIMO system, and extend the – shadowed fading model to 6G NOMA wireless communication systems.
- By utilizing FBL information theory, SNC and the Mellin transform on the service process, we exploit the UB-QDVP in the proposed CF mMIMO system under the – shadowed fading model. Furthermore, based on extensive simulations, we analyze the system performance with the delay and UB-QDVP indicators and validate the necessity of analyses performed under the – shadowed fading model; the CF mMIMO system outperforms the OMA system and PD-NOMA system. (For the OMA and PD-NOMA systems, there are L antennas equipped in their base station and K users. For illustration convenience, in the PD-NOMA system, we divide K users into pairs based on the channel gains of the users (). Specifically, we divide K users into a group of “strong users” and a group of “weak users” according to their channel gains and sort the users in the descending order of their channel gains within each of the groups. The “strong user” and “weak user” with the same label are grouped in the same pair.)
1.4. Organization
2. System Model
3. Analysis of the Delay Performance
3.1. Service Transmission in FBL Regime
3.2. Queuing Model
3.3. SNC in the SNR Domain
3.3.1. Mellin Transform over the Arrival Process in the SNR Domain
3.3.2. Mellin Transform over the Service Process in the SNR Domain
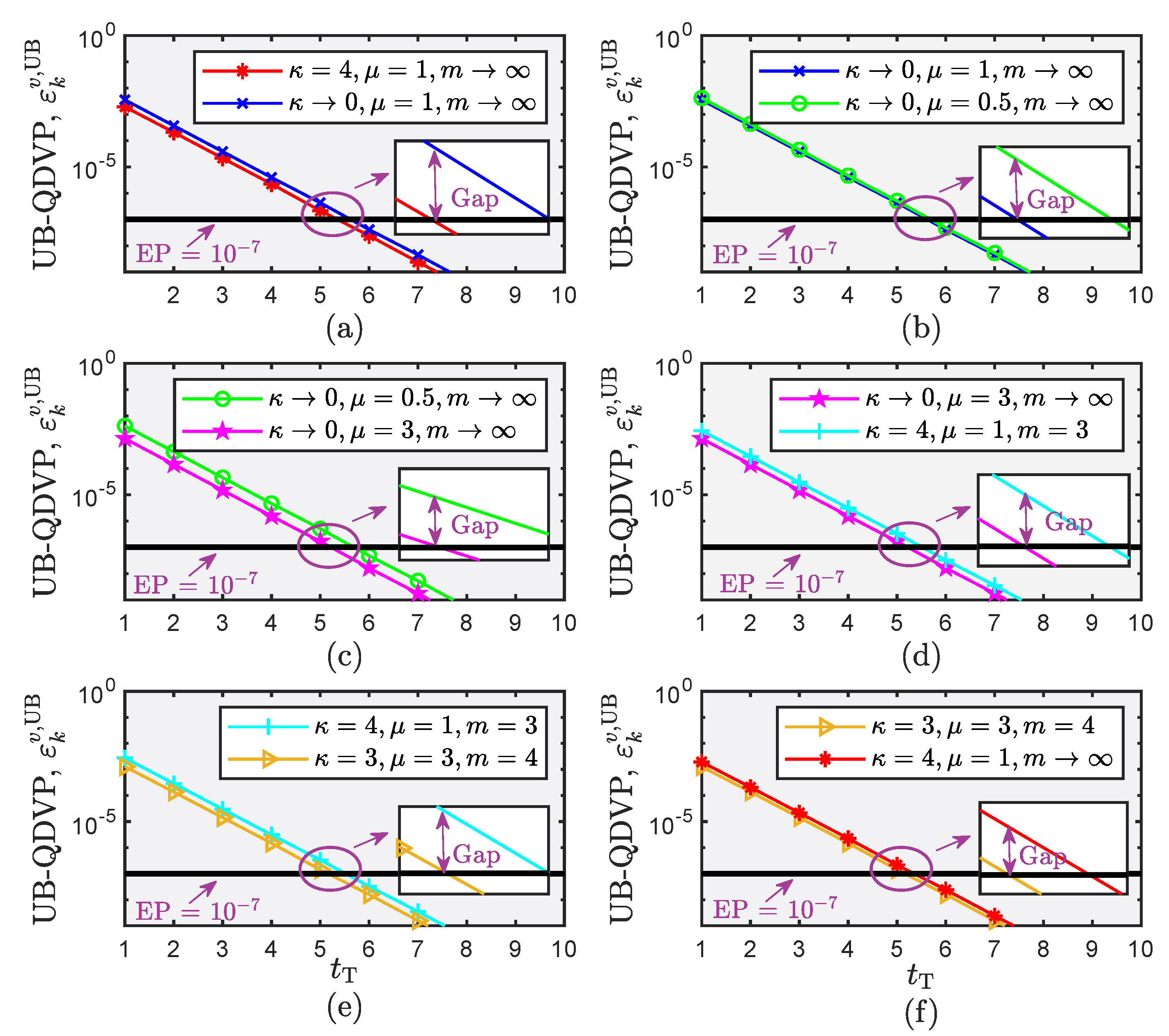
4. Simulation Results and Analyses
5. Conclusions
Author Contributions
Funding
Institutional Review Board Statement
Informed Consent Statement
Data Availability Statement
Conflicts of Interest
Abbreviations
| URLLC | Ultrareliable and low-latency communications |
| CF mMIMO | Cell-free massive multiple-input multiple-output |
| NOMA | Nonorthogonal multiple access |
| UB-QDVP | Upper bound of queuing delay violation probability |
| QoS | Quality-of-service |
| EE | Energy efficiency |
| OMA | Orthogonal multiple access |
| CU | Channel use |
| PD-NOMA | Power-domain NOMA |
| AP | Access point |
| FBL | Finite blocklength |
| SNC | Stochastic network calculus |
| CSI | Channel state information |
| Probability density function | |
| CDF | Cumulative distribution function |
| SINR | Signal-to-noise-plus-interference ratio |
| MGF | Moment-generating function |
| i.n.i.d. | Independent and nonidentically distributed |
| BBU | Baseband unit |
| i.i.d. | Independent and identically distributed |
| AWGN | Additive white Gaussian noise |
Appendix A. Proof of Lemma 1
Appendix B. Proof of Theorem 1
Appendix C. Proof of Theorem 2
Appendix D. Proof of Corollary 2
References
- Nguyen, D.C.; Ding, M.; Pathirana, P.N.; Seneviratne, A.; Li, J.; Niyato, D.; Dobre, O.; Poor, H.V. 6G Internet of Things: A comprehensive survey. IEEE Internet Things J. 2022, 9, 359–383. [Google Scholar] [CrossRef]
- Berry, R.A. Optimal power-delay tradeoffs in fading channels-Small-delay asymptotics. IEEE Trans. Inf. Theory 2013, 59, 3939–3952. [Google Scholar] [CrossRef]
- Buzzi, S.; Chih-Lin, I.; Klein, T.E.; Poor, H.V.; Yang, C.; Zappone, A. A survey of energy-efficient techniques for 5G networks and challenges ahead. IEEE J. Sel. Areas Commun. 2016, 34, 697–709. [Google Scholar] [CrossRef] [Green Version]
- Papazafeiropoulos, A.; Ngo, H.Q.; Kourtessis, P.; Chatzinotas, S.; Senior, J.M. Towards optimal energy efficiency in cell-free massive MIMO systems. IEEE Trans. Green Commun. Netw. 2021, 5, 816–831. [Google Scholar] [CrossRef]
- Ye, N.; Li, X.; Yu, H.; Zhao, L.; Liu, W.; Hou, X. DeepNOMA: A unified framework for NOMA using deep multi-task learning. IEEE Trans. Wirel. Commun. 2020, 19, 2208–2225. [Google Scholar] [CrossRef]
- Pan, J.; Ye, N.; Yu, H.; Hong, T.; Al-Rubaye, S.; Mumtaz, S.; Al-Dulaimi, A.; Chih-Lin, I. AI-Driven Blind Signature Classification for IoT Connectivity: A Deep Learning Approach. IEEE Trans. Wirel. Commun. 2022. early access. [Google Scholar] [CrossRef]
- Ye, N.; An, J.; Yu, J. Deep-Learning-Enhanced NOMA Transceiver Design for Massive MTC: Challenges, State of the Art, and Future Directions. IEEE Wirel. Commun. 2021, 28, 66–73. [Google Scholar] [CrossRef]
- Ye, N.; Yu, J.; Wang, A.; Zhang, R. Help from space: Grant-free massive access for satellite-based IoT in the 6G era. Digit. Commun. Netw. 2021, 8, 215–224. [Google Scholar] [CrossRef]
- Ding, Z.; Liu, Y.; Choi, J.; Sun, Q.; Elkashlan, M.; Chih-Lin, I.; Poor, H.V. Application of non-orthogonal multiple access in LTE and 5G networks. IEEE Commun. Mag. 2017, 55, 185–191. [Google Scholar] [CrossRef] [Green Version]
- Ren, H.; Pan, C.; Deng, Y.; Elkashlan, M.; Nallanathan, A. Joint power and blocklength optimization for URLLC in a factory automation scenario. IEEE Trans. Wirel. Commun. 2019, 19, 1786–1801. [Google Scholar] [CrossRef] [Green Version]
- Liu, Y.; Qin, Z.; Elkashlan, M.; Ding, Z.; Nallanathan, A.; Hanzo, L. Non-orthogonal multiple access for 5G and beyond. Proc. IEEE 2017, 105, 2347–2381. [Google Scholar] [CrossRef] [Green Version]
- Ngo, H.Q.; Ashikhmin, A.; Yang, H.; Larsson, E.G.; Marzetta, T.L. Cell-free massive MIMO versus small cells. IEEE Trans. Wirel. Commun. 2017, 16, 1834–1850. [Google Scholar] [CrossRef] [Green Version]
- Zhang, J.; Chen, S.; Lin, Y.; Zheng, J.; Ai, B.; Hanzo, L. Cell-free massive MIMO: A new next-generation paradigm. IEEE Access 2019, 7, 99878–99888. [Google Scholar] [CrossRef]
- Björnson, E.; Sanguinetti, L. Making cell-free massive MIMO competitive with MMSE processing and centralized implementation. IEEE Trans. Wirel. Commun. 2019, 19, 77–90. [Google Scholar] [CrossRef] [Green Version]
- Interdonato, G.; Frenger, P.; Larsson, E.G. Scalability aspects of cell-free massive MIMO. In Proceedings of the IEEE International Conference on Communications (ICC), Shanghai, China, 20–24 May 2019. [Google Scholar]
- Ammar, H.A.; Adve, R.; Shahbazpanahi, S.; Boudreau, G.; Srinivas, K.V. User-centric cell-free massive MIMO networks: A survey of opportunities, challenges and solutions. IEEE Commun. Surv. Tutor. 2022, 24, 611–652. [Google Scholar] [CrossRef]
- Jin, S.N.; Yue, D.W.; Nguyen, H.H. Spectral and energy efficiency in cell-free massive MIMO systems over correlated Rician fading. IEEE Syst. J. 2020, 15, 2822–2833. [Google Scholar] [CrossRef]
- Wang, X.; Ashikhmin, A.; Wang, X. Wirelessly powered cell-free IoT: Analysis and optimization. IEEE Internet Things J. 2020, 7, 8384–8396. [Google Scholar] [CrossRef]
- Elwekeil, M.; Zappone, A.; Buzzi, S. Power control in cell-free massive MIMO networks for UAVs URLLC under the finite blocklength regime. arXiv 2021, arXiv:2111.10613. [Google Scholar]
- Zhang, J.; Fan, J.; Zhang, J.; Ng, D.W.K.; Sun, Q.; Ai, B. Performance analysis and optimization of NOMA-based cell-free massive MIMO for IoT. IEEE Internet Things J. 2021, 9, 9625–9639. [Google Scholar] [CrossRef]
- Abdallah, A.; Mansour, M.M. Efficient angle-domain processing for FDD-based cell-free massive MIMO systems. IEEE Trans. Commun. 2020, 68, 2188–2203. [Google Scholar] [CrossRef] [Green Version]
- Zhang, X.; Wang, J.; Poor, H.V. Statistical delay and error-rate bounded QoS provisioning for mURLLC over 6G CF M-MIMO mobile networks in the finite blocklength regime. IEEE J. Sel. Areas Commun. 2020, 39, 652–667. [Google Scholar] [CrossRef]
- Saad, W.; Bennis, M.; Chen, M. A vision of 6G wireless systems: Applications, trends, technologies, and open research problems. IEEE Netw. 2020, 34, 134–142. [Google Scholar] [CrossRef] [Green Version]
- Dang, S.; Amin, O.; Shihada, B.; Alouini, M.S. What should 6G be? Nat. Electron. 2020, 3, 20–29. [Google Scholar] [CrossRef] [Green Version]
- Ramirez-Espinosa, P.; Lopez-Martinez, F.J.; Paris, J.F.; Yacoub, M.D.; Martos-Naya, E. An extension of the κ-μ shadowed fading model: Statistical characterization and applications. IEEE Trans. Veh. Technol. 2018, 67, 3826–3837. [Google Scholar] [CrossRef] [Green Version]
- Chen, Z.; Wang, L.; Han, D.; Zeng, H. A unified performance analysis of relaying communication system for IoT application with hybrid fading. IEEE Internet Things J. 2020, 7, 570–583. [Google Scholar] [CrossRef]
- Moreno-Pozas, L.; Lopez-Martinez, F.J.; Paris, J.F.; Martos-Naya, E. The κ-μ shadowed fading model: Unifying the κ-μ and η-μ distributions. IEEE Trans. Veh. Technol. 2016, 65, 9630–9641. [Google Scholar] [CrossRef] [Green Version]
- Paris, J.F. Statistical characterization of κ-μ shadowed fading. IEEE Trans. Veh. Technol. 2013, 63, 518–526. [Google Scholar] [CrossRef] [Green Version]
- Yacoub, M.D. The α–η–κ–μ Fading Model. IEEE Trans. Antennas Propag. 2016, 64, 3597–3610. [Google Scholar] [CrossRef]
- Al-Hmood, H.; Al-Raweshidy, H.S. On the effective rate and energy detection based spectrum sensing over α–η–κ–μ fading channels. IEEE Trans. Veh. Technol. 2020, 69, 9112–9116. [Google Scholar] [CrossRef]
- Lopez-Martinez, F.J.; Paris, J.F.; Romero-Jerez, J.M. The κ-μ shadowed fading model with integer fading parameters. IEEE Trans. Veh. Technol. 2017, 66, 7653–7662. [Google Scholar] [CrossRef] [Green Version]
- Sun, C.; She, C.; Yang, C.; Quek, T.Q.; Li, Y.; Vucetic, B. Optimizing resource allocation in the short blocklength regime for ultra-reliable and low-latency communications. IEEE Trans. Wirel. Commun. 2018, 18, 402–415. [Google Scholar] [CrossRef]
- Polyanskiy, Y.; Poor, H.V.; Verdú, S. Channel coding rate in the finite blocklength regime. IEEE Trans. Inf. Theory 2010, 56, 2307–2359. [Google Scholar] [CrossRef]
- Zhang, X.; Wang, J.; Poor, H.V. AoI-driven statistical delay and error-rate bounded QoS provisioning for mURLLC over UAV-multimedia 6G mobile networks using FBC. IEEE J. Sel. Areas Commun. 2021, 39, 3425–3443. [Google Scholar] [CrossRef]
- Bennis, M.; Debbah, M.; Poor, H.V. Ultrareliable and low-latency wireless communication: Tail, risk, and scale. Proc. IEEE 2018, 106, 1834–1853. [Google Scholar] [CrossRef] [Green Version]
- She, C.; Yang, C.; Quek, T.Q. Radio resource management for ultra-reliable and low-latency communications. IEEE Commun. Mag. 2017, 55, 72–78. [Google Scholar] [CrossRef]
- Al-Zubaidy, H.; Liebeherr, J.; Burchard, A. Network-layer performance analysis of multihop fading channels. IEEE/ACM Trans. Netw. 2014, 24, 204–217. [Google Scholar] [CrossRef]
- Nasir, A.A.; Tuan, H.D.; Ngo, H.Q.; Duong, T.Q.; Poor, H.V. Cell-free massive MIMO in the short blocklength regime for URLLC. IEEE Trans. Wirel. Commun. 2021, 20, 5861–5871. [Google Scholar] [CrossRef]
- Alonzo, M.; Baracca, P.; Khosravirad, S.R.; Buzzi, S. Cell-free and user-centric massive MIMO architectures for reliable communications in indoor factory environments. IEEE Open J. Commun. Soc. 2021, 2, 1390–1404. [Google Scholar] [CrossRef]
- Zhang, X.; Wang, J.; Poor, H.V. Statistical delay and error-rate bounded QoS provisioning for SWIPT over CF M-MIMO 6G mobile wireless networks using FBC. IEEE J. Sel. Top. Signal Process. 2021, 15, 1272–1287. [Google Scholar] [CrossRef]
- ElHalawany, B.M.; Jameel, F.; Da Costa, D.B.; Dias, U.S.; Wu, K. Performance analysis of downlink NOMA systems over κ-μ shadowed fading channels. IEEE Trans. Veh. Technol. 2019, 69, 1046–1050. [Google Scholar] [CrossRef]
- Chun, Y.J.; Cotton, S.L.; Dhillon, H.S.; Lopez-Martinez, F.J.; Paris, J.F.; Yoo, S.K. A comprehensive analysis of 5G heterogeneous cellular systems operating over κ-μ shadowed fading channels. IEEE Trans. Wirel. Commun. 2017, 16, 6995–7010. [Google Scholar] [CrossRef] [Green Version]
- Sánchez, J.D.V.; Osorio, D.P.M.; López-Martínez, F.J.; Paredes, M.C.P.; Urquiza-Aguiar, L.F. Information-theoretic security of MIMO networks under κ-μ shadowed fading channels. IEEE Trans. Veh. Technol. 2021, 70, 6302–6318. [Google Scholar] [CrossRef]
- Schiessl, S.; Gross, J.; Skoglund, M.; Caire, G. Delay performance of the multiuser MISO downlink under imperfect CSI and finite-length coding. IEEE J. Sel. Areas Commun. 2019, 37, 765–779. [Google Scholar] [CrossRef] [Green Version]
- Schiessl, S.; Skoglund, M.; Gross, J. NOMA in the uplink: Delay analysis with imperfect CSI and finite-length coding. IEEE Trans. Wirel. Commun. 2020, 19, 3879–3893. [Google Scholar] [CrossRef] [Green Version]
- Xiao, C.; Zeng, J.; Ni, W.; Su, X.; Liu, R.P.; Lv, T.; Wang, J. Downlink MIMO-NOMA for ultra-reliable low-latency communications. IEEE J. Sel. Areas Commun. 2019, 37, 780–794. [Google Scholar] [CrossRef]
- Yang, G.; Xiao, M.; Poor, H.V. Low-latency millimeter-wave communications: Traffic dispersion or network densification? IEEE Trans. Commun. 2018, 66, 3526–3539. [Google Scholar] [CrossRef] [Green Version]
- Elhoushy, S.; Ibrahim, M.; Hamouda, W. Cell-free massive MIMO: A survey. IEEE Commun. Surv. Tutor. 2022, 24, 492–523. [Google Scholar] [CrossRef]
- Femenias, G.; Riera-Palou, F. Fronthaul-constrained cell-free massive MIMO with low resolution ADCs. IEEE Access 2020, 8, 116195–116215. [Google Scholar] [CrossRef]
- Becvar, Z.; Mach, P.; Elfiky, M.; Sakamoto, M. Hierarchical scheduling for suppression of fronthaul delay in C-RAN with dynamic functional split. IEEE Commun. Mag. 2021, 59, 95–101. [Google Scholar] [CrossRef]
- Van Chien, T.; Björnson, E.; Larsson, E.G. Joint power allocation and load balancing optimization for energy-efficient cell-free massive MIMO networks. IEEE Trans. Wirel. Commun. 2020, 19, 6798–6812. [Google Scholar] [CrossRef]
- Fodor, G.; Di Marco, P.; Telek, M. On minimizing the MSE in the presence of channel state information errors. IEEE Commun. Lett. 2015, 19, 1604–1607. [Google Scholar] [CrossRef]
- Liu, P.; Luo, K.; Chen, D.; Jiang, T. Spectral efficiency analysis of cell-free massive MIMO systems with zero-forcing detector. IEEE Trans. Wirel. Commun. 2019, 19, 795–807. [Google Scholar] [CrossRef] [Green Version]
- Arnau, J.; Kountouris, M. Delay performance of MISO wireless communications. In Proceedings of the 2018 16th International Symposium on Modeling and Optimization in Mobile, Ad Hoc, and Wireless Networks (WiOpt), Shanghai, China, 7–11 May 2018. [Google Scholar]
- She, C.; Yang, C.; Quek, T.Q. Cross-layer optimization for ultra-reliable and low-latency radio access networks. IEEE Trans. Wirel. Commun. 2017, 17, 127–141. [Google Scholar]
- Ngo, H.Q.; Larsson, E.G.; Marzetta, T.L. Energy and spectral efficiency of very large multiuser MIMO systems. IEEE Trans. Commun. 2013, 61, 1436–1449. [Google Scholar]
- Payami, M.; Falahati, A. Accurate variable-order approximations to the sum of α–μ variates with application to MIMO systems. IEEE Trans. Wirel. Commun. 2020, 20, 1612–1623. [Google Scholar] [CrossRef]







| Parameter | Value |
|---|---|
| Farthest coverage radius (m) | 1000 |
| Number of potential users | 2000 |
| Activation rate of potential users | 5% |
| Number of APs | 200 |
| Noise power spectral density (dBm/Hz) | −106 |
| Path loss exponent, | 3 |
| Minimum distance, (m) | 10 |
| Constant path loss, (dB) | −10 |
| Bandwidth, B (MHz) | 20 |
| Carrier frequency (GHz) | 3.5 |
| Arrival bit per slot, (bit/slot) | 50 |
| Length of time slot, (ms) | 0.01 |
| Length of pilots, n | 1 |
| Target delay (target number of time slots), | [1,10] |
| Decoding error probability, | [] |
| Case 1: | ||||
| 0.9998 | 0.0002 | 0.9976 | 16.6538 | |
| Case 2: | ||||
| 0.9985 | 0.0015 | 0.9923 | 5.9651 | |
| Case 3: | ||||
| 0.8605 | 0.1395 | 0.9355 | 1.3979 | |
| Case 4: | ||||
| 0.8902 | 0.1098 | 0.9486 | 1.4166 |
Publisher’s Note: MDPI stays neutral with regard to jurisdictional claims in published maps and institutional affiliations. |
© 2022 by the authors. Licensee MDPI, Basel, Switzerland. This article is an open access article distributed under the terms and conditions of the Creative Commons Attribution (CC BY) license (https://creativecommons.org/licenses/by/4.0/).
Share and Cite
Zeng, J.; Song, Y.; Wu, T.; Lv, T.; Zhou, S. Guaranteeing QoS for NOMA-Enabled URLLC Based on κ–μ Shadowed Fading Model. Sensors 2022, 22, 5279. https://doi.org/10.3390/s22145279
Zeng J, Song Y, Wu T, Lv T, Zhou S. Guaranteeing QoS for NOMA-Enabled URLLC Based on κ–μ Shadowed Fading Model. Sensors. 2022; 22(14):5279. https://doi.org/10.3390/s22145279
Chicago/Turabian StyleZeng, Jie, Yuxin Song, Teng Wu, Tiejun Lv, and Shidong Zhou. 2022. "Guaranteeing QoS for NOMA-Enabled URLLC Based on κ–μ Shadowed Fading Model" Sensors 22, no. 14: 5279. https://doi.org/10.3390/s22145279
APA StyleZeng, J., Song, Y., Wu, T., Lv, T., & Zhou, S. (2022). Guaranteeing QoS for NOMA-Enabled URLLC Based on κ–μ Shadowed Fading Model. Sensors, 22(14), 5279. https://doi.org/10.3390/s22145279

