Next Article in Journal
Characterizing Seasonal Radial Growth Dynamics of Balsam Fir in a Cold Environment Using Continuous Dendrometric Data: A Case Study in a 12-Year Soil Warming Experiment
Next Article in Special Issue
Machine Learning and Eye Movements Give Insights into Neurodegenerative Disease Mechanisms
Previous Article in Journal
Photoplethysmogram Recording Length: Defining Minimal Length Requirement from Dynamical Characteristics
Previous Article in Special Issue
Pix2Pix-Based Monocular Depth Estimation for Drones with Optical Flow on AirSim
 
 
Font Type:
Arial Georgia Verdana
Font Size:
Aa Aa Aa
Line Spacing:
Column Width:
Background:
Article

Kalman-Filter-Based Learning of Characteristic Profiles of Lithium-Ion Batteries †

1
Research & Development Strategy Department, Daiwa Can Company, Sagamihara 252-5183, Japan
2
Graduate School of Science and Engineering, Ritsumeikan University, Kusatsu 525-8577, Japan
*
Author to whom correspondence should be addressed.
This paper is an extended version of “Quasi-Unsupervised Learning of Open Circuit Voltage Profiles for Efficiency Degradation Diagnosis in Operation” published in the Proceedings of the 4th International Symposium on Advanced Technologies and Applications in the Internet of Things (ATAIT 2021), Virtual, Kusatsu, Japan, 23–24 August 2021.
Sensors 2022, 22(14), 5156; https://doi.org/10.3390/s22145156
Submission received: 30 May 2022 / Revised: 25 June 2022 / Accepted: 5 July 2022 / Published: 9 July 2022
(This article belongs to the Special Issue Artificial Intelligence and Internet of Things in Healthcare Systems)

Abstract

:
The main analyzed aspect of lithium-ion battery (LIB) degradation so far has been capacity fading. On the other hand, interest in efficiency degradation has also increased in recent years. Battery aggregation, which is expected to absorb the surplus of variable renewable energies such as photovoltaic energy, is affected by efficiency degradation in terms of the decreases in the economic gain and renewable energy use. Reusable LIBs could be used as aggregation components in the future; naturally, the variety of charge–discharge efficiencies might be more complex. To improve the operation efficiency of aggregation, including that obtained using reusable LIBs, we propose the Kalman-filter-based quasi-unsupervised learning of the characteristic profiles of LIBs. This method shows good accuracy in the estimation of charge–discharge energy. It should be emphasized that there are no reports of charge–discharge energy estimation using the Kalman filter. In addition, this study shows that the incorrect open-circuit voltage function for the state of charge, which is assumed in the case of a reused battery, could be applied as the reference for the Kalman filter for LIB state estimation. In summary, it is expected that this diagnosis method could contribute to the economic and renewable energy usage improvement of battery aggregation.

1. Introduction

Climate change is considered a global problem. Thus, the use of variable renewable energies, such as photovoltaic and wind energies, has increased [1]. Consequently, problems associated with surplus electric energy have emerged. A widely known problem is the distinctive electric demand chart called “the duck curve”, which depicts daytime photovoltaic overgeneration [2]. This is the substantial electric demand profile with a characteristic duck-like shape. That is, the bulge in the abdominal region of the demand profile represents a mass generation of photovoltaic energy, indicating an overgeneration risk by transcending the abilities of thermal power generation control and demand generation. In fact, the large-scale reductive control of variable energies has been implemented, for example, in Kyushu (since October 2019), Shikoku and Tohoku (since April 2022), and Hokkaido (since May 2022) in Japan. Naturally, the results include the loss of economic and environmental benefits despite capital investments in renewable energy.
Among the expected solutions are aggregated rechargeable batteries [3] supported by the Internet of Things. That is, surplus renewable energy could be charged and then discharged at a later time of increased demand. The lithium-ion battery (LIB) is an important candidate that has been adopted as a component of electric vehicles and stable energy storage systems. To reduce resource demand, lower prices, and promote a more commercial (and widespread) use of LIBs, many considerations of reuse [4] have been carried out. Consequently, a new international standard, IEC 63330, for the requirements for the reuse of LIBs is being discussed, with expected issuance at the end of 2023 [5]. The implication is that many aggregated rechargeable batteries consisting of reused LIBs could be popular in the future.
Degradation is an important characteristic of LIBs, as performance declines depending on charge–discharge cycle times and storing periods [6,7,8]. A decrease in the full-charge capacity (FCC) and its directly related indices, such as the state of health (SOH) and the remaining useful life (RUL), have been discussed as the main aspects of the degradation of LIBs. Therefore, the capacity-degradation diagnosis and RUL prediction of LIBs have been extensively studied. Equivalent circuit models and AC impedance analysis can measure the change in internal impedance details, which can be treated as an indicator of the FCC [9,10]. The charge–discharge voltage difference indicates the RUL [11,12]. Differential voltage [13,14] and charge curve [15] analyses clarify the internal state of LIBs (e.g., losses of lithium inventory and active materials). Adaptive filters such as the Kalman filter [16] and recursive least square [17] can accurately estimate the state of charge. Thus, the FCC can be calculated. Neural networks can estimate the SOH or RUL from chronological data [18,19]. On the other hand, a decrease in the charge–discharge energy efficiency, called “efficiency degradation”, has been recently reported as another aspect of degradation [20]. It causes the increase in energy loss during LIB operation, and it is an important factor for large-scale LIBs [21]. It induces the order effect of charging in the case of aggregated multiple LIBs [22]. This can be understood in the following way: The degradation degrees of LIBs differ because of the conditions of operation. In addition, aggregated batteries could include various LIB models, manufacturers, and reused histories, indicating that each LIB has various characteristics of charge–discharge energy efficiency. The operation of a high-efficiency LIB could result in a smaller loss of energy and greater economic gain. How to find a highly efficient LIB is important for the economic and energy-saving operation of battery aggregation. Furthermore, an efficiency-based scrapping criterion of LIBs has been proposed [23]. That is, an efficiency-degradation diagnosis is necessary instead of a capacity diagnosis. In addition, it is necessary that this diagnosis be carried out during battery aggregation. It is also desirable that this diagnosis is online and unsupervised (without a pre-cycle test) because of the variety of the characteristics of aggregated LIBs.
Cycle energy efficiency is defined as the ratio of discharge energy to charge. Therefore, an estimation of these values is required for an efficiency-degradation diagnosis. The formula for charge–discharge energy consists of the FCC, open-circuit voltage (OCV), internal resistance (R), and state of charge (SOC) [24]. Especially, the functions of the OCV and R profiles of the SOC are required. There are many reported methods for estimating the OCV profile, and they can be divided roughly into two groups. In the first group—pseudo OCV (pOCV) [25]—the measuring process involves the cycling of an LIB once with more than 10 h at a constant current (<0.1 C) in the range from full discharge to full charge. Then, the OCV profile is calculated as the mean values of the charge–discharge voltages. The second group is the galvanostatic intermittent titration technique (GITT) [26], with a square wave, charge–discharge current, and long-time relaxation between each wave. The estimated R profile can be calculated by dividing the differences between the charge–discharge voltages and OCVs by the current. That is, the R profile can be estimated with the pOCV or GITT measuring process. However, the conditions of the pOCV and GITT include a very long current control span and are quite different from battery aggregation. Therefore, these cannot be adapted for OCV profile estimation during operation.
The Kalman filter, based on an electrochemical model, is widely known as an online estimation method of LIB state parameters—mainly the SOC, polarization voltage, and ohmic resistance [27,28]. A dynamic SOC estimation (the main purpose) could be accurate and important for the profile estimation of the OCV and R. However, the OCV and R estimated by the Kalman filter are discrete scalars corresponding to a specific SOC in most cases. Further, OCV profile estimations using the Kalman filter are less frequently studied. Moreover, a high accuracy acquisition in keeping with the SOC estimation accuracy is difficult to establish [29]. Given the relevance of the OCV, the same is true for R profile estimation.
Based on the aforementioned problems, the purpose of this study was the establishment of a new method for estimating the characteristic profiles of LIBs based on a collaboration between the extended Kalman filter and the process of graph deformation by Gaussian function addition. For this purpose, charge–discharge energy estimation and efficiency-degradation diagnosis were carried out using the SOC, OCV, and R estimated by the extended Kalman filter. The effectiveness of this method based on initial data assumed as the various characteristics of aggregated batteries was verified.

2. Materials and Methods

2.1. Test Sample and Details of Charge–Discharge Cycle Test

In this study, an 8-series LIB module was cycled, and the charge–discharge data were acquired in chronological order. The details of the cycle test are described in Table 1. During the cycle test, constant power mode was adopted for simulating the condition of charge–discharge performed by a power conditioning system. In research studies of degradation diagnosis and state estimation, cycle tests of small LIB cells, such as 18,650 (e.g., 3.6~3.7 V, 0.7~3.5 Ah, typical), are mainly adopted [9,10,11,12,14,16,17,19]. In contrast to this, an 8-series LIB module composed by large cells of 50 Ah was adopted as the component of an aggregated battery pack in this study. The atmosphere temperature of the cycle test was set as room temperature, although the temperature of the module fluctuated in the range from about 20 to 30 °C because of the inevitable internal resistance heat of charge and discharge. In this study, we aimed to acquire 500-cycle degradation data, which correspond to the industrially standardized cycle durability test data [30]. In addition, we considered an initial cycling capacity recovery effect of about 150–200 cycles [31]. Therefore, we adopted 700 cycles of charge–discharge.

2.2. Profile-Graph Deformation by Gaussian Function Addition

The profile-graph deformations of the OCV and R were carried out by height-adjusted Gaussian function addition [32]. These discretized profile data corresponding to multiple SOC values were prepared as vectors.
D = ( v 1 ,   v 2 ,   , v 101 )
where D is the representative vector applied to both the OCV and R. The element number of vector D was set as 101, corresponding to an SOC of [ 0 ,   0.01 ,   0.02 ,   , 1 ] . The amount of graph deformation was defined using the a priori estimate of error E ˜ of a target physical quantity.
M l = E ˜ L e x p ( ( 10 2 ( l 1 ) S o c , 0 ) 2 2 σ 2 ) ,     1 l 101 ,     l  
The center coordinate of deformation on the SOC axis is S o c , 0 , namely, the time of E ˜ extraction from cycle data is when the SOC is S o c , 0 . L is the learning rate; therefore, it should be in the range of 0 < L 1 . σ is the value representing the standard deviation, that is, the rough range of graph deformation; therefore, too large a value is not desirable. l is the order number to specify an element of D . Namely, the overall deformation amounts can be presented as shown below.
M = ( M 1 ,   M 2 ,   , M 101 )
In summary, the process of this profile-graph deformation is presented as shown below.
D ^ = D ^ + M
where D ^ is the a priori estimate and D ^ is the a posteriori estimate of D . The image of this graph deformation process is shown in Figure 1. In addition, the above was repeatedly carried out during the overall charge–discharge cycles, that is, on various SOCs. E ˜ was calculated using the Kalman filter as shown below.

2.3. Algorithm of Kalman Filter

In this research study, we adopted an extended Kalman filter adjusted for the state estimation of LIBs [33]. A state equation and an observation equation were formularized as the linearized discrete-time system.
x k + 1 = A k x k + B k u k + w k
y k = C k x k + v k
where x k is a state space vector; y k is an observation value; w k is a normally distributed system noise, where the average is 0 and the variance is σ w 2 ; and v k is a normally distributed observation noise, where the average is 0 and the variance is σ v 2 . These equations were set based on the equivalent circuit model of LIBs described in Figure 2. Therefore, Equations (7)–(9) could be formularized.
C 1 d V p o l , 1 d t + V p o l , 1 R 1 = I c , d
C 2 d V p o l , 2 d t + V p o l , 2 R 2 = I c , d
V c , d = V o c + V p o l , 1 + V p o l , 2 + I c , d R 0
where R o , R 1 and R 2 are resistances; C 1 and C 2 are capacitances; V p o l , 1 and V p o l , 2 are polarization voltage values of each RC parallel unit; V c , d is the terminal voltage during charge–discharge; I c , d is the charge–discharge current—note that it is defined as a negative value during discharge; and V o c is the OCV value. Equations (7) and (8) can be discretely transformed into Equations (10) and (11) by the forward Euler method.
V p o l , 1 ( k + 1 ) = ( 1 Δ t R 1 C 1 ) V p o l , 1 ( k ) + I c , d C 1 Δ t
V p o l , 2 ( k + 1 ) = ( 1 Δ t R 2 C 2 ) V p o l , 2 ( k ) + I c , d C 2 Δ t
where Δ t is the time resolution between time series k and k + 1 . Based on Equations (10) and (11), equations of state space (5) and observation (6) could be formularized as (12)–(13).
x k + 1 = [ S o c ( k + 1 ) V p o l , 1 ( k + 1 ) V p o l , 2 ( k + 1 ) R 0 ( k + 1 ) ] = [ 1 0 0 0 0 1 Δ t R 1 C 1 0 0 0 0 1 Δ t R 1 C 1 0 0 0 0 1 ] · [ S o c ( k ) V p o l , 1 ( k ) V p o l , 2 ( k ) R 0 ( k ) ] + [ Δ t C f c 1 C 1 1 C 2 0 ] · I c , d ( k ) + w k
y k = V c , d ( k ) = V o c ( k ) + V p o l , 1 ( k ) + V p o l , 2 ( k ) + I c , d ( k ) R 0 ( k ) + v k
Equation (12) is composed of linear functions. On the other hand, Equation (13) is a nonlinear function because of V o c ( k ) , which is a function of the SOC, that is, a parameter that should be estimated by the pOCV [25] or GITT [26] in the conventional case. For the adoption of a nonlinear observation equation in the Kalman filter, Equation (13) was differentiated as shown below.
y k = V o c ( k ) + [ d V o c d S o c | S o c = S o c ^ ( k ) 1 1 I c , d ( k ) ]   [ S o c ( k ) V p o l , 1 ( k ) V p o l , 2 ( k ) R 0 ( k ) ] + v k
That is to say, A k , B k , and C k in Equations (5) and (6) were set as shown below.
A k = [ 1 0 0 0 0 1 Δ t R 1 C 1 0 0 0 0 1 Δ t R 1 C 1 0 0 0 0 1 ] ,   B k = [ Δ t C f c 1 C 1 1 C 2 0 ] ,   C k = [ d V o c d S o c | S o c = S o c ^ ( k ) 1 1 I c , d ( k ) ]
where R 1 = R 2 = 10 4 , C 1 = 10 4 and C 2 = 10 5 were set as the initial conditions. Based on the charge–discharge cycle conditions, Δ t was set as 10. The differentiation of V o c by S o c was calculated based on the regressed polynomial of the OCV profile described in the following subsection.
Two important steps of the Kalman filter were carried out in the following way: At first, in the estimation step, the a priori estimates of state space vector x ^ k + 1 and error covariance matrix P k + 1 were calculated by Equations (16) and (17).
x ^ k + 1 = A k x ^ k + B k I c , d ( k )
P k + 1 = A k P k A k + σ w 2
Following this, in the filtering step, Kalman gain g k + 1 , a posteriori estimate state space vector x ^ k + 1 , and error covariance matrix P k + 1 were calculated by Equations (18)–(20).
g k + 1 = P k + 1 C k + 1 C k + 1 P k + 1 C k + 1 + σ v 2
x ^ k + 1 = x ^ k + 1 + g k + 1 ( y k + 1 y ^ k + 1 )
P k + 1 = ( I g k + 1 C k + 1 ) P k + 1
Initially, x ^ 0 = 0 and P 0 = 0 were given as the tentative vector and matrix. Then, the steps of Equations (16)–(20) were continuously carried out by substituting the elements of A k , B k , and C k that were taken from the values of the cycle chronological data and parameters of the previous step. From these steps, the values of the SOC, OCV, and R were continuously estimated; simultaneously, the estimated profile graphs of the OCV and R were deformed by Gaussian function addition as described above.

2.4. A Posteriori Estimates of OCV and R by Kalman Filter and Extraction of a Priori Estimate of Error for Profile-Graph Deformation

From the Kalman filter process described above, the a posteriori estimates of the OCV and R were calculated using Equations (21) and (22). R was assumed as the DC resistance and defined as the quotient of the overall polarization voltage ( V p o l , 1 ( k ) + V p o l , 2 ( k ) + I c , d ( k ) R 0 ( k ) ) and charge–discharge current.
V ^ o c ( k + 1 ) = y k + 1 C k + 1 x ^ k + 1
R ^ ( k + 1 ) = y k + 1 V ^ o c ( k + 1 ) I c , d ( k + 1 )
The a priori estimates of errors V ˜ o c ( k ) and R ˜ ( k ) , which correspond to E ˜ in Equation (2), were calculated by the differences between the a priori estimate ( V ^ o c ( k ) and R ^ ( k ) ) and the estimate of the Kalman filter ( V ^ o c ( k ) and R ^ ( k ) ). Approximation with a sixth-degree polynomial could be applied to both the OCV and R [34], and the discretized data of both profiles that corresponded to D in Equation (1) were regressed as polynomials to S o c . Accordingly, V ^ o c ( k + 1 ) and R ^ ( k + 1 ) were calculated by the polynomials and S ^ o c ( k + 1 ) , which was included in x ^ k + 1 , as described below.
V ^ o c ( k + 1 ) = i = 0 6 K o c v , i S ^ o c i ( k + 1 )
R ^ ( k + 1 ) = i = 0 6 K R , i S ^ o c i ( k + 1 )
K o c v , i and K R , i are the regressed coefficients of polynomials. A priori estimation errors V ˜ o c ( k + 1 ) = V ^ o c ( k + 1 ) V ^ o c ( k + 1 ) and R ˜ ( k + 1 ) = R ^ ( k + 1 ) R ^ ( k + 1 ) were calculated and substituted in Equation (2) as E ˜ ; simultaneously, S ^ o c ( k + 1 )   was substituted to S o c , 0 .

2.5. Charge–Discharge Energy Estimation

The discretized data of the OCV and R that corresponded to D were continuously updated by the estimated parameters of the Kalman filter and the processes of profile-graph deformation. Coefficients K o c v , i and K R , i of polynomials (23)–(24) were regressed after each charge–discharge cycle. That is to say, polynomials V ^ o c ( S o c ) and R ^ ( S o c ) were regressed cycle by cycle. The estimated charge–discharge energy for a cycle W ^ c , d could be calculated as shown below.
W ^ c , d = C f c 0 1 { V ^ o c ( S o c ) + I ^ c , d ( S o c )   R ^ ( S o c ) } d S o c
where C f c is the FCC value of the corresponding cycle. It should be noted that C f c was set as the actual measured value since there are so many reports of FCC degradation diagnosis, as mentioned in the introduction of this paper. Constant power mode was applied as cycle condition, that is, the relationship between power P , I ^ c , d ( S o c ) , V ^ o c ( S o c ) , and R ^ ( S o c ) could be formularized as shown below.
P = I ^ c , d ( S o c )   { V ^ o c ( S o c ) + I ^ c , d ( S o c )   R ^ ( S o c ) }
We should note that P is defined as a negative value during discharge in the same way as I c , d . Hence, I ^ c , d ( S o c ) could be calculated by solving quadratic Equation (26) as shown below.
I ^ c , d ( S o c ) = V ^ o c ( S o c ) + V ^ o c 2 ( S o c ) + 4 P R ^ ( S o c ) 2 R ^ ( S o c )
From this, we could formularize Equation (26) as the function composed of pre-known P , V ^ o c ( S o c ) , and R ^ ( S o c ) , so that W ^ c , d could be calculated.
In addition, V ^ o c ( S o c ) was used as a reference for C k in the Kalman filter, so an initial V ^ o c ( S o c ) had to be set artificially. The V ^ o c ( S o c ) profiles of commercial LIBs could be adopted and are typically roughly classified into three types having the Co/Ni/Mn cathode, FePO4 cathode, and Ti anode. Although there could be subtle differences in the profiles depending on the active material composition chosen by the LIB manufacturer, the roughly set initial V ^ o c ( S o c ) value could be converged by continuous learning of the Kalman filter and profile-graph deformation. This is the meaning of quasi-unsupervised learning. On the other hand, the initial value of R ^ ( S o c ) was set as 0, since x ^ 0 = 0 in the Kalman filter. R ^ ( S o c ) could be converged in the same way as V ^ o c ( S o c ) .

2.6. Estimation Error and Accuracy Analyses of Charge–Discharge Energy

In this study, learning rate L , graph deformation range σ , and the initial difference between V ^ o c ( S o c ) and the actual OCV profile were mainly analyzed. To quantitatively analyze and compare, the actual value of the i th charge–discharge cycle W c , d , i was measured, and the corresponding estimate error, W ˜ c , d , i ,was calculated from estimate W ^ c , d , i .
W ˜ c , d , i = W c , d , i W ^ c , d , i
Then, error index I m a e r was defined as a mean absolute error ratio described below.
I m a e r = 1 700 i = 1 700 | W ˜ c , d , i W c , d , i |

2.7. Flow of This Experiment

Based on the above description, the flow of this study is described in Figure 3.
W ^ c , d , i and W ˜ c , d , i were calculated from the charge–discharge chronological data by the series of this estimation process. Then, error index I m a e r was calculated by Equation (29).

2.8. Measuring Instruments and Mathematical Software

A charge–discharge cycle test was carried out by using a power-regeneration cycler (Fujitsu Telecom Networks) and a CH43-15P thermal chamber (Nagano Science) as shown in Figure 4. The processes of the Kalman filter, profile-graph deformation, charge–discharge energy estimation, and estimation error and accuracy analysis were carried out using MATLAB 2022a.

3. Results

The combination conditions of learning rate L and rough range of deformation σ are empirically known to be affected by the accuracy of charge–discharge energy estimation [32], so we first analyzed the relationship between these conditions and estimation error indices I m a e r . In this analysis, the actual initial V o c ( S o c ) was applied as the reference for C k in the Kalman filter process at the beginning of the 1st cycle. The result of this is shown in Figure 5. The estimation processes were diverged in most cases by about L > 10 2 and were closer to convergence by reducing σ . This was mainly because larger values of L and σ would have resulted in the accumulation of the excess amount of E ˜ that was input to the profile-graph deformation. In addition, the tendency of optimal σ changed with L = 10 3.8 and L = 10 3.2 as the boundaries; therefore, the combination conditions of L and σ could be roughly divided into the three groups of “Slow”, “Medium”, and “Fast” as shown in Table 2.
In the next stage, the error of the OCV profile data was artificially adopted and applied as the initial reference for C k in the Kalman filter process. This assumption meant the uncertainty of the initial OCV profiles, which would be affected in the case of reused LIBs. When a reusable LIB starts to be used, the current OCV value and perhaps the electrode materials used in a cell might be known; nevertheless, the overall V o c ( S o c ) profile would not. Therefore, V ^ o c ( S o c ) has to be guessed from limited information of the LIB.
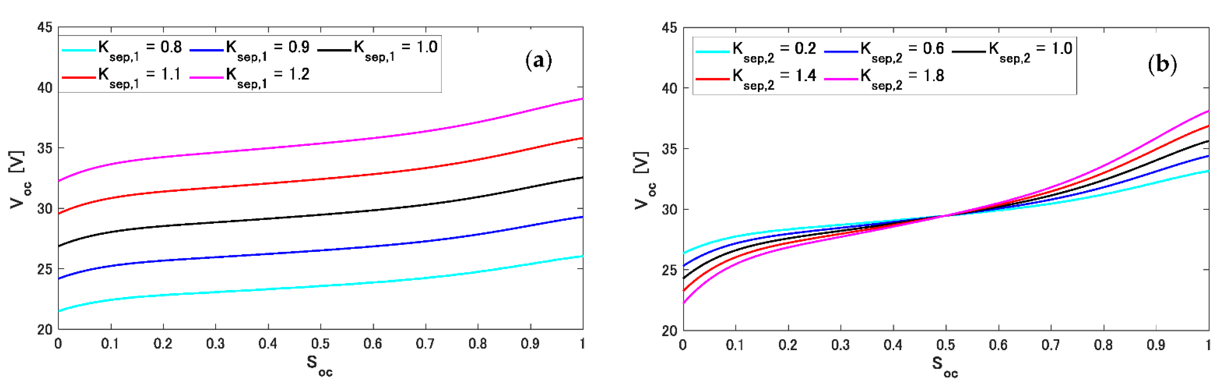
To numerically dissociate the initial OCV reference V ^ o c ( S o c ) from the actual initial V o c ( S o c ) , two methods were used.
V ^ o c ( S o c ) = K s e p , 1 V o c ( S o c )
V ^ o c ( S o c ) = ( 1 + K s e p , 2 ) V o c ( S o c ) K s e p , 2 V o c ( 0.5 )
where K s e p , 1 and K s e p , 2 are the adjustment coefficients. Equation (30) is the process to increase ( K s e p , 1 > 1 ) or decrease ( K s e p , 1 < 1 ) the values of V ^ o c ( S o c ) in one direction. On the other hand, Equation (31) is the process to rotate around S o c = 0.5 as the central axis. The representations of Equations (30) and (31) are shown in Figure 6. In this figure, the black lines are the actual V o c ( S o c ) values, and the other colored lines are deformed and separated from the actual values by K s e p , 1 and K s e p , 2 . The equation combining these two separation elements is expressed as shown below.
V ^ o c ( S o c ) = ( K s e p , 1 + K s e p , 2 ) V o c ( S o c ) K s e p , 2 V o c ( 0.5 )
Next, the charge–discharge energy estimation during 700 cycles was carried out using various K s e p , 1 and K s e p , 2 , and representative L and σ of each condition group in Table 2. This analysis was focused on the adaptability of OCV estimation error V ˜ o c ( S o c ) , which was generated with Equation (32). The results of this are shown in Figure 7. From the figure and Equation (32), K s e p , 1 affected the mean absolute error ratio of charge–discharge energy estimation error I m a e r , but K s e p , 2 did not. Greater deviations of K s e p , 1 from 1 increased I m a e r more. This increasing tendency of I m a e r became stronger with the decrease in the speed of deformation, that is, when L was smaller.
On the basis of these observations, we next considered the charge–discharge energy estimation of each cycle. This was carried out starting from the incorrect initial OCV profile, generated by abysmal values of K s e p , 1 and K s e p , 2 . These incorrect OCV profiles were generated using Equation (32). In addition, it was carried out with the graph deformation conditions described in Table 2. In this consideration, the estimation starting from the correct initial OCV profile was performed for comparison. The results are shown in Figure 8. The black lines and dotted lines in this figure are the actual transitions of charge–discharge energy of each cycle. The lines and dotted lines in red, blue, and green are the estimated charge–discharge energy values of each cycle calculated as W ˜ c , d using Equation (25). The transition of charge–discharge energy estimation was affected by K s e p , 1 and not by K s e p , 2 , as can be naturally understood from Figure 7. K s e p , 1 was the determinant factor of the sign of the initial charge–discharge energy estimation error. If K s e p , 1 had been lower than 1 , the estimated values would have started from lower values than the actual values. In contrast to this, a K s e p , 1 higher than 1 would have resulted in the estimated values starting from higher values. The number of cycles until error convergence was affected by graph deformation speed as described in Table 2. In the cases of fast, medium, and slow deformation speeds, the numbers of cycles required for convergence were almost 20, 40, and 100, respectively. After 100 cycles, the transitions of the estimation of all conditions were homogenous to the ones obtained from the correct OCV profile, as described in Figure 8e. From this, we can see that this proposed method could estimate charge–discharge energy per cycle and calculate the energy efficiency. It should be emphasized that this estimation could be carried out by starting from incorrect and unknown initial profiles of OCV and R assumed for reused LIBs. As discussed above, our purpose was to establish a technique for the high efficiency operation of aggregated reusable LIBs. It can be summarized that this proposed method could realize it.

4. Discussion

The Kalman filter is an excellent method for estimating the real-time state of LIBs [27,28,33], although it can only output the current state. This is mainly because it includes recursive processes, which would otherwise be excellent features. In this study, we adopted the graph deformation method by Gaussian function addition [32] to solve this technical problem. This combination was effective to estimate the OCV and R profiles using the Kalman filter. The degradation tendency of LIBs depends on the cell-size formats [35,36]. It reminds us of the difference in learning the followability of the estimation between large and small cells. However, the learning speed of this method is significantly faster than degradation, as shown in Figure 8a–d. Therefore, profiles can be learned in the same way regardless of the cell-size formats.
We found two beneficial aspects of this method. First, there is the possibility of the Kalman-filter-based differential analysis of the OCV. In general, LIBs are discharged by low currents, and the discharge electric capacity is differentiated with the discharge voltage or inversely differentiated [14,37,38]. In this process, low-current discharge aims to reduce the polarization; in consequence, its chronological discharge data are approximated to the OCV. This differential analysis is known to be effective in diagnosing the internal degradation state of LIBs, for example, the transition of the operation window of positive and negative electrodes [14,37,39]. Although it is necessary that the long discharge time and operation differ from the actual values, this would be difficult to apply to actual aggregated LIBs. Contrary to this, the proposed method could continuously estimate OCV profiles during LIB operation with degradation; therefore, it is suggested that a real-time differential analysis of the OCV can be realized. The transition of the OCV profiles, which was estimated in the case of K s e p , 1 = K s e p , 2 = 1 and the medium deformation speed described in Table 2, and their differential curves are shown in Figure 9. The OCV profiles of each cycle were approximated as the 6th polynomials shown above in Equation (23); as a result, the subtleties in the curves were not expressed. Simultaneously, differentiation profiles dV/dQ, which were calculated from the estimated OCV functions in Figure 9a, did not have sufficient feature peak information as shown in Figure 9b. It could be the task of a future study to generate differentiated OCV profiles that include sufficient information to diagnose the degradation of LIBs.
Next, information of the OCV function is generally required for the state estimation of LIBs using the Kalman filter. This corresponds to d V o c d S o c , as previously described in Equations (14) and (15). Naturally, it could be thought that the correct OCV profile is preferable for the accurate estimating and filtering processes. It should be emphasized that the S o c values were also estimated by these processes; in addition, the estimated S o c values were used for the decision of   S o c , 0 , that is, the center coordinate of graph deformation on the SOC axis. Nevertheless, the wrong OCV profile that was generated by Equation (32) was initially adopted; consequently, it resulted in the accurate convergence of the OCV profiles and the adaptive estimation to the actual charge–discharge energy of each cycle, as previously shown in Figure 8. This result implicitly leads us to the suggestion that the Kalman filter for the state estimation of LIBs has the robustness to the incorrect OCV function references. Again, it could be the object of a future study to validate the adaptability of the proposed method against the clutter of aggregated LIBs, including reused ones.

5. Conclusions

We propose a new method that combines the Kalman filter and profile-graph deformation by Gaussian function addition to estimate the charge–discharge energy efficiency per cycle of LIBs. The contributions of this study can be summarized as:
(1)
The realization of the characteristic profile estimation of LIBs based on the Kalman filter known as the real-time state estimation method, which can only estimate the scalars of a moment in general;
(2)
The successful presentation of the conforming charge–discharge energy estimation that is started from unknown and temporarily decided profiles of the OCV and R assumed as the clutter of aggregated LIBs, including reused ones;
(3)
The experimental confirmation of the validity of the recursive references of the estimated SOC, OCV, and R of the combined method of the Kalman filter and profile-graph deformation, which was designed for charge–discharge energy estimation.
In our future work, we aim to apply this method to the efficient operation of aggregated LIBs for the establishment of a system for the maximization of economic gain and renewable energy use.

Author Contributions

Conceptualization, M.A. and M.F.; methodology, M.A., L.L. and M.F.; software, M.A.; validation, M.A.; formal analysis, M.A.; investigation, M.A.; resources, M.A.; data curation, M.A.; writing—original draft preparation, M.A.; writing—review and editing, M.A. and M.F.; visualization, M.A.; supervision, M.F.; project administration, M.A. All authors have read and agreed to the published version of the manuscript.

Funding

This research study received no external funding.

Institutional Review Board Statement

Not applicable.

Informed Consent Statement

Not applicable.

Data Availability Statement

Not applicable.

Conflicts of Interest

The authors declare no conflict of interest.

References

  1. IRENA. Renewable Capacity Statistics 2022. Available online: https://www.irena.org/publications/2022/Apr/Renewable-Capacity-Statistics-2022 (accessed on 18 April 2022).
  2. CAISO. What the Duck Curve Tells Us about Managing a Green Grid. Available online: https://www.caiso.com/documents/flexibleresourceshelprenewables_fastfacts.pdf (accessed on 18 April 2022).
  3. Long, C.; Wu, J.; Zhou, Y.; Jenkins, N. Peer-to-peer energy sharing through a two-stage aggregated battery control in a community Microgrid. Appl. Energy 2018, 226, 261–276. [Google Scholar] [CrossRef]
  4. Ahmadi, L.; Young, S.B.; Fowler, M.; Roydon Fraser, R.A.; Achachlouei, M.A. A cascaded life cycle: Reuse of electric vehicle lithium-ion battery packs in energy storage systems. Int. J. Life Cycle Assess. 2017, 22, 111–124. [Google Scholar] [CrossRef]
  5. Project of IEC 63330 ED1. Available online: https://www.iec.ch/dyn/www/f?p=103:38:406952708737813::::FSP_ORG_ID,FSP_APEX_PAGE,FSP_PROJECT_ID:1290,23,104072# (accessed on 18 April 2022).
  6. Ramadass, P.; Haran, B.; White, R.; Popov, B.N. Capacity fade of Sony 18650 cells cycled at elevated temperatures. J. Power Sources 2002, 112, 606–613. [Google Scholar] [CrossRef] [Green Version]
  7. Schmitt, J.; Maheshwari, A.; Heck, M.; Lux, S.; Vetter, M. Impedance change and capacity fade of lithium nickel manganese cobalt oxide-based batteries during calendar aging. J. Power Sources 2017, 353, 183–194. [Google Scholar] [CrossRef]
  8. Farmann, A.; Sauer, D.U. A study on the dependency of the open-circuit voltage on temperature and actual aging state of lithium-ion batteries. J. Power Sources 2017, 347, 1–13. [Google Scholar] [CrossRef]
  9. Liaw, B.Y.; Jungst, R.G.; Nagasubramanian, G.; Case, H.L.; Doughty, D.H. Modeling capacity fade in lithium-ion cells. J. Power Sources 2005, 140, 157–161. [Google Scholar] [CrossRef]
  10. Messing, M.; Shoa, T.; Habibi, S. Estimating battery state of health using electrochemical impedance spectroscopy and the relaxation effect. J. Energy Storage 2021, 43, 103210. [Google Scholar] [CrossRef]
  11. Liu, D.; Zhou, J.; Liao, H.; Peng, Y.; Peng, X. A Health Indicator Extraction and Optimization Framework for Lithium-Ion Battery Degradation Modeling and Prognostics. IEEE Trans. Syst. Man Cybern. Syst. 2015, 45, 915–928. [Google Scholar] [CrossRef]
  12. Naha, A.; Han, A.; Agarwal, S.; Guha, A.; Khandelwal, A.; Tagade, P.; Hariharan, K.S.; Kolake, S.M.; Yoon, J.; Oh, B. An Incremental Voltage Difference Based Technique for Online State of Health Estimation of Li-ion Batteries. Sci. Rep. 2020, 10, 9526. [Google Scholar] [CrossRef]
  13. Zheng, L.; Zhu, J.; Lu, D.D.-C.; Wang, G.; He, T. Incremental capacity analysis and differential voltage analysis based state of charge and capacity estimation for lithium-ion batteries. Energy 2018, 150, 759–769. [Google Scholar] [CrossRef]
  14. Honkura, K.; Takahashi, K.; Horiba, T. Capacity-fading prediction of lithium-ion batteries based on discharge curves analysis, J. Power Sources 2011, 196, 10141–10147. [Google Scholar] [CrossRef]
  15. Fujita, Y.; Sugiyama, N.; Ishii, E.; Morita, T. Introduction of Charging Curves Analysis Technologies for Diagnosis and Control of Lithium ion Batteries. In Proceedings of the 19th International Meeting on Lithium Batteries, Kyoto, Japan, 17–22 June 2018; Available online: http://www.imlb2018.org/pdf/a11_2554265.pdf (accessed on 30 May 2022).
  16. Lai, X.; Yi, W.; Cui, Y.; Qin, C.; Han, X.; Sun, T.; Zhou, L.; Zheng, Y. Capacity estimation of lithium-ion cells by combining model-based and data-driven methods based on a sequential extended Kalman filter. Energy 2020, 216, 119233. [Google Scholar] [CrossRef]
  17. Chen, L.; Lü, Z.; Lin, W.; Li, J.; Pan, H. A new state-of-health estimation method for lithium-ion batteries through the intrinsic relationship between ohmic internal resistance and capacity. Measurement 2017, 116, 586–595. [Google Scholar] [CrossRef]
  18. Eddahech, A.; Briat, O.; Bertrand, N.; Delétage, J.-Y.; Vinassa, J.-M. Behavior and state-of-health monitoring of Li-ion batteries using impedance spectroscopy and recurrent neural networks. Int. J. Electr. Power Energy Syst. 2012, 42, 487–494. [Google Scholar] [CrossRef]
  19. Zhang, Y.; Xiong, R.; He, H.; Pecht, M.G. Long Short-Term Memory Recurrent Neural Network for Remaining Useful Life Prediction of Lithium-Ion Batteries. IEEE Trans. Veh. Technol. 2018, 67, 5695–5705. [Google Scholar] [CrossRef]
  20. Redondo-Iglesias, E.; Venet, P.; Pelissier, S. Efficiency Degradation Model of Lithium-Ion Batteries for Electric Vehicles. IEEE Trans. Ind. Appl. 2019, 55, 1932–1940. [Google Scholar] [CrossRef] [Green Version]
  21. Eftekhari, A. Energy efficiency: A critically important but neglected factor in battery research. Sustain. Energy Fuels 2017, 1, 2053–2060. [Google Scholar] [CrossRef]
  22. Arima, M.; Lin, L.; Fukui, M. Case study of photovoltaic energy surplus absorption by charging lithium-ion batteries considering charge-discharge energy efficiency. In Proceedings of the 2019 IEEE 9th International Conference on Consumer Electronics (ICCE-Berlin), Berlin, Germany, 8–11 September 2019. [Google Scholar] [CrossRef]
  23. Hou, Q.; Yu, Y.; Du, E.; He, H.; Zhang, N.; Kang, C.; Liu, G.; Zhu, H. Embedding scrapping criterion and degradation model in optimal operation of peak-shaving lithium-ion battery energy storage. Appl. Energy 2020, 278, 115601. [Google Scholar] [CrossRef]
  24. Arima, M.; Lin, L.; Fukui, M. Three degradation parameters estimation of a LIB module using single indicator for in-situ charge-discharge energy prediction. In Proceedings of the 2018 IEEE International Telecommunications Energy Conference (INTELEC), Turino, Italy, 7–11 October 2018. [Google Scholar] [CrossRef]
  25. Pastor-Fernández, C.; Yu, T.F.; Widanage, W.D.; Marco, J. Critical review of non-invasive diagnosis techniques for quantification of degradation modes in lithium-ion batteries. Renew. Sustain. Energy Rev. 2019, 109, 138–159. [Google Scholar] [CrossRef]
  26. Birkl, C.R.; McTurk, E.; Roberts, M.R.; Bruce, P.G.; Howey, D.A. A Parametric Open Circuit Voltage Model for Lithium Ion Batteries. J. Electrochem. Soc. 2015, 162, A2271–A2280. [Google Scholar] [CrossRef] [Green Version]
  27. Plett, G.L. Extended Kalman filtering for battery management systems of LiPB-based HEV battery packs: Part 2. Modeling and identification. J. Power Sources 2004, 134, 262–276. [Google Scholar] [CrossRef]
  28. Baba, A.; Adachi, S. SOC Estimation of HEV/EV Battery Using Series Kalman Filter. Electr. Eng. Jpn. 2014, 187, 53–62. [Google Scholar] [CrossRef]
  29. Haus, B.; Mercorelli, P. Polynomial Augmented Extended Kalman Filter to Estimate the State of Charge of Lithium-Ion Batteries. IEEE Trans. Veh. Technol. 2020, 69, 1452–1463. [Google Scholar] [CrossRef]
  30. Secondary Cells and Batteries Containing Alkaline or Other Non-Acid Electrolytes—Secondary Lithium Cells and Batteries for Use in Industrial Applications. In IEC62620:2014; International Electrotechnical Commission: Geneva, Switzerland, 2014.
  31. Wilhelm, J.; Seidlmayer, S.; Keil, P.; Schuster, J.; Kriele, A.; Gilles, R.; Jossen, A. Cycling capacity recovery effect: A coulombic efficiency and post-mortem study. J. Power Sources 2017, 365, 327–338. [Google Scholar] [CrossRef]
  32. Arima, M.; Lin, L.; Fukui, M. Quasi-Unsupervised Learning of Open Circuit Voltage Profiles for Efficiency Degradation Diagnosis in Operation. In Proceedings of the 2021 International Symposium on Advanced Technologies and Applications in the Internet of Things, Kusatsu, Japan, 23–24 August 2021; pp. 108–115. [Google Scholar]
  33. Lin, L.; Kawarabayashi, N.; Fukui, M.; Tsukiyama, S.; Shirakawa, I. A Practical and Accurate SOC Estimation System for Lithium-Ion Batteries by EKF. In Proceedings of the 2014 IEEE Vehicle Power and Propulsion Conference (VPPC 2014), Coimbra, Portugal, 27–30 October 2014; pp. 1–6. [Google Scholar] [CrossRef]
  34. Szumanowski, A.; Chang, Y. Battery Management System Based on Battery Nonlinear Dynamics Modeling. IEEE Trans. Veh. Technol. 2008, 57, 1425–1432. [Google Scholar] [CrossRef]
  35. Bridgewater, G.; Capener, M.J.; Brandon, J.; Lain, M.J.; Copley, M.; Kendrick, E. A Comparison of Lithium-Ion Cell Performance across Three Different Cell Formats. Batteries 2021, 7, 38. [Google Scholar] [CrossRef]
  36. Kim, H.-K.; Kim, C.-J.; Kim, C.-W.; Lee, K.-J. Numerical analysis of accelerated degradation in large lithium-ion batteries. Comput. Chem. Eng. 2018, 112, 82–91. [Google Scholar] [CrossRef]
  37. Bloom, I.; Jansen, A.N.; Abraham, D.P.; Knuth, J.; Jones, S.A.; Battaglia, V.S.; Henriksen, G.L. Differential voltage analyses of high-power, lithium-ion cells: 1. Technique and application. J. Power Sources 2005, 139, 295–303. [Google Scholar] [CrossRef]
  38. Smith, A.J.; Burns, J.C.; Dahn, J.R. High-Precision Differential Capacity Analysis of LiMn2O4/graphite Cells. Electrochem. Solid-State Lett. 2011, 14, A39–A41. [Google Scholar] [CrossRef]
  39. Kobayashi, Y.; Kobayashi, T.; Shono, K.; Ohno, Y.; Mita, Y.; Miyashiro, H. Decrease in Capacity in Mn-Based/Graphite Commercial Lithium-Ion Batteries: I. Imbalance Proof of Electrode Operation Capacities by Cell Disassembly. J. Electrochem. Soc. 2013, 160, A1181–A1186. [Google Scholar] [CrossRef]
Figure 1. Image of profile-graph deformation.
Figure 1. Image of profile-graph deformation.
Sensors 22 05156 g001
Figure 2. Equivalent circuit model of an LIB.
Figure 2. Equivalent circuit model of an LIB.
Sensors 22 05156 g002
Figure 3. Flow chart of this experiment and data of input and output.
Figure 3. Flow chart of this experiment and data of input and output.
Sensors 22 05156 g003
Figure 4. Measuring instruments (power regeneration cycler and thermal chamber).
Figure 4. Measuring instruments (power regeneration cycler and thermal chamber).
Sensors 22 05156 g004
Figure 5. Relationships between the combination conditions of learning rate L and rough range of graph deformation σ , and error indices I m a e r . Magenta-colored dots show best accuracy of each condition of L , and red-colored dot shows the best accuracy of overall conditions.
Figure 5. Relationships between the combination conditions of learning rate L and rough range of graph deformation σ , and error indices I m a e r . Magenta-colored dots show best accuracy of each condition of L , and red-colored dot shows the best accuracy of overall conditions.
Sensors 22 05156 g005
Figure 6. Representations of initial V ^ o c ( S o c ) references separately generated by K s e p , 1 and K s e p , 2 . (a) The case of Equation (30). (b) The case of Equation (31).
Figure 6. Representations of initial V ^ o c ( S o c ) references separately generated by K s e p , 1 and K s e p , 2 . (a) The case of Equation (30). (b) The case of Equation (31).
Sensors 22 05156 g006
Figure 7. Charge–discharge energy estimation error indices I m a e r corresponding to various values of K s e p , 1 and K s e p , 2 . (a) The case of fast condition ( L = 10 2.3 ,   σ = 0.015 ). (b) The case of medium condition ( L = 10 3.45 ,   σ = 0.19 ). (c) The case of slow condition ( L = 10 4.4 ,   σ = 0.95 ).
Figure 7. Charge–discharge energy estimation error indices I m a e r corresponding to various values of K s e p , 1 and K s e p , 2 . (a) The case of fast condition ( L = 10 2.3 ,   σ = 0.015 ). (b) The case of medium condition ( L = 10 3.45 ,   σ = 0.19 ). (c) The case of slow condition ( L = 10 4.4 ,   σ = 0.95 ).
Sensors 22 05156 g007
Figure 8. Results of charge–discharge energy estimation starting from incorrect initial OCV profile generated from Equation (32). (a) The case of K s e p , 1 = 0.8 and K s e p , 2 = 0.2 . (b) The case of K s e p , 1 = 0.8 and K s e p , 2 = 1.8 . (c) The case of K s e p , 1 = 1.2 and K s e p , 2 = 0.2 . (d) The case of K s e p , 1 = 1.2 and K s e p , 2 = 1.8 . (e) The case of K s e p , 1 = K s e p , 2 = 1 , that is, the estimation was started from the correct initial OCV profile.
Figure 8. Results of charge–discharge energy estimation starting from incorrect initial OCV profile generated from Equation (32). (a) The case of K s e p , 1 = 0.8 and K s e p , 2 = 0.2 . (b) The case of K s e p , 1 = 0.8 and K s e p , 2 = 1.8 . (c) The case of K s e p , 1 = 1.2 and K s e p , 2 = 0.2 . (d) The case of K s e p , 1 = 1.2 and K s e p , 2 = 1.8 . (e) The case of K s e p , 1 = K s e p , 2 = 1 , that is, the estimation was started from the correct initial OCV profile.
Sensors 22 05156 g008
Figure 9. Transition of estimated OCV and dV/dQ profiles. OCV profiles were estimated using the Kalman filter and graph deformation during each cycle. dV/dQ profiles were calculated from the approximate functions of OCV profiles. (a) OCV profiles. (b) dV/dQ profiles.
Figure 9. Transition of estimated OCV and dV/dQ profiles. OCV profiles were estimated using the Kalman filter and graph deformation during each cycle. dV/dQ profiles were calculated from the approximate functions of OCV profiles. (a) OCV profiles. (b) dV/dQ profiles.
Sensors 22 05156 g009
Table 1. The details of cycle test of an 8-series LIB module.
Table 1. The details of cycle test of an 8-series LIB module.
Sample Details8-Series LIB Module (NiMnCo Cathode and C Anode)
Typical characteristics29.6 V, 50 Ah, 1.48 kWh
Input and output power1085 W (constant power)
Range of state of chargeFrom 0 to 1, based on the manufacturer’s specification
Range of module voltageFrom 21.6 V to 33.2 V
Charge–discharge cycles700 cycles
Measurement time resolution10 sec
Temperature of cycle testRoom temperature
Table 2. Condition groups of profile-graph deformation speeds.
Table 2. Condition groups of profile-graph deformation speeds.
Condition Group L σ
Slow 10 5 L 10 3.8 0.91 σ 0.99
Medium 10 3.7 L 10 3.2 0.11 σ 0.27
Fast 10 3.1 L 10 1.5 0.01 σ 0.02
Publisher’s Note: MDPI stays neutral with regard to jurisdictional claims in published maps and institutional affiliations.

Share and Cite

MDPI and ACS Style

Arima, M.; Lin, L.; Fukui, M. Kalman-Filter-Based Learning of Characteristic Profiles of Lithium-Ion Batteries. Sensors 2022, 22, 5156. https://doi.org/10.3390/s22145156

AMA Style

Arima M, Lin L, Fukui M. Kalman-Filter-Based Learning of Characteristic Profiles of Lithium-Ion Batteries. Sensors. 2022; 22(14):5156. https://doi.org/10.3390/s22145156

Chicago/Turabian Style

Arima, Masahito, Lei Lin, and Masahiro Fukui. 2022. "Kalman-Filter-Based Learning of Characteristic Profiles of Lithium-Ion Batteries" Sensors 22, no. 14: 5156. https://doi.org/10.3390/s22145156

APA Style

Arima, M., Lin, L., & Fukui, M. (2022). Kalman-Filter-Based Learning of Characteristic Profiles of Lithium-Ion Batteries. Sensors, 22(14), 5156. https://doi.org/10.3390/s22145156

Note that from the first issue of 2016, this journal uses article numbers instead of page numbers. See further details here.

Article Metrics

Back to TopTop