Point-Wise Phase Estimation Method in Fringe Projection Profilometry under Non-Sinusoidal Distortion
Abstract
:1. Introduction
2. Principle
2.1. PSP Method
2.2. Proposed PWPE-NN Method
2.2.1. Dataset Establishment
2.2.2. Neural Network Training and Testing
3. Experiments
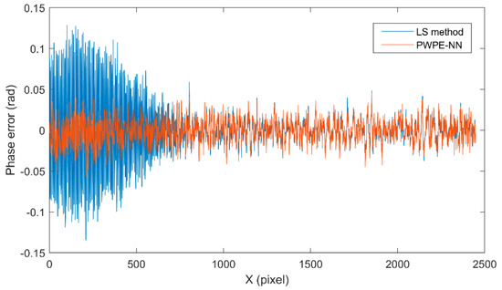
4. Discussion
4.1. Robustness
4.2. Generalization Ability
5. Conclusions
Author Contributions
Funding
Institutional Review Board Statement
Informed Consent Statement
Data Availability Statement
Acknowledgments
Conflicts of Interest
References
- Geng, J. Structured-Light 3D Surface Imaging: A Tutorial. Adv. Opt. Photonics 2011, 3, 128–160. [Google Scholar] [CrossRef]
- Zhang, S. Recent Progresses on Real-Time 3D Shape Measurement Using Digital Fringe Projection Techniques. Opt. Lasers Eng. 2010, 48, 149–158. [Google Scholar] [CrossRef]
- Yu, C.; Ji, F.; Xue, J.; Wang, Y. Adaptive Binocular Fringe Dynamic Projection Method for High Dynamic Range Measurement. Sensors 2019, 19, 4023. [Google Scholar] [CrossRef] [Green Version]
- Zuo, C.; Chen, Q.; Gu, G.; Feng, S.; Feng, F. High-Speed Three-Dimensional Profilometry for Multiple Objects with Complex Shapes. Opt. Express 2012, 20, 19493–19510. [Google Scholar] [CrossRef] [PubMed] [Green Version]
- Su, X.Y.; Chen, W.J. Fourier Transform Profilometry: A Review. Opt. Lasers Eng. 2001, 35, 263–284. [Google Scholar] [CrossRef]
- Huang, P.S.; Zhang, S. Fast Three-Step Phase-Shifting Algorithm. Appl. Opt. 2006, 45, 5086–5091. [Google Scholar] [CrossRef]
- Yin, Z.; Du, Y.; She, P.; He, X.; Yang, F. Generalized 2-Step Phase-Shifting Algorithm for Fringe Projection. Opt. Express 2021, 29, 13141–13152. [Google Scholar] [CrossRef]
- Pan, B.; Kemao, Q.; Huang, L.; Asundi, A. Phase Error Analysis and Compensation for Nonsinusoidal Waveforms in Phase-Shifting Digital Fringe Projection Profilometry. Opt. Lett. 2009, 34, 416–418. [Google Scholar] [CrossRef]
- Guo, H.; He, H.; Chen, M. Gamma Correction for Digital Fringe Projection Profilometry. Appl. Opt. 2004, 43, 2906–2914. [Google Scholar] [CrossRef]
- Ma, S.; Quan, C.; Zhu, R.; Chen, L.; Li, B.; Tay, C.J. A fast and accurate gamma correction based on Fourier spectrum analysis for digital fringe projection profilometry. Opt. Commun. 2012, 285, 533–538. [Google Scholar] [CrossRef]
- Muñoz, A.; Flores, J.L.; Parra-Escamilla, G.; Morales, L.A.; Ordones, S.; Servin, M. Least-squares gamma estimation in fringe projection profilometry. Appl. Opt. 2021, 60, 1137–1142. [Google Scholar] [CrossRef] [PubMed]
- Deng, G.; Wu, S.; Zou, L.; Cao, W.; Han, H. Robust gamma correction based on chord distribution coding considering projector defocusing. Appl. Opt. 2022, 61, 2842–2849. [Google Scholar] [CrossRef] [PubMed]
- Huang, P.S.; Hu, Q.J.; Chiang, F.P. Double three-step phase-shifting algorithm. Appl. Opt. 2002, 41, 4503–4509. [Google Scholar] [CrossRef] [PubMed]
- Li, F.; Chen, W. Phase Error Analysis and Correction for Crossed-Grating Phase-Shifting Profilometry. Sensors 2021, 21, 6475. [Google Scholar] [CrossRef]
- Wang, J.H.; Yang, Y.X. Double N-step phase-shifting profilometry using color-encoded grating projection. Chin. Opt. 2019, 12, 616–627. [Google Scholar] [CrossRef]
- Feng, W.; Tang, S.; Xu, S.; Qu, T.; Zhao, D. Gamma Precorrection and Phase Error Compensation Methods Based on Three-Frequency with Three-Phase Shift. Int. J. Opt. 2021, 2021, 8315101–8315115. [Google Scholar] [CrossRef]
- Wang, Y.; Zhang, S. Three-Dimensional Shape Measurement with Binary Dithered Patterns. Appl. Opt. 2012, 51, 6631–6636. [Google Scholar] [CrossRef]
- Wang, H.; Lin, B.; Zhou, P.; Lai, J. End-to-end pattern optimization technology for 3D shape measurement. Appl. Opt. 2021, 60, 6495–6502. [Google Scholar] [CrossRef]
- Feng, S.; Chen, Q.; Gu, G.; Tao, T.; Zhang, L.; Hu, Y.; Yin, W.; Zuo, C. Fringe Pattern Analysis Using Deep Learning. Adv. Photonics 2019, 1, 025001. [Google Scholar] [CrossRef] [Green Version]
- Hu, W.; Miao, H.; Yan, K.; Fu, Y. A Fringe Phase Extraction Method Based on Neural Network. Sensors 2021, 21, 1664. [Google Scholar] [CrossRef]
- Yan, T.; Wen-Jing, C.; Qiang, Z.; Xian-Yu, S.; Li-Qun, X. BP Neural Network Applied to 3D Object Measurement Based on Fringe Pattern Projection. Optik 2009, 120, 347–350. [Google Scholar] [CrossRef]
- Spoorthi, G.E.; Gorthi, S.; Gorthi, R.K.S.S. PhaseNet: A Deep Convolutional Neural Network for Two-Dimensional Phase Unwrapping. IEEE Signal Process. Lett. 2019, 26, 54–58. [Google Scholar] [CrossRef]
- Cuevas, F.J.; Servin, M.; Rodriguez-Vera, R. Depth Object Recovery Using Radial Basis Functions. Opt. Commun. 1999, 163, 270–277. [Google Scholar] [CrossRef]
- Yang, Y.; Hou, Q.; Li, Y.; Cai, Z.; Liu, X.; Xi, J.; Peng, X. Phase Error Compensation Based on Tree-Net Using Deep Learning. Opt. Lasers Eng. 2021, 143, 106628. [Google Scholar] [CrossRef]
- Kang, X.; Yin, Z.; Dong, S.; Liu, C.; He, X. Evaluating Binary Defocusing Quantitatively in Real-Time for Fringe Projection Profilometry. Opt. Eng. 2021, 60, 064110. [Google Scholar] [CrossRef]








| Trained | Group 1 | Group 2 | Group 3 | Group 4 | |
|---|---|---|---|---|---|
| LS | 4.626 | 3.912 | 5.168 | 5.233 | 8.974 |
| PWPE-NN | 2.3374 | 2.4541 | 2.319 | 2.961 | 3.086 |
Publisher’s Note: MDPI stays neutral with regard to jurisdictional claims in published maps and institutional affiliations. |
© 2022 by the authors. Licensee MDPI, Basel, Switzerland. This article is an open access article distributed under the terms and conditions of the Creative Commons Attribution (CC BY) license (https://creativecommons.org/licenses/by/4.0/).
Share and Cite
Yin, Z.; Liu, C.; Zhang, C.; He, X.; Yang, F. Point-Wise Phase Estimation Method in Fringe Projection Profilometry under Non-Sinusoidal Distortion. Sensors 2022, 22, 4478. https://doi.org/10.3390/s22124478
Yin Z, Liu C, Zhang C, He X, Yang F. Point-Wise Phase Estimation Method in Fringe Projection Profilometry under Non-Sinusoidal Distortion. Sensors. 2022; 22(12):4478. https://doi.org/10.3390/s22124478
Chicago/Turabian StyleYin, Zhuoyi, Cong Liu, Chuang Zhang, Xiaoyuan He, and Fujun Yang. 2022. "Point-Wise Phase Estimation Method in Fringe Projection Profilometry under Non-Sinusoidal Distortion" Sensors 22, no. 12: 4478. https://doi.org/10.3390/s22124478
APA StyleYin, Z., Liu, C., Zhang, C., He, X., & Yang, F. (2022). Point-Wise Phase Estimation Method in Fringe Projection Profilometry under Non-Sinusoidal Distortion. Sensors, 22(12), 4478. https://doi.org/10.3390/s22124478

