Two-Stage Hybrid Model for Efficiency Prediction of Centrifugal Pump
Abstract
1. Introduction
2. Experimental System and Process Analysis
2.1. Experimental System
2.2. Process Mechanism Analysis
2.3. Process Mechanism Analysis
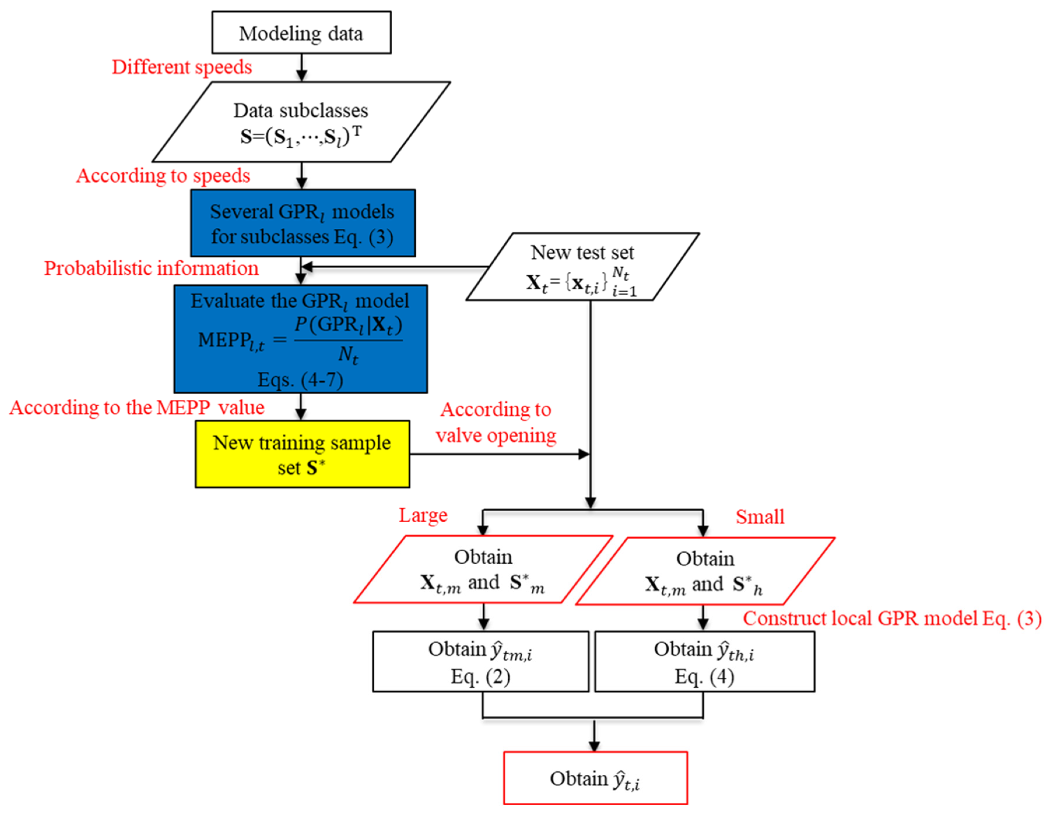
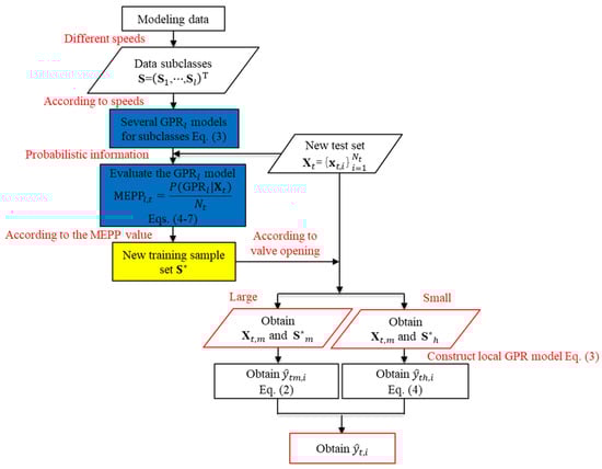
3. Proposed Two-Stage Hybrid Model
3.1. Process Mechanism Analysis
3.2. Stage Modeling Method

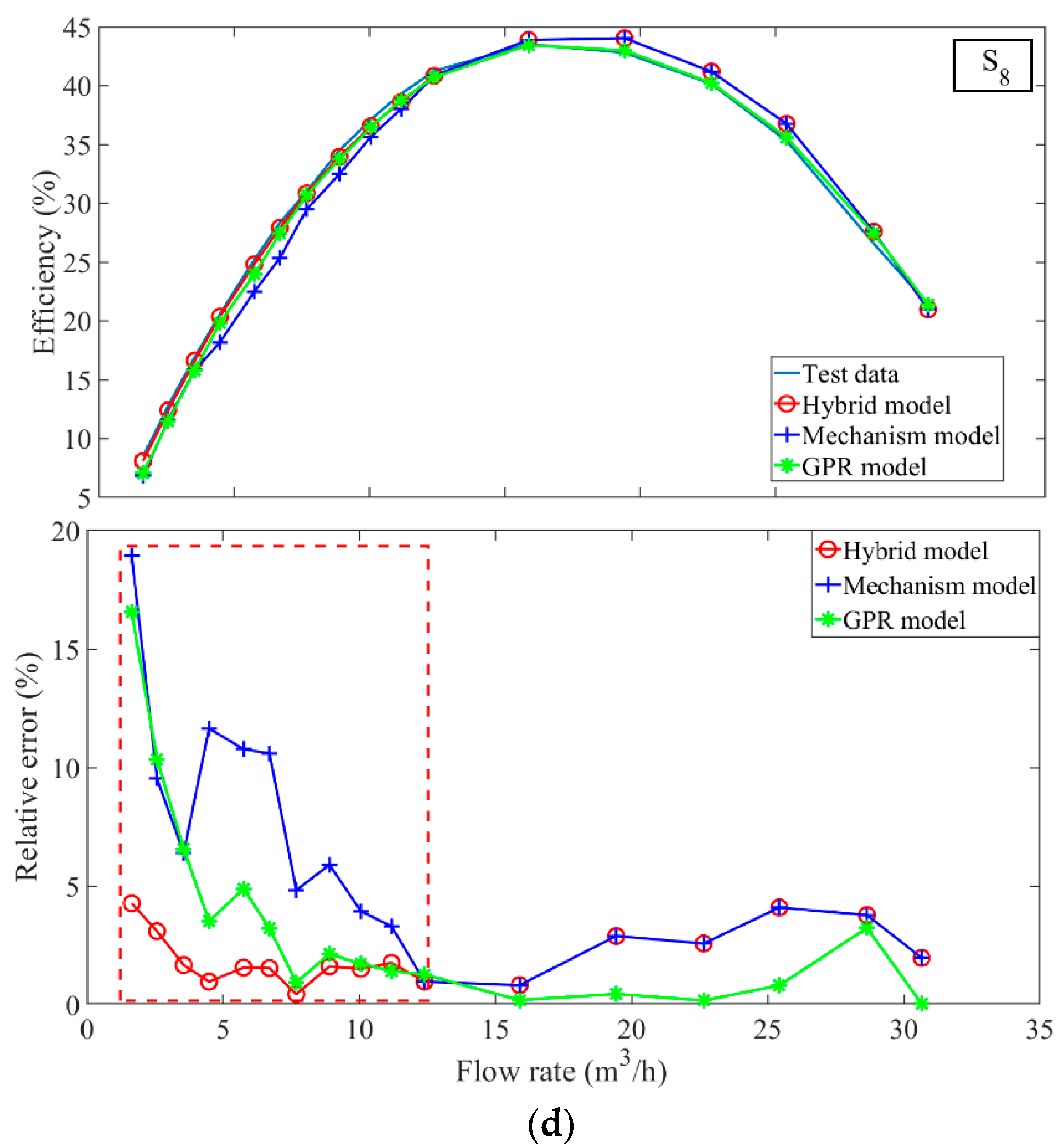
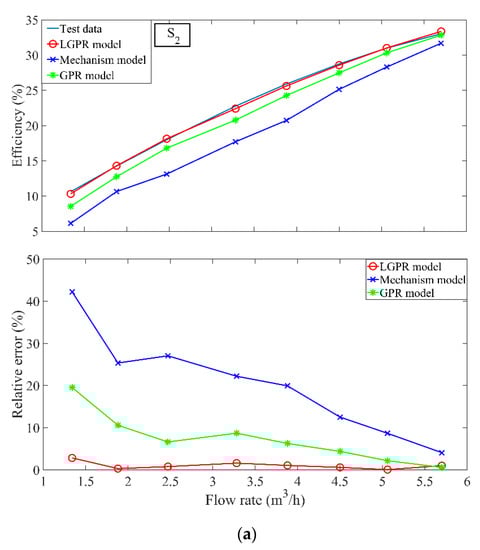
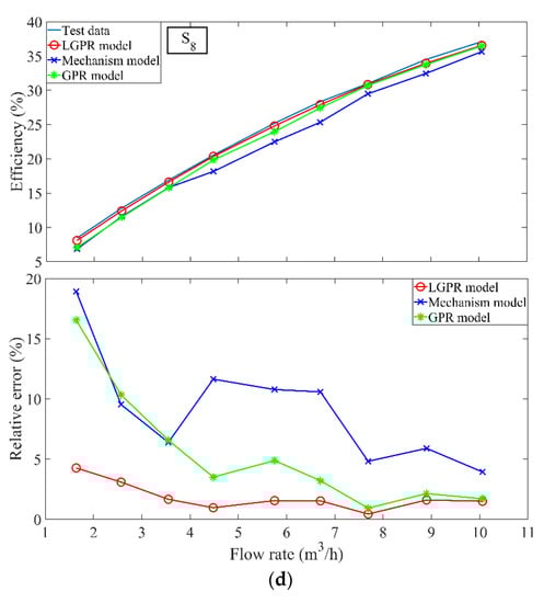
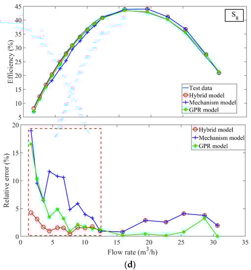
4. Experimental Results and Discussion
5. Conclusions
Author Contributions
Funding
Conflicts of Interest
Abbreviations
| The following abbreviations are used in this paper: | |
| CFD | computational fluid dynamics |
| GPR | gaussian process regression |
| LGPR | local gaussian process regression |
| MARE | maximum absolute relative error |
| MEPP | mean ensemble posterior probability |
| RMSE | root-mean-square error |
| The following symbols are used in this paper: | |
| H | head, m |
| Hp | piping system head, m |
| Hst | static head, m |
| K | dynamic head coefficient |
| N | shaft power, kW |
| n | rated speed, r/min |
| Pd | inlet pressure, MPa |
| Ps | outlet pressure, MPa |
| Q | outlet flow, m3/h |
| V | valve opening,% |
| ρ | density, kg/m3 |
| η | efficiency, % |
References
- Huang, R.; Zhang, Z.; Zhang, W.; Mou, J.; Zhou, P.; Wang, Y. Energy performance prediction of the centrifugal pumps by using a hybrid neural network. Energy 2020, 213, 119005. [Google Scholar] [CrossRef]
- Wu, D.; Huang, H.; Qiu, S.; Liu, Y.; Wu, Y.; Ren, Y.; Mou, J. Application of Bayesian regularization back propagation neural network in sensorless measurement of pump operational state. Energy Rep. 2022, 8, 3041–3050. [Google Scholar] [CrossRef]
- Gong, E.; Wang, N.; You, S.; Wang, Y.; Zhang, H.; Wei, S. Optimal operation of novel hybrid district heating system driven by central and distributed variable speed pumps. Energy Convers. Manag. 2019, 196, 211–226. [Google Scholar] [CrossRef]
- Luo, Y.; Han, Y.; Yuan, S.; Yuan, J. Research on the single-value indicators for centrifugal pump based on vibration signals. Sensors 2020, 20, 3283. [Google Scholar] [CrossRef]
- Ahmed, A.A.; Moharam, B.A.; Rashad, E.E. Improving energy efficiency and economics of motor-pump-system using electric variable-speed drives for automatic transition of working points. Comput. Electr. Eng. 2022, 97, 107607. [Google Scholar] [CrossRef]
- Sárbu, I.; Borza, I. Energetic optimization of water pumping in distribution systems. Period. Polytech.-Chem. 1998, 42, 141–152. [Google Scholar]
- Marchi, A.; Simpson, A.R.; Ertugrul, N. Assessing variable speed pump efficiency in water distribution systems. Drink Water Eng. Sci. 2012, 5, 15–21. [Google Scholar] [CrossRef]
- Wang, Z.; Qian, Z.; Lu, J.; Wu, P. Effects of flow rate and rotational speed on pressure fluctuations in a double-suction centrifugal pump. Energy 2019, 170, 212–227. [Google Scholar] [CrossRef]
- Coelho, B.; Andrade-Campos, A.G. A new approach for the prediction of speed-adjusted pump efficiency curves. J. Hydraul. Res. 2016, 54, 586–593. [Google Scholar] [CrossRef]
- Pérez-Sánchez, M.; López-Jiménez, P.A.; Ramos, H.M. Modified affinity laws in hydraulic machines towards the best efficiency line. Water Resour. Manag. 2018, 32, 829–844. [Google Scholar] [CrossRef]
- Georgescu, A.M.; Cosoiu, C.I.; Perju, S.; Georgescu, S.C.; Hasegan, L.; Anton, A. Estimation of the efficiency for variable speed pumps in EPANET compared with experimental data. Procedia Eng. 2014, 89, 1404–1411. [Google Scholar] [CrossRef]
- Capponi, C.; Ferrante, M.; Pedroni, M.; Brunone, B.; Meniconi, S.; Zaghini, M.; Leoni, F. Real data analysis and efficiency of the TEA Mantova Casale (Italy) variable-speed pumping station. Procedia Eng. 2014, 70, 248–255. [Google Scholar] [CrossRef][Green Version]
- Simpson, A.R.; Marchi, A. Evaluating the approximation of the affinity laws and improving the efficiency estimate for variable speed pumps. J. Hydraul. Eng.-ASCE 2013, 139, 1314–1317. [Google Scholar] [CrossRef]
- Shankar, V.K.A.; Umashankar, S.; Paramasivam, S.; Hanigovszki, N. A comprehensive review on energy efficiency enhancement initiatives in centrifugal pumping system. Appl. Energy 2016, 181, 495–513. [Google Scholar] [CrossRef]
- Suh, S.H.; Kim, K.W.; Kim, H.H.; Yoon, I.S.; Cho, M.T. A study on energy saving rate for variable speed condition of multistage centrifugal pump. J. Therm. Sci. 2015, 24, 566–573. [Google Scholar] [CrossRef]
- Song, Y.; Zhao, J. Operating characteristics of the variable frequency speed-regulating system for a single pump in a closed system. Build. Serv. Eng. Res. Technol. 2017, 38, 309–317. [Google Scholar] [CrossRef]
- Agarwal, R.; Patil, A.; Morrison, G. Efficiency prediction of centrifugal pump using the modified affinity laws. J. Energ. Res. Technol. 2020, 142, 032102. [Google Scholar] [CrossRef]
- Cao, Z.; Deng, J.; Zhao, L.; Lu, L. Numerical research of pump-as-turbine performance with synergy analysis. Processes 2021, 9, 1031. [Google Scholar] [CrossRef]
- Deng, H.; Liu, Y.; Li, P.; Zhang, S. Hybrid model for discharge flow rate prediction of reciprocating multiphase pumps. Adv. Eng. Softw. 2018, 124, 53–65. [Google Scholar] [CrossRef]
- Chen, L.; Wei, L.; Wang, Y.; Wang, J.; Li, W. Monitoring and predictive maintenance of centrifugal pumps based on smart sensors. Sensors 2022, 22, 2106. [Google Scholar] [CrossRef]
- Ahmad, Z.; Nguyen, T.K.; Ahmad, S.; Nguyen, C.D.; Kim, J.M. Multistage centrifugal pump fault diagnosis using informative ratio principal component analysis. Sensors 2021, 22, 179. [Google Scholar] [CrossRef]
- Jiang, Y.; Jia, J.; Li, Y.; Kou, Y.; Sun, S. Prediction of gas-liquid two-phase choke flow using Gaussian process regression. Flow Meas. Instrum. 2021, 81, 102044. [Google Scholar] [CrossRef]
- Kumar, P.S.; Kumaraswamidhas, L.A.; Laha, S.K. Selection of efficient degradation features for rolling element bearing prognosis using Gaussian Process Regression method. ISA Trans. 2021, 112, 386–401. [Google Scholar] [CrossRef] [PubMed]
- Ye, G.Y.; Xu, K.J.; Wu, W.K. Multivariable modeling of valve inner leakage acoustic emission signal based on Gaussian process. Mech. Syst. Signal Process. 2020, 140, 106675. [Google Scholar] [CrossRef]
- Lyu, L.; Chen, Z.; Yao, B. Advanced valves and pump coordinated hydraulic control design to simultaneously achieve high accuracy and high efficiency. IEEE. Control Syst Technol. 2021, 29, 236–248. [Google Scholar] [CrossRef]
- Zhong, Q.; Wang, X.; Zhou, H.; Xie, G.; Hong, H.; Li, Y.; Yang, H. Investigation into the adjustable dynamic characteristic of the high-speed on/off valve with an advanced pulse width modulation control algorithm. IEEE/ASME Trans. Mechatron. 2021, 1–14. [Google Scholar] [CrossRef]
- Han, W.; Nan, L.; Su, M.; Chen, Y.; Li, R.; Zhang, X. Research on the prediction method of centrifugal pump performance based on a double hidden layer BP neural network. Energies 2019, 12, 2709. [Google Scholar] [CrossRef]
- Deng, H.; Liu, Y.; Li, P.; Zhang, S. Active learning for modeling and prediction of dynamical fluid processes. Chemom. Intell. Lab. Syst. 2018, 183, 11–22. [Google Scholar] [CrossRef]
- Zhou, L.; Wang, Y.; Ge, Z.; Song, Z. Multirate factor analysis models for fault detection in multirate processes. IEEE Trans. Ind. Inform. 2019, 15, 4076–4085. [Google Scholar] [CrossRef]
- Deng, H.; Yang, K.; Liu, Y.; Zhang, S.; Yao, Y. Actively exploring informative data for smart modeling of industrial multiphase flow processes. IEEE Trans. Ind. Inform. 2021, 17, 8357–8366. [Google Scholar] [CrossRef]
- Deng, H.; Liu, Y.; Li, P.; Ma, Y.; Zhang, S. Integrated probabilistic modeling method for transient opening height prediction of check valves in oil-gas multiphase pumps. Adv. Eng. Softw. 2018, 118, 18–26. [Google Scholar] [CrossRef]
- Ahonen, T.; Tamminen, J.; Ahola, J.; Kestila, J. Frequency-converter-based hybrid estimation method for the centrifugal pump operational state. IEEE Trans. Ind. Electron. 2011, 59, 4803–4809. [Google Scholar] [CrossRef]
- Lin, Z.; Yu, H.; Yu, T.; Zhu, Z. Numerical study of solid–liquid two-phase flow and erosion in ball valves with different openings. Adv. Powder Technol. 2022, 33, 103542. [Google Scholar] [CrossRef]
- Rasmussen, C.E.; Williams, C.K.I. Gaussian Processes for Machine Learning; MIT Press: Cambridge, MA, USA, 2006. [Google Scholar]
- Das, S.; Roy, S.; Sambasivan, R. Fast gaussian process regression for big data. Big Data Res. 2018, 14, 12–26. [Google Scholar] [CrossRef]
- Wan, X.; Li, X.; Wang, X.; Yi, X.; Zhao, Y.; He, X.; Huang, M. Water quality prediction model using Gaussian process regression based on deep learning for carbon neutrality in papermaking wastewater treatment system. Environ. Res. 2022, 211, 112942. [Google Scholar] [CrossRef]
- Liu, Y.; Chen, T.; Chen, J. Auto-switch Gaussian process regression-based probabilistic soft sensors for industrial multigrade processes with transitions. Ind. Eng. Chem. Res. 2015, 54, 5037–5047. [Google Scholar] [CrossRef]
- Chen, T.; Ren, J.H. Bagging for Gaussian process regression. Neurocomputing 2009, 72, 1605–1610. [Google Scholar] [CrossRef]
- Zhou, L.; Chen, J.; Song, Z.; Li, G. Recursive Gaussian process regression model for adaptive quality monitoring in batch processes. Math. Prob. Eng. 2015, 2015, 761280. [Google Scholar] [CrossRef]
- Yang, K.; Jin, H.P.; Chen, X.G.; Dai, J.Y.; Wang, L.; Zhang, D.X. Soft sensor development for online quality prediction of industrial batch rubber mixing process using ensemble just-in-time Gaussian process regression models. Chemom. Intell. Lab. Syst. 2016, 155, 170–182. [Google Scholar] [CrossRef]
- Abrantes, R.J.; Mao, Y.W.; Ren, D.D. Rate coefficient function estimation using Gaussian process regression. J. Quant. Spectrosc. Radiat. 2022, 283, 108134. [Google Scholar] [CrossRef]
- Ma, Y.; He, Y.; Wang, L.; Zhang, J. Probabilistic reconstruction for spatiotemporal sensor data integrated with Gaussian process regression. Probabilistic Eng. Mech. 2022, 69, 103264. [Google Scholar] [CrossRef]













| Instrument | Measurement Range | Accuracy |
|---|---|---|
| Magnetic flow sensor | 0~150 m3/h | 0.2% |
| Outlet pressure sensor | 0~4 MPa | 0.05% |
| Inlet pressure sensor | −0.4~0.4 MPa | 0.05% |
| Power meter | Current, Voltage and Power | 0.5% |
| Rotation speed sensor | 0~20,000 r/min | ±1 r/min |
| LGPR Model | GPR Model | Mechanism Model | |
|---|---|---|---|
| 2.79 | 20.02 | 43.26 | |
| 5.27 | 14.65 | 29.91 | |
| 3.12 | 15.06 | 23.82 | |
| 4.72 | 17.12 | 18.62 |
| Hybrid Model | GPR Model | Mechanism Model | |
|---|---|---|---|
| 0.88 | 1.06 | 3.21 | |
| 0.76 | 1.28 | 3.28 | |
| 0.48 | 0.76 | 1.86 | |
| 0.60 | 0.78 | 1.60 |
| Hybrid Model | GPR Model | Mechanism Model | |
|---|---|---|---|
| 32 | 48 | 16 | |
| 32 | 48 | 16 | |
| 35 | 51 | 17 | |
| 35 | 51 | 17 |
Publisher’s Note: MDPI stays neutral with regard to jurisdictional claims in published maps and institutional affiliations. |
© 2022 by the authors. Licensee MDPI, Basel, Switzerland. This article is an open access article distributed under the terms and conditions of the Creative Commons Attribution (CC BY) license (https://creativecommons.org/licenses/by/4.0/).
Share and Cite
Liu, Y.; Xia, Z.; Deng, H.; Zheng, S. Two-Stage Hybrid Model for Efficiency Prediction of Centrifugal Pump. Sensors 2022, 22, 4300. https://doi.org/10.3390/s22114300
Liu Y, Xia Z, Deng H, Zheng S. Two-Stage Hybrid Model for Efficiency Prediction of Centrifugal Pump. Sensors. 2022; 22(11):4300. https://doi.org/10.3390/s22114300
Chicago/Turabian StyleLiu, Yi, Zhaoshun Xia, Hongying Deng, and Shuihua Zheng. 2022. "Two-Stage Hybrid Model for Efficiency Prediction of Centrifugal Pump" Sensors 22, no. 11: 4300. https://doi.org/10.3390/s22114300
APA StyleLiu, Y., Xia, Z., Deng, H., & Zheng, S. (2022). Two-Stage Hybrid Model for Efficiency Prediction of Centrifugal Pump. Sensors, 22(11), 4300. https://doi.org/10.3390/s22114300

