A Sensitive Electrochemical Sensor Based on Sonogel-Carbon Material Enriched with Gold Nanoparticles for Melatonin Determination
Abstract
:1. Introduction
2. Materials and Methods
2.1. Reagents and Solutions
2.2. Instrumentation
2.3. Preparation of Working Electrodes and Sensing Materials
2.3.1. Sonogel-Carbon Synthesis
2.3.2. Preparation of Gold Nanoparticle Solution (AuNPs)
2.3.3. Sonogel-Carbon Modified with Gold Nanoparticles
2.4. Electrochemical Tests and Analytical Applications
2.5. Blood Sample Collection and Processing
3. Results
3.1. Electrochemical Characterization of Sensing Materials
3.2. Analytical Applications of Sensing Materials
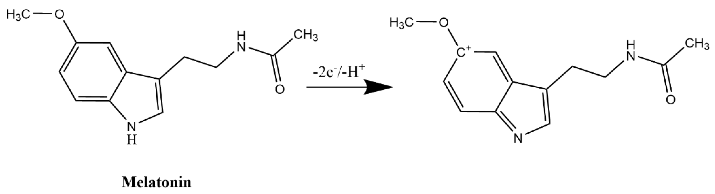
3.2.1. Electrochemical Behavior of Melatonin
3.2.2. Optimization of Experimental Parameters
Effect of pH Supporting Electrolyte
Effect of Working Potential
3.3. Analytical Performances of Sensing Materials
Interference Study
3.4. Recovery Studies
4. Conclusions
Author Contributions
Funding
Institutional Review Board Statement
Informed Consent Statement
Data Availability Statement
Acknowledgments
Conflicts of Interest
References
- Farhadi, N.; Gharghani, M.; Farhadi, Z. Effects of long-term light, darkness and oral administration of melatonin on serum levels of melatonin. Biomed. J. 2016, 39, 81–84. [Google Scholar] [CrossRef] [PubMed] [Green Version]
- Pfeffer, M.; Korf, H.W.; Wicht, H. Synchronizing effects of melatonin on diurnal and circadian rhythms. Gen. Comp. Endocrinol. 2018, 258, 215–221. [Google Scholar] [CrossRef] [PubMed]
- Alzoubi, K.H.; Mayyas, F.A.; Mahafzah, R.; Khabour, O.F. Melatonin prevents memory impairment induced by high-fat diet: Role of oxidative stress. Behav. Brain Res. 2018, 336, 93–98. [Google Scholar] [CrossRef] [PubMed]
- Esteban-Zubero, E.; López-Pingarrón, L.; Alatorre-Jiménez, M.A.; Ochoa-Moneo, P.; Buisac-Ramón, C.; Rivas-Jiménez, M.; Castán-Ruiz, S.; Antoñanzas-Lombarte, A.; Tan, D.X.; García, J.J.; et al. Melatonin’s role as a co-adjuvant treatment in colonic diseases: A review. Life Sci. 2017, 170, 72–81. [Google Scholar] [CrossRef] [PubMed] [Green Version]
- Xie, Z.; Chen, F.; Li, W.A.; Geng, X.; Li, C.; Meng, X.; Feng, Y.; Liu, W.; Yu, F. A review of sleep disorders and melatonin. Neurol. Res. 2017, 39, 559–565. [Google Scholar] [CrossRef] [PubMed]
- Srinivasan, V.; Brzezinski, A.; Perumal, S.R.P.; Spence, D.W.; Cardinali, D.P.; Brown, G.M. Melatonin agonists in primary insomnia and depression-associated insomnia: Are they superior to sedative-hypnotics? Prog. Neuro-Psychopharmacol. Biol. Psychiatry 2011, 35, 913–923. [Google Scholar] [CrossRef] [PubMed] [Green Version]
- Meng, T.; Zheng, Z.H.; Liu, T.T.; Lin, L. Contralateral retinal dopamine decrease and melatonin increase in progression of hemiparkinsonium rat. Neurochem. Res. 2012, 37, 1050–1056. [Google Scholar] [CrossRef]
- Escrivá, L.; Manyes, L.; Barberà, M.; Martínez-Torres, D.; Meca, G. Determination of melatonin in Acyrthosiphon pisum aphids by liquid chromatography-tandem mass spectrometry. J. Insect. Physiol. 2016, 86, 48–53. [Google Scholar] [CrossRef]
- Zhao, H.; Wang, Y.; Yuan, B.; Liu, S.; Man, S.; Xu, H.; Lu, X. A novel LC-MS/MS assay for the simultaneous determination of melatonin and its two major metabolites, 6-hydroxymelatonin and 6-sulfatoxymelatonin in dog plasma: Application to a pharmacokinetic study. J. Pharm. Biomed. Anal. 2016, 117, 390–397. [Google Scholar] [CrossRef]
- Martins, L.G.; Khalil, N.M.; Mainardes, R.M. Application of a validated HPLC-PDA method for the determination of melatonin content and its release from poly(lactic acid) nanoparticles. J. Pharm. Anal. 2017, 7, 388–393. [Google Scholar] [CrossRef]
- Lu, J.; Lau, C.; Lee, M.K.; Kai, M. Simple and convenient chemiluminescence method for the determination of melatonin. Anal. Chim. Acta 2002, 455, 193–198. [Google Scholar] [CrossRef]
- Oladi, E.; Mohamadi, M.; Shamspur, T.; Mostafavi, A. Spectrofluorimetric determination of melatonin in kernels of four different Pistacia varieties after ultrasound-assisted solid-liquid extraction. Spectrochim. Acta Part A Mol. Biomol. Spectrosc. 2014, 132, 326–329. [Google Scholar] [CrossRef] [PubMed]
- Pola, M.L.; Algarra, M.; Becerra, A.; Hernandez, M. Cyclodextrin enhanced spectrofluorimetric determination of melatonin in pharmaceuticals and urine. Anal. Lett. 2000, 33, 891–903. [Google Scholar] [CrossRef]
- Li, Y.; Cassone, V.M. A simple, specific high-throughput enzyme-linked immunosorbent assay (ELISA) for quantitative determination of melatonin in cell culture medium. Int. Immunopharmacol. 2015, 28, 230–234. [Google Scholar] [CrossRef] [Green Version]
- Patel, B.A. Continuous amperometric detection of co-released serotonin and melatonin from the mucosa in the ileum. Analyst 2008, 133, 516–524. [Google Scholar] [CrossRef]
- Manikandan, P.N.; Dharuman, V. Electrochemical simultaneous sensing of melatonin, dopamine and acetaminophen at platinum doped and decorated alpha iron oxide. Electroanalysis 2017, 29, 1524–1531. [Google Scholar] [CrossRef]
- Zeinali, H.; Bagheri, H.; Monsef-Khoshhesab, Z.; Khoshsafar, H.; Hajian, A. Nanomolar simultaneous determination of tryptophan and melatonin by a new ionic liquid carbon paste electrode modified with SnO2-Co3O4@rGO nanocomposites. Mater. Sci. Eng. C 2017, 71, 386–394. [Google Scholar] [CrossRef]
- Molaakbari, E.; Mostafavi, A.; Beitollahi, H. Simultaneous electrochemical determination of dopamine, melatonin, methionine and caffeine. Sens. Actuators B Chem. 2015, 208, 195–203. [Google Scholar] [CrossRef]
- Camargo, J.R.; Andreotti, I.A.A.; Kalinke, C.; Henrique, J.M.; Bonacin, J.A.; Janegitz, B.C. Waterproof paper as a new substrate to construct a disposable sensor for the electrochemical determination of paracetamol and melatonin. Talanta 2020, 208, 120458. [Google Scholar] [CrossRef]
- Topcu, E.; Kıranşan, K.D. Electrochemical simultaneous sensing of melatonin and ascorbic acid at a novel flexible B-RGO composite paper electrode. Diam. Relat. Mater. 2020, 105, 107811. [Google Scholar] [CrossRef]
- Duan, D.; Ding, Y.; Li, L.; Ma, G. Rapid quantitative detection of melatonin by electrochemical sensor based on carbon nanofibers embedded with FeCo alloy nanoparticles. J. Electroanal. Chem. 2020, 873, 114422. [Google Scholar] [CrossRef]
- Smajdor, J.; Piech, R.; Pięk, M.; Paczosa-Bator, B. Carbon black as a glassy carbon electrode modifier for high sensitive melatonin determination. J. Electroanal. Chem. 2017, 799, 278–284. [Google Scholar] [CrossRef]
- Kumar, N.; Goyal, R.N. Nanopalladium grained polymer nanocomposite based sensor for the sensitive determination of melatonin. Electrochim. Acta 2016, 211, 18–26. [Google Scholar] [CrossRef]
- Qu, W.; Wang, F.; Hu, S.; Cui, D. Electrocatalytic properties and voltammetric determination of melatonin at a nanostructured film electrode. Microchim. Acta 2005, 150, 109–114. [Google Scholar] [CrossRef]
- García-Guzmán, J.J.; Hernández-Artiga, M.P.; Palacios-Ponce de León, L.; Bellido-Milla, D. Selective methods for polyphenols and sulphur dioxide determination in wines. Food Chem. 2015, 182, 47–54. [Google Scholar] [CrossRef] [PubMed]
- Naranjo-Rodriguez, I.; Domínguez, M.; Hernández-Artiga, M.P.; Bellido-Milla, D.; Hidalgo-Hidalgo de Cisneros, J.L. A third-generation hydrogen peroxide biosensor based on Horseradish Peroxidase (HRP) enzyme immobilized in a Nafion-Sonogel-Carbon composite. Electrochim. Acta 2008, 53, 7131–7137. [Google Scholar] [CrossRef]
- Attar, A.; Cubillana-Aguilera, L.; Naranjo-Rodriguez, I.; Hidalgo-Hidalgo de Cisneros, J.L.; Palacios-Santander, J.M.; Amine, A. Amperometric inhibition biosensors based on horseradish peroxidase and gold sononanoparticles immobilized onto different electrodes for cyanide measurements. Bioelectrochemistry 2015, 101, 84–91. [Google Scholar] [CrossRef] [PubMed]
- Ajaero, C.; Abdelrahim, M.Y.M.; Palacios-Santander, J.M.; Almoraima Gil, M.A.; Naranjo-Rodríguez, I.; Hidalgo-Hidalgo de Cisneros, J.L.; Cubillana-Aguilera, L. Comparative study of the electrocatalytic activity of different types of gold nanoparticles using Sonogel-Carbon material as supporting electrode. Sens. Actuators B Chem. 2012, 171–172, 1244–1256. [Google Scholar] [CrossRef]
- Bellido-Milla, D.; Cubillana-Aguilera, L.; El Kaoutit, M.; Hernández-Artiga, M.P.; Hidalgo-Hidalgo de Cisneros, J.L.; Naranjo-Rodríguez, I.; Palacios-Santander, J.M. Recent advances in graphite powder-based electrodes. Anal. Bioanal. Chem. 2013, 405, 3525–3539. [Google Scholar] [CrossRef]
- Rahmati, R.; Hemmati, A.; Mohammadi, R.; Hatamie, A.; Tamjid, E.; Simchi, A. Sensitive voltammetric detection of melatonin in pharmaceutical products by highly conductive porous graphene-gold composites. ACS Sustain. Chem. Eng. 2020, 8, 18224–18236. [Google Scholar] [CrossRef]
- Bottari, D.; Pigani, L.; Zanardi, C.; Terzi, F.; Paţurcă, S.V.; Grigorescu, S.D.; Matei, C.; Lete, C.; Lupu, S. Electrochemical sensing of caffeic acid using gold nanoparticles embedded in poly(3,4-ethylenedioxythiophene) layer by sinusoidal voltage. Chemosensors 2019, 7, 65. [Google Scholar] [CrossRef] [Green Version]
- Cubillana-Aguilera, L.M.; Palacios-Santander, J.M.; Naranjo-Rodriguez, I.; Hidalgo-Hidalgo de Cisneros, J.L. Study of the influence of the graphite powder particle size on the structure of the Sonogel-Carbon materials. J. Sol-Gel Sci. Technol. 2006, 40, 55–64. [Google Scholar] [CrossRef]
- Cubillana-Aguilera, L.M.; Franco-Romano, M.; Gil, M.L.A.; Naranjo-Rodriguez, I.; Hidalgo-Hidalgo de Cisneros, J.L.; Palacios-Santander, J.M. New, fast and green procedure for the synthesis of gold nanoparticles based on sonocatalysis. Ultrason. Sonochem. 2011, 18, 789–794. [Google Scholar] [CrossRef] [PubMed]
- Laviron, E. Adsorption, autoinhibition and autocatalysis in polarography and in linear potential sweep voltammetry. J. Electroanal. Chem. 1974, 52, 355–393. [Google Scholar] [CrossRef]
- Levent, A. Electrochemical determination of melatonin hormone using a boron-doped diamond electrode. Diam. Relat. Mater. 2012, 21, 114–119. [Google Scholar] [CrossRef]
- Alpar, N.; Pınar, P.T.; Yardım, Y.; Şentürk, Z. Voltammetric method for the simultaneous determination of melatonin and pyridoxine in dietary supplements using a cathodically pretreated boron-doped diamond electrode. Electroanalysis 2017, 29, 1691–1699. [Google Scholar] [CrossRef]
- Zembrzuska, D.; Kalecki, J.; Cieplak, M.; Lisowski, W.; Borowicz, P.; Noworyta, K.; Sharma, P.S. Electrochemically initiated co-polymerization of monomers of different oxidation potentials for molecular imprinting of electroactive analyte. Sens. Actuators B Chem. 2019, 298, 126884–126893. [Google Scholar] [CrossRef]
- Selvam, S.P.; Hansa, M.; Yun, K. Simultaneous differential pulse voltammetric detection of uric acid and melatonin based on a self-assembled Au nanoparticle–MoS2 nanoflake sensing platform. Sens. Actuators B Chem. 2020, 307, 127683–127694. [Google Scholar] [CrossRef]
- Bagheri, H.; Afkhami, A.; Hashemi, P.; Ghanei, M. Simultaneous and sensitive determination of melatonin and dopamine with Fe3O4 nanoparticle-decorated reduced graphene oxide modified electrode. RSC Adv. 2015, 5, 21659–21669. [Google Scholar] [CrossRef]
- Apetrei, I.M.; Apetrei, C. Voltammetric determination of melatonin using a graphene-based sensor in pharmaceutical products. Int. J. Nanomed. 2016, 11, 1859–1866. [Google Scholar] [CrossRef] [Green Version]
- Freitas, R.C.; Orzari, L.O.; Ferreira, L.M.C.; Paixão, T.R.L.C.; Coltro, W.K.T.; Vicentini, F.C.; Janegitz, B.C. Electrochemical determination of melatonin using disposable self-adhesive inked paper electrode. J. Electroanal. Chem. 2021, 897, 115550–115557. [Google Scholar] [CrossRef]
- Cincotto, F.H.; Carvalho, D.A.S.; Canevari, T.C.; Toma, H.E.; Fatibello-Filho, O.; Moraes, F.C. A nano-magnetic electrochemical sensor for the determination of mood disorder related substances. RSC Adv. 2018, 8, 14040–14047. [Google Scholar] [CrossRef] [Green Version]
- Austin, L.; Hensley, A.L.; Colley, A.R.; Ross, A.E. Real-time detection of melatonin using fast-scan cyclic voltammetry. Anal. Chem. 2018, 90, 8642–8650. [Google Scholar] [CrossRef]
- Castagnola, E.; Woeppel, K.; Golabchi, A.; McGuier, M.; Chodapaneedi, N.; Metro, J.; Mitch Taylor, I.; Tracy Cui, X. Electrochemical detection of exogenously administered melatonin in the brain. Analyst 2020, 145, 2612–2620. [Google Scholar] [CrossRef] [PubMed]
- Rzepka-Migut, B.; Paprocka, J. Melatonin-measurement methods and the factors modifying the results. A systematic review of the literature. Int. J. Environ. Res. Public Health 2020, 17, 1916. [Google Scholar] [CrossRef] [PubMed] [Green Version]












| Sensor | Linear Response Range (μM) | Detection Limit (nM) | Ref. |
|---|---|---|---|
| SnO2-Co3O4@rGO/IL/CPE | 0.02–6 | 4.1 | [17] |
| 3.4′AAZCPE | 0.3–10 | 56 | [18] |
| WP | 0.8–100 | 32.5 | [19] |
| B-RGO | 2.3–2000 | 700 | [20] |
| GBGC | 0.0028–12 | 19 | [22] |
| MIP | 10–80 | 140 | [37] |
| Au-MoS2/GCE | 0.033–10 | 15.7 | [38] |
| Gr-Fe3O4/CPE | 0.02–5.80 | 8.4 | [39] |
| GPH-CSPE | 1–300 | 870 | [40] |
| Gr-AV | 10–100 | 490 | [41] |
| GCE/MagNPs/Cdots | 0.05–13.50 | 4.4 | [42] |
| FSCV | 0.05–10 | 24 | [43] |
| CFEs | 0.1–5 | 38.1 | [44] |
| SNGCE | 0.5–20 | 100.2 | This work |
| SNGCE-AuNPs | 0.02–0.3 | 8.4 | This work |
Publisher’s Note: MDPI stays neutral with regard to jurisdictional claims in published maps and institutional affiliations. |
© 2021 by the authors. Licensee MDPI, Basel, Switzerland. This article is an open access article distributed under the terms and conditions of the Creative Commons Attribution (CC BY) license (https://creativecommons.org/licenses/by/4.0/).
Share and Cite
Lete, C.; López-Iglesias, D.; García-Guzmán, J.J.; Leau, S.-A.; Stanciu, A.E.; Marin, M.; Palacios-Santander, J.M.; Lupu, S.; Cubillana-Aguilera, L. A Sensitive Electrochemical Sensor Based on Sonogel-Carbon Material Enriched with Gold Nanoparticles for Melatonin Determination. Sensors 2022, 22, 120. https://doi.org/10.3390/s22010120
Lete C, López-Iglesias D, García-Guzmán JJ, Leau S-A, Stanciu AE, Marin M, Palacios-Santander JM, Lupu S, Cubillana-Aguilera L. A Sensitive Electrochemical Sensor Based on Sonogel-Carbon Material Enriched with Gold Nanoparticles for Melatonin Determination. Sensors. 2022; 22(1):120. https://doi.org/10.3390/s22010120
Chicago/Turabian StyleLete, Cecilia, David López-Iglesias, Juan José García-Guzmán, Sorina-Alexandra Leau, Adina Elena Stanciu, Mariana Marin, José Maria Palacios-Santander, Stelian Lupu, and Laura Cubillana-Aguilera. 2022. "A Sensitive Electrochemical Sensor Based on Sonogel-Carbon Material Enriched with Gold Nanoparticles for Melatonin Determination" Sensors 22, no. 1: 120. https://doi.org/10.3390/s22010120
APA StyleLete, C., López-Iglesias, D., García-Guzmán, J. J., Leau, S.-A., Stanciu, A. E., Marin, M., Palacios-Santander, J. M., Lupu, S., & Cubillana-Aguilera, L. (2022). A Sensitive Electrochemical Sensor Based on Sonogel-Carbon Material Enriched with Gold Nanoparticles for Melatonin Determination. Sensors, 22(1), 120. https://doi.org/10.3390/s22010120

