Exploring Optimized Spiking Neural Network Architectures for Classification Tasks on Embedded Platforms
Abstract
:1. Introduction
- This work proposes various Deep Convolutional SNNs to classify the privately acquired Korean License plate and KITTI dataset. Moreover, this work proposes deep Convolutional SNNs for MNIST, SVHN, and CIFAR-10 datasets.
- To encounter the overfitting issue during training deep SNNs, this work uses SNN based dropout technique [39] by altering the scale, width, and height parameters of surrogate gradient descent.
- This work evaluates the performances of the SNNs on both the embedded platform (NVIDIA JETSON TX2) and PC in the context of the processing time and inference accuracy w.r.t various datasets (both public and private).
- This work also uses the fewer orders of magnitude in terms of inference time steps (8,10,20) with surrogate gradient descent on customized Deep SNNs to achieve the best results, thereby minimizing the inference energy and time.
2. Spiking Neuron Model
2.1. Leaky-Integrate-and-Fire (LIF) Neurons
2.2. Deep Convolutional Spiking Neural Networks (DCSNNs)
Spiking Convolutional and Pooling Operation
2.3. Deep Convolutional Spiking Neural Networks (DSCSNNs): Spiking ResNet and VGG
3. Training Deep Spiking Neural Networks
3.1. Surrogate Gradient Descent
3.2. Surrogate Gradient Descent for Deeper SNNs
3.3. Dropout in Deep Spiking Neural Network
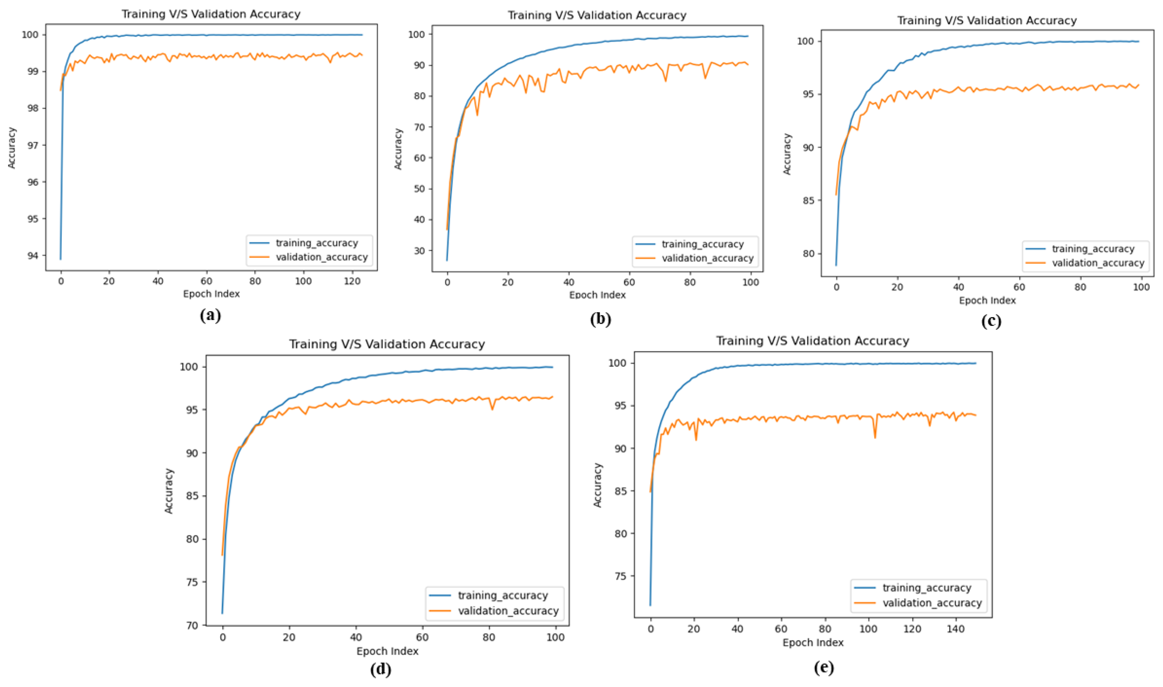
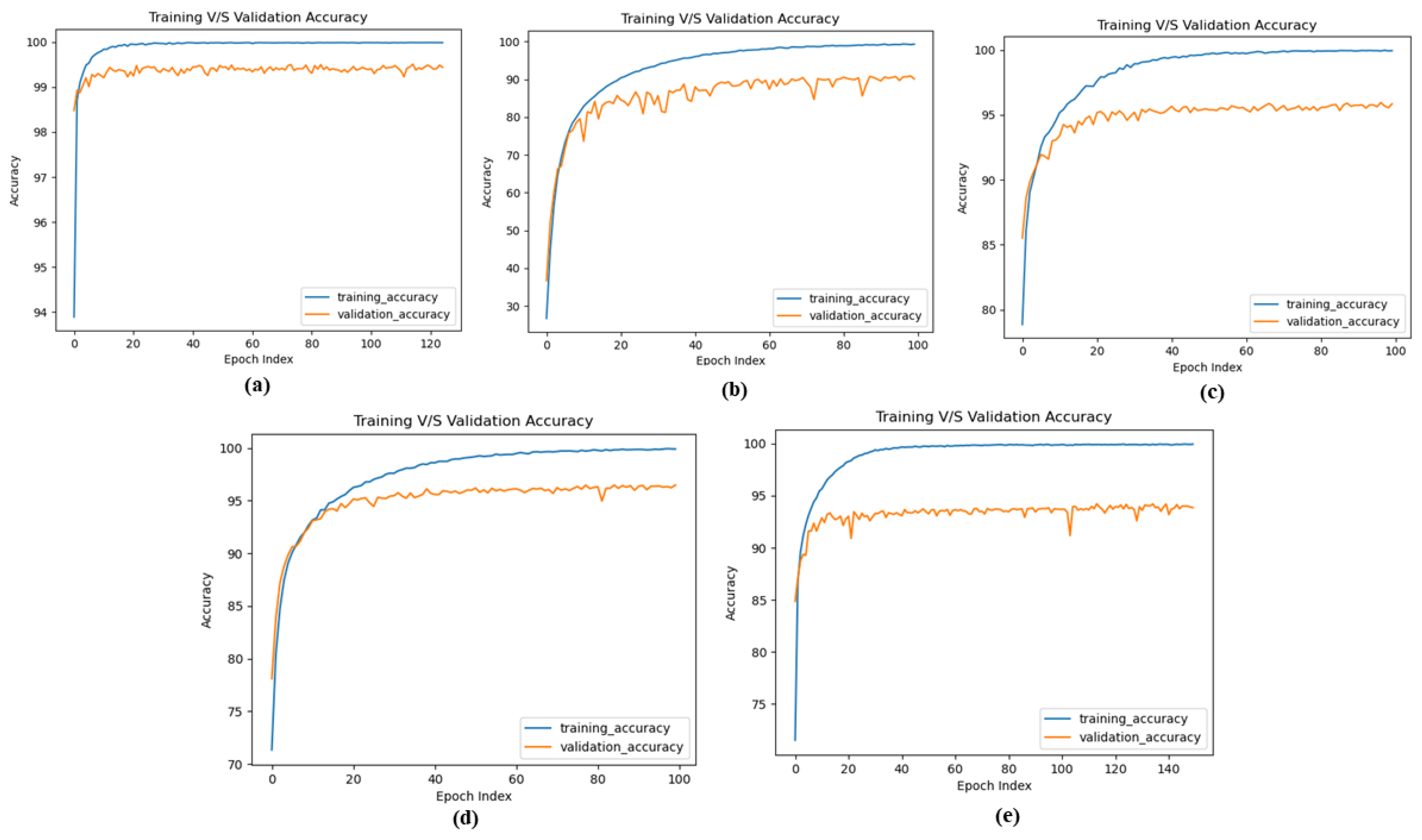
4. Experiments and Results
4.1. Private Data Set
4.2. Public Data Set
4.2.1. Configurations of Network
4.2.2. Comparison of Classification Performance with Related Works
4.2.3. Classification Results by Increasing the Number of Network Layers
4.2.4. Classification Results and Number of Inference Time-Steps
5. Performance Evaluation on Embedded Platform
6. Discussion
7. Conclusions
Author Contributions
Funding
Institutional Review Board Statement
Informed Consent Statement
Data Availability Statement
Conflicts of Interest
References
- Szegedy, C.; Vanhoucke, V.; Ioffe, S.; Shlens, J.; Wojna, Z. Rethinking the inception architecture for computer vision. In Proceedings of the IEEE Conference on Computer Vision and Pattern Recognition, Los Alamitos, CA, USA, 27–30 June 2016; pp. 2818–2826. [Google Scholar]
- Girshick, R.; Donahue, J.; Darrell, T.; Malik, J. Rich feature hierarchies for accurate object detection and semantic segmentation. In Proceedings of the IEEE conference on computer vision and pattern recognition, Columbus, OH, USA, 23–28 June 2014; pp. 580–587. [Google Scholar]
- Senior, A.; Vanhoucke, V.; Nguyen, P.; Sainath, T. Deep neural networks for acoustic modeling in speech recognition. IEEE Signal Process. Mag. 2012, 29, 82–97. [Google Scholar]
- Hassabis, D.; Kumaran, D.; Summerfield, C.; Botvinick, M. Neuroscience-inspired artificial intelligence. Neuron 2017, 95, 245–258. [Google Scholar] [CrossRef] [PubMed] [Green Version]
- Xu, L. An alternative model for mixtures of experts. In Proceedings of the Advances in Neural Information Processing Systems 8, NIPS, Denver, CO, USA, 27–30 November 1995; pp. 633–640. [Google Scholar]
- Ponulak, F.; Kasinski, A. Introduction to spiking neural networks: Information processing, learning and applications. Acta Neurobiol. Exp. 2011, 71, 409–433. [Google Scholar]
- Indiveri, G.; Horiuchi, T.K. Frontiers in neuromorphic engineering. Front. Neurosci. 2011, 5, 118. [Google Scholar] [CrossRef] [PubMed] [Green Version]
- Tayeb, Z.; Fedjaev, J.; Ghaboosi, N.; Richter, C.; Everding, L.; Qu, X.; Wu, Y.; Cheng, G.; Conradt, J. Validating deep neural networks for online decoding of motor imagery movements from EEG signals. Sensors 2019, 19, 210. [Google Scholar] [CrossRef] [PubMed] [Green Version]
- Vanarse, A.; Osseiran, A.; Rassau, A. Real-time classification of multivariate olfaction data using spiking neural networks. Sensors 2019, 19, 1841. [Google Scholar] [CrossRef] [PubMed] [Green Version]
- Vanarse, A.; Espinosa-Ramos, J.I.; Osseiran, A.; Rassau, A.; Kasabov, N. Application of a Brain-Inspired Spiking Neural Network Architecture to Odor Data Classification. Sensors 2020, 20, 2756. [Google Scholar] [CrossRef] [PubMed]
- Lobov, S.; Mironov, V.; Kastalskiy, I.; Kazantsev, V. A spiking neural network in sEMG feature extraction. Sensors 2015, 15, 27894–27904. [Google Scholar] [CrossRef] [PubMed] [Green Version]
- Tan, C.; Ceballos, G.; Kasabov, N.; Puthanmadam Subramaniyam, N. FusionSense: Emotion Classification Using Feature Fusion of Multimodal Data and Deep Learning in a Brain-Inspired Spiking Neural Network. Sensors 2020, 20, 5328. [Google Scholar] [CrossRef]
- Maass, W.; Markram, H. On the computational power of circuits of spiking neurons. J. Comput. Syst. Sci. 2004, 69, 593–616. [Google Scholar] [CrossRef] [Green Version]
- Abbott, L.F. Theoretical neuroscience rising. Neuron 2008, 60, 489–495. [Google Scholar] [CrossRef] [PubMed] [Green Version]
- Hodgkin, A.L.; Huxley, A.F. Currents carried by sodium and potassium ions through the membrane of the giant axon of Loligo. J. Physiol. 1952, 116, 449. [Google Scholar] [CrossRef] [PubMed]
- Brette, R.; Gerstner, W. Adaptive exponential integrate-and-fire model as an effective description of neuronal activity. J. Neurophysiol. 2005, 94, 3637–3642. [Google Scholar] [CrossRef] [Green Version]
- Izhikevich, E.M. Simple model of spiking neurons. IEEE Trans. Neural Netw. 2003, 14, 1569–1572. [Google Scholar] [CrossRef] [PubMed] [Green Version]
- Maass, W. Networks of spiking neurons: The third generation of neural network models. Neural Netw. 1997, 10, 1659–1671. [Google Scholar] [CrossRef]
- Merolla, P.A.; Arthur, J.V.; Alvarez-Icaza, R.; Cassidy, A.S.; Sawada, J.; Akopyan, F.; Jackson, B.L.; Imam, N.; Guo, C.; Nakamura, Y.; et al. A million spiking-neuron integrated circuit with a scalable communication network and interface. Science 2014, 345, 668–673. [Google Scholar] [CrossRef]
- Ankit, A.; Sengupta, A.; Panda, P.; Roy, K. Resparc: A reconfigurable and energy-efficient architecture with memristive crossbars for deep spiking neural networks. In Proceedings of the 54th Annual Design Automation Conference 2017, Austin, TX, USA, 18 June 2017; pp. 1–6. [Google Scholar]
- Davies, M.; Srinivasa, N.; Lin, T.H.; Chinya, G.; Cao, Y.; Choday, S.H.; Dimou, G.; Joshi, P.; Imam, N.; Jain, S.; et al. Loihi: A neuromorphic manycore processor with on-chip learning. IEEE Micro 2018, 38, 82–99. [Google Scholar] [CrossRef]
- Lobov, S.A.; Chernyshov, A.V.; Krilova, N.P.; Shamshin, M.O.; Kazantsev, V.B. Competitive learning in a spiking neural network: Towards an intelligent pattern classifier. Sensors 2020, 20, 500. [Google Scholar] [CrossRef] [Green Version]
- Sengupta, A.; Ye, Y.; Wang, R.; Liu, C.; Roy, K. Going deeper in spiking neural networks: Vgg and residual architectures. Front. Neurosci. 2019, 13, 95. [Google Scholar] [CrossRef]
- Rueckauer, B.; Lungu, I.A.; Hu, Y.; Pfeiffer, M.; Liu, S.C. Conversion of continuous-valued deep networks to efficient event-driven networks for image classification. Front. Neurosci. 2017, 11, 682. [Google Scholar] [CrossRef] [PubMed]
- Bohte, S.M.; Kok, J.N.; La Poutre, H. Error-backpropagation in temporally encoded networks of spiking neurons. Neurocomputing 2002, 48, 17–37. [Google Scholar] [CrossRef] [Green Version]
- Mostafa, H. Supervised learning based on temporal coding in spiking neural networks. IEEE Trans. Neural Networks Learn. Syst. 2017, 29, 3227–3235. [Google Scholar] [CrossRef] [Green Version]
- Kheradpisheh, S.R.; Ganjtabesh, M.; Thorpe, S.J.; Masquelier, T. STDP-based spiking deep convolutional neural networks for object recognition. Neural Networks 2018, 99, 56–67. [Google Scholar] [CrossRef] [Green Version]
- Bing, Z.; Baumann, I.; Jiang, Z.; Huang, K.; Cai, C.; Knoll, A. Supervised learning in SNN via reward-modulated spike-timing-dependent plasticity for a target reaching vehicle. Front. Neurorobotics 2019, 13, 18. [Google Scholar] [CrossRef] [Green Version]
- Neftci, E.O.; Mostafa, H.; Zenke, F. Surrogate gradient learning in spiking neural networks. IEEE Signal Process. Mag. 2019, 36, 61–63. [Google Scholar] [CrossRef]
- Bellec, G.; Salaj, D.; Subramoney, A.; Legenstein, R.; Maass, W. Long short-term memory and learning-to-learn in networks of spiking neurons. In Proceedings of the 32nd International Conference on Neural Information Processing Systems, Montréal, QC, Canada, 3–8 December 2018; pp. 787–797. [Google Scholar]
- Esser, S.K.; Merolla, P.A.; Arthur, J.V.; Cassidy, A.S.; Appuswamy, R.; Andreopoulos, A.; Berg, D.J.; McKinstry, J.L.; Melano, T.; Barch, D.R.; et al. From the cover: Convolutional networks for fast, energy-efficient neuromorphic computing. Proc. Natl. Acad. Sci. USA 2016, 113, 11441–11446. [Google Scholar] [CrossRef] [Green Version]
- Shrestha, S.B.; Orchard, G. Slayer: Spike layer error reassignment in time. Adv. Neural Inf. Process. Syst. 2018, 31, 1412–1421. [Google Scholar]
- Wu, Y.; Deng, L.; Li, G.; Zhu, J.; Xie, Y.; Shi, L. Direct training for spiking neural networks: Faster, larger, better. In Proceedings of the AAAI Conference on Artificial Intelligence, Palo Alto, CA, USA, 17 July 2019; Volume 33, pp. 1311–1318. [Google Scholar]
- Tavanaei, A.; Ghodrati, M.; Kheradpisheh, S.R.; Masquelier, T.; Maida, A. Deep learning in spiking neural networks. Neural Netw. 2019, 111, 47–63. [Google Scholar] [CrossRef] [Green Version]
- Rathi, N.; Srinivasan, G.; Panda, P.; Roy, K. Enabling deep spiking neural networks with hybrid conversion and spike timing dependent backpropagation. arXiv 2020, arXiv:2005.01807. [Google Scholar]
- Kim, Y.; Panda, P. Revisiting Batch Normalization for Training Low-latency Deep Spiking Neural Networks from Scratch. arXiv 2020, arXiv:2010.01729. [Google Scholar]
- Ledinauskas, E.; Ruseckas, J.; Juršėnas, A.; Buračas, G. Training Deep Spiking Neural Networks. arXiv 2020, arXiv:2006.04436. [Google Scholar]
- Srivastava, N.; Hinton, G.; Krizhevsky, A.; Sutskever, I.; Salakhutdinov, R. Dropout: A simple way to prevent neural networks from overfitting. J. Mach. Learn. Res. 2014, 15, 1929–1958. [Google Scholar]
- Lee, C.; Sarwar, S.S.; Roy, K. Enabling spike-based backpropagation in state-of-the-art deep neural network architectures. arXiv 2019, arXiv:1903.06379. [Google Scholar]
- Putra, R.V.W.; Hanif, M.A.; Shafique, M. SparkXD: A Framework for Resilient and Energy-Efficient Spiking Neural Network Inference using Approximate DRAM. arXiv 2021, arXiv:2103.00421. [Google Scholar]
- Fang, H.; Mei, Z.; Shrestha, A.; Zhao, Z.; Li, Y.; Qiu, Q. Encoding, model, and architecture: Systematic optimization for spiking neural network in FPGAs. In Proceedings of the 2020 IEEE/ACM International Conference On Computer Aided Design (ICCAD), New York, NY, USA, 2–5 November 2020; pp. 1–9. [Google Scholar]
- LeCun, Y.; Bottou, L.; Bengio, Y.; Haffner, P. Gradient-based learning applied to document recognition. Proc. IEEE 1998, 86, 2278–2324. [Google Scholar] [CrossRef] [Green Version]
- Simonyan, K.; Zisserman, A. Very deep convolutional networks for large-scale image recognition. arXiv 2014, arXiv:1409.1556. [Google Scholar]
- He, K.; Zhang, X.; Ren, S.; Sun, J. Deep residual learning for image recognition. In Proceedings of the IEEE Conference on Computer Vision and Pattern Recognition, Las Vegas, NV, USA, 27–30 June 2016; pp. 770–778. [Google Scholar]
- Dayan, P.; Abbott, L.F. Theoretical Neuroscience: Computational and Mathematical Modeling of Neural Systems; Computational Neuroscience Series; The MIT Press: London, UK, 2001. [Google Scholar]
- Diehl, P.U.; Neil, D.; Binas, J.; Cook, M.; Liu, S.C.; Pfeiffer, M. Fast-classifying, high-accuracy spiking deep networks through weight and threshold balancing. In Proceedings of the 2015 International Joint Conference on Neural Networks (IJCNN), Killarney, Ireland, 12–17 July 2015; pp. 1–8. [Google Scholar]
- Cao, Y.; Chen, Y.; Khosla, D. Spiking deep convolutional neural networks for energy-efficient object recognition. Int. J. Comput. Vis. 2015, 113, 54–66. [Google Scholar] [CrossRef]
- Zenke, F.; Ganguli, S. Superspike: Supervised learning in multilayer spiking neural networks. Neural Comput. 2018, 30, 1514–1541. [Google Scholar] [CrossRef] [PubMed]
- Kappel, D.; Habenschuss, S.; Legenstein, R.; Maass, W. Network plasticity as Bayesian inference. PLoS Comput. Biol. 2015, 11, e1004485. [Google Scholar] [CrossRef]
- Kappel, D.; Legenstein, R.; Habenschuss, S.; Hsieh, M.; Maass, W. A dynamic connectome supports the emergence of stable computational function of neural circuits through reward-based learning. Eneuro 2018, 5. [Google Scholar] [CrossRef] [Green Version]
- Neftci, E.O.; Pedroni, B.U.; Joshi, S.; Al-Shedivat, M.; Cauwenberghs, G. Unsupervised learning in synaptic sampling machines. arXiv 2015, arXiv:1511.04484. [Google Scholar]
- Paszke, A.; Gross, S.; Chintala, S.; Chanan, G.; Yang, E.; DeVito, Z.; Lin, Z.; Desmaison, A.; Antiga, L.; Lerer, A. Automatic differentiation in pytorch. In Proceedings of the 31st Conference on Neural Information Processing Systems (NIPS 2017), Long Beach, CA, USA, 4–9 December 2017. [Google Scholar]
- He, K.; Zhang, X.; Ren, S.; Sun, J. Delving deep into rectifiers: Surpassing human-level performance on imagenet classification. In Proceedings of the IEEE International Conference on Computer Vision, Santiago, Chile, 7–13 December 2015; pp. 1026–1034. [Google Scholar]
- Netzer, Y.; Wang, T.; Coates, A.; Bissacco, A.; Wu, B.; Ng, A.Y. Reading digits in natural images with unsupervised feature learning. In Proceedings of the NIPS Workshop on Deep Learning and Unsupervised Feature Learning, Granada, Spain, 12–17 December 2011. [Google Scholar]
- Krizhevsky, A.; Hinton, G. Learning Multiple Layers of Features from Tiny Images; Technical Report TR-2009; University of Toronto: Toronto, ON, Canada, 2009. [Google Scholar]
- Yang, C.; Kim, H.; Adhikari, S.P.; Chua, L.O. A circuit-based neural network with hybrid learning of backpropagation and random weight change algorithms. Sensors 2017, 17, 16. [Google Scholar] [CrossRef] [Green Version]
- Lee, J.H.; Delbruck, T.; Pfeiffer, M. Training deep spiking neural networks using backpropagation. Front. Neurosci. 2016, 10, 508. [Google Scholar] [CrossRef] [PubMed] [Green Version]
- Fang, H.; Shrestha, A.; Zhao, Z.; Qiu, Q. Exploiting neuron and synapse filter dynamics in spatial temporal learning of deep spiking neural network. arXiv 2020, arXiv:2003.02944. [Google Scholar]
- Diehl, P.U.; Cook, M. Unsupervised learning of digit recognition using spike-timing-dependent plasticity. Front. Comput. Neurosci. 2015, 9, 99. [Google Scholar] [CrossRef] [PubMed] [Green Version]
- Srinivasan, G.; Panda, P.; Roy, K. Spilinc: Spiking liquid-ensemble computing for unsupervised speech and image recognition. Front. Neurosci. 2018, 12, 524. [Google Scholar] [CrossRef]
- Brader, J.M.; Senn, W.; Fusi, S. Learning real-world stimuli in a neural network with spike-driven synaptic dynamics. Neural computation 2007, 19, 2881–2912. [Google Scholar] [CrossRef] [PubMed] [Green Version]
- Srinivasan, G.; Panda, P.; Roy, K. Stdp-based unsupervised feature learning using convolution-over-time in spiking neural networks for energy-efficient neuromorphic computing. Acm J. Emerg. Technol. Comput. Syst. 2018, 14, 1–12. [Google Scholar] [CrossRef]
- Bensimon, M.; Greenberg, S.; Haiut, M. Using a Low-Power Spiking Continuous Time Neuron (SCTN) for Sound Signal Processing. Sensors 2021, 21, 1065. [Google Scholar] [CrossRef]
- Tavanaei, A.; Maida, A.S. Bio-inspired spiking convolutional neural network using layer-wise sparse coding and STDP learning. arXiv 2016, arXiv:1611.03000. [Google Scholar]
- Lee, C.; Panda, P.; Srinivasan, G.; Roy, K. Training deep spiking convolutional neural networks with stdp-based unsupervised pre-training followed by supervised fine-tuning. Front. Neurosci. 2018, 12, 435. [Google Scholar] [CrossRef] [PubMed]
- Diehl, P.U.; Zarrella, G.; Cassidy, A.; Pedroni, B.U.; Neftci, E. Conversion of artificial recurrent neural networks to spiking neural networks for low-power neuromorphic hardware. In Proceedings of the 2016 IEEE International Conference on Rebooting Computing (ICRC), San Diego, CA, USA, 17–19 October 2016; pp. 1–8. [Google Scholar]
- Han, B.; Srinivasan, G.; Roy, K. Rmp-snn: Residual membrane potential neuron for enabling deeper high-accuracy and low-latency spiking neural network. In Proceedings of the IEEE/CVF Conference on Computer Vision and Pattern Recognition, Seattle, WA, USA, 13–19 June 2020; pp. 13558–13567. [Google Scholar]












| Variables | Values |
|---|---|
| Training time-steps | 10, 20, 30 |
| Inference time-steps | Same as training time-steps |
| Membrane Potential time constant | 10 |
| Average pooling and stride ratio | 2 × 2 and 2 |
| Batch-size | 8, 16 and 32 |
| Neuron Threshold | 1 and 0.5 |
| Learning rate | 0.0025 to 0.0033 |
| Dropout value | 0.2 to 0.25 |
| Constant value for initialization of weights | 1, 0 |
| Datasets | Image Size | Training Examples | Testing Examples | Classes |
|---|---|---|---|---|
| Korean License Plate | 32 × 32 | 40,000 | 10,000 | 50 |
| KITTI | 32 × 32 | 14,885 | 3722 | 6 |
| MNIST | 28 × 28 | 60,000 | 10,000 | 10 |
| CIFAR-10 | 32 × 32 | 50,000 | 10,000 | 10 |
| SVHN | 32 × 32 | 73,000 | 26,000 | 10 |
| Four-Layer Model | |||
|---|---|---|---|
| Model Layers | Filter Size | Number of Output Feature Maps | Stride |
| Convolutional layer | 1 × 3 × 3 | 32 | 1 |
| Average Pooling Layer | 2 × 2 | 2 | |
| Convolutional Layer | 32 × 3 × 3 | 64 | 1 |
| Average Pooling Layer | 2 × 2 | 2 | |
| Fully Connected Layer | 200 | ||
| Output Layer | 10 | ||
| VGG-6 Model | |||
| Model Layers | Filter Size | Number of Output Feature Maps | Stride |
| Convolutional Layer | 1 × 3 × 3 | 32 | 1 |
| Convolutional Layer | 32 × 3 × 3 | 32 | 1 |
| Average Pooling Layer | 2 × 2 | 2 | |
| Convolutional Layer | 32 × 3 × 3 | 64 | 1 |
| Convolutional Layer | 64 × 3 × 3 | 64 | 1 |
| Average Pooling Layer | 2 × 2 | 2 | |
| Fully Connected Layer | 4096 | ||
| Output Layer | 6 | ||
| ResNet-6 Model | |||
| Model Layers | Filter Size | Number of Output Feature Maps | Stride |
| Convolutional layer | 1 × 3 × 3 | 1 | |
| Average Pooling Layer | 2 × 2 | 32 | 2 |
| Convolutional Layer | 32 × 3 × 3 | 64 | 1 |
| Convolutional layer | 64 × 3 × 3 | 64 | 1 |
| Skip Connection | 32 × 3 × 3 | 64 | 2 |
| Convolutional Layer | 64 × 3 × 3 | 128 | 1 |
| Convolutional Layer | 128 × 3 × 3 | 128 | 2 |
| Skip Connection | 64 × 3 × 3 | 128 | 2 |
| Fully Connected Output Layer | 50 | ||
| VGG-8 Model | |||
|---|---|---|---|
| Model layers | Filter size | Number of output feature maps | Stride |
| Convolutional layer | 32 × 3 × 3 | 64 | 1 |
| Convolutional layer | 64 × 3 × 3 | 64 | 2 |
| Average pooling layer | 2 × 2 | ||
| Convolutional layer | 64 × 3 × 3 | 128 | 1 |
| Convolutional layer | 128 × 3 × 3 | 128 | 1 |
| Average pooling layer | 2 × 2 | 2 | |
| Convolutional layer | 128 × 3 × 3 | 256 | 1 |
| Convolutional layer | 256 × 3 × 3 | 256 | 1 |
| Average pooling layer | 2 × 2 | 2 | |
| Fully connected layer | 1024 | ||
| Output layer | 10 | ||
| VGG-11 Model | |||
| Model layers | Filter size | Number of output feature maps | Stride |
| Convolutional layer | 3 × 3 × 3 | 64 | 1 |
| Convolutional layer | 64 × 3 × 3 | 64 | 1 |
| Average pooling layer | 2 × 2 | 2 | |
| Convolutional layer | 64 × 3 × 3 | 128 | 1 |
| Convolutional layer | 128 × 3 × 3 | 128 | 1 |
| Average pooling layer | 2 × 2 | 2 | |
| Convolutional layer | 128 × 3 × 3 | 256 | 1 |
| Convolutional layer | 256 × 3 × 3 | 256 | 1 |
| Average pooling layer | 2 × 2 | 2 | |
| Convolutional layer | 256 × 3 × 3 | 256 | 1 |
| Convolutional layer | 256 × 3 × 3 | 512 | 1 |
| Average pooling layer | 2 × 2 | 2 | |
| Fully connected layer | 1024 | ||
| Fully connected layer | 1024 | ||
| Output layer | 10 | ||
| VGG-13 Model | |||
| Model layers | Filter Size | Number of Output Feature Maps | Stride |
| Convolutional Layer | 3 × 3 × 3 | 64 | 1 |
| Convolutional Layer | 64 × 3 × 3 | 64 | 2 |
| Average Pooling Layer | 2 × 2 | ||
| Convolutional Layer | 64 × 3 × 3 | 64 | 1 |
| Convolutional Layer | 128 × 3 × 3 | 128 | 1 |
| Average pooling Layer | 2 × 2 | 2 | |
| Convolutional Layer | 128 × 3 × 3 | 128 | 1 |
| Convolutional Layer | 256 × 3 × 3 | 256 | 2 |
| Average Pooling Layer | 2 × 2 | 2 | |
| Convolutional Layer | 256 × 3 × 3 | 256 | 1 |
| Convolutional Layer | 256 × 3 × 3 | 256 | 1 |
| Average pooling Layer | 2 × 2 | 2 | |
| Convolutional Layer | 256 × 3 × 3 | 512 | 1 |
| Convolutional Layer | 512 × 3 × 3 | 512 | 1 |
| Average Pooling Layer | 2 × 2 | 2 | |
| Fully Connected Layer | 1024 | ||
| Fully Connected Layer | 1024 | ||
| Output Layer | 10 | ||
| Model | Learning Techniques | Accuracy MNIST | Accuracy CIFAR-10 |
|---|---|---|---|
| [66] | Offline Learning, conversion | 99.10% | - |
| [24] | Offline Learning, conversion | 99.44% | 88.82% |
| [67] | ANN2SNN | - | 93.63% |
| [23] | Offline Learning, conversion | - | 91.55% |
| [27] | Layer-wise STDP | 98.40% | - |
| [32] | Spike-based BP | 99.36% | - |
| [58] | Spike-based BP | 99.46% | - |
| [39] | Spike-based BP | 99.59% | 90.55% |
| [57] | Spike-based BP | 99.31% | - |
| [33] | Spike-based BP | 99.42% | 50.70% |
| [37] | Backpropagation | 99.40% | 90.20% |
| This Work | Surrogate Gradient Descent | 99.66% | 91.58% |
| Method | MNIST Accuracy | CIFAR-10 Accuracy | Threshold Value | Optimizer | Time Steps | Learning Rate | Batch Size |
|---|---|---|---|---|---|---|---|
| [58] | 99.46% | - | 1 | ADAM | 300 | 0.0001 | 64 |
| [33] | 99.42% | 50.70% | 1.5 | SGD, ADAM | 30 | 0.5 | 100 |
| [23] | - | 91.55% | 1.5 | SGD | 2500 | 0.005 | 256 |
| [37] | 99.40% | 90.20% | 1 | ADAMW | 10, 20, 40 | 0.0005 | 32, 64 |
| [39] | 99.59% | 90.55% | 1 | SGD | 50, 100 | 0.002, 0.003 | 16, 32 |
| Ours | 99.50% | 91.58% | 1 and 0.5 | ADAM, SGD | 8, 10, 15 | 0.00285, 0.0033 | 16, 32, 64 |
| SNN Performance | ANN Performance | ||||||||
|---|---|---|---|---|---|---|---|---|---|
| Dataset | Proposed Model | Accuracy | Processing Time (per Image) | Accuracy | Processing Time (per Image) | ||||
| PC | NVIDIA TX2 | PC | NVIDIA TX2 | PC | NVIDIA TX2 | PC | NVIDIA TX2 | ||
| MNIST | 4-layer SNN | 99.66% | 99.66% | 0.16 ms | 1.93 ms | 99.31% | 99.31% | 0.06 ms | 0.07 ms |
| KITTI | VGG-6 | 95.03% | 99.27% | 3.12 ms | 13.2 ms | 98.01% | 98.01% | 0.10 ms | 0.010 ms |
| License Plate | ResNet-6 | 96.46% | 95.01% | 6.0 ms | 21.0 ms | 93.57% | 94.01% | 0.75 ms | 2.08 ms |
| ResNet-7 | 93.68% | 93.84% | 6.3 ms | 21.5 ms | 94.37% | 94.40% | 0.80 ms | 2.07 ms | |
| SVHN | VGG-8 | 94.01% | 95% | 4.3 ms | 13.5 ms | 93.70% | 93.70% | 0.30 ms | 1.35 ms |
| VGG-9 | 93.68% | 93.68% | 4.5 ms | 13.60 ms | 92.08% | 92.08% | 0.30 ms | 1.40 ms | |
| CIFAR-10 | VGG-11 | 91.25% | 91.25% | 8.2 ms | 23.3 ms | 91.03% | 91.55% | 0.070 ms | 0.15 ms |
| VGG-13 | 91.58% | 91.43% | 11.3 ms | 25.2 ms | 92.08% | 92.50% | 0.80 ms | 0.45 ms | |
Publisher’s Note: MDPI stays neutral with regard to jurisdictional claims in published maps and institutional affiliations. |
© 2021 by the authors. Licensee MDPI, Basel, Switzerland. This article is an open access article distributed under the terms and conditions of the Creative Commons Attribution (CC BY) license (https://creativecommons.org/licenses/by/4.0/).
Share and Cite
Syed, T.; Kakani, V.; Cui, X.; Kim, H. Exploring Optimized Spiking Neural Network Architectures for Classification Tasks on Embedded Platforms. Sensors 2021, 21, 3240. https://doi.org/10.3390/s21093240
Syed T, Kakani V, Cui X, Kim H. Exploring Optimized Spiking Neural Network Architectures for Classification Tasks on Embedded Platforms. Sensors. 2021; 21(9):3240. https://doi.org/10.3390/s21093240
Chicago/Turabian StyleSyed, Tehreem, Vijay Kakani, Xuenan Cui, and Hakil Kim. 2021. "Exploring Optimized Spiking Neural Network Architectures for Classification Tasks on Embedded Platforms" Sensors 21, no. 9: 3240. https://doi.org/10.3390/s21093240

