A Balanced Algorithm for In-City Parking Allocation: A Case Study of Al Madinah City
Abstract
1. Introduction
2. Related Works
2.1. Smart Parking Groups
2.1.1. Parking Reservation Group
2.1.2. Parking Guidance and Information Systems Group
2.2. Algorithms for Smart Parking
3. Parking and Routing Approach
3.1. Methodology
3.1.1. Specifications
3.1.2. Assumptions
- Historical data for parking lots are available;
- Historical data of the traffic congestion on the roads are available;
- GPS position of cars is available;
- Cars, parking-lots, and smart links communicate based on the available wireless network;
- Parking lots are supported by communication and sensing devices;
- Algorithm works based on a given parking area; any parking lot considers a candidate solution;
- The starting point of the car and the entry time to the parking area are defined by the driver.
3.2. Parking and Routing Algorithm
- Minimization criterion: when you prefer to look for a minimum parking fee, this can be implemented by
- Maximization criterion: when you prefer to look for a maximum parking availability (# empty spots), this can be implemented by
- Accumulated path congestion;
- Waiting time at the parking gates;
- Driving distance to the parking area;
- Parking availability;
- Parking fee.
- The starting point and the arrival time to the destination point are given;
- Predicting the availability of the parking spots in the parking lots based on historical data;
- Predicting the minimum congestion path value to the parking lot based on historical data;
- Evaluating the objective function for each parking spot after point 2 and point 3;
- Selecting the parking spot with highest objective function.
3.2.1. Queueing Model for the Availability Objective
- Arrival rate and service rate ;
- State of the empty spots in the parking lot at time ;
- Driving duration from the starting point to the parking spot is ;
- Estimating the empty spots at in the parking lot can be represented by Markov process with continuous time discrete state, as in Figure 4, where the number of empty spots at time t or the state of the queue is , and the transition probability of finding empty spots is . By assuming that the process is homogeneous, this leads to an independent transition probability to the start time t, and its value is . Based on the queueing model described in [13,41], the probability can be expressed by , where Q represents the transition probability matrix and its value is
3.2.2. Pseudo Code
- Stage one: contains the simulation setting of the algorithm, such as initialization of the variables, congestion rates for the main roads, loads at the gates of the parking lots, distances between the junctions and the parking gates, arrival and service rates, and the availability of the parking spots;
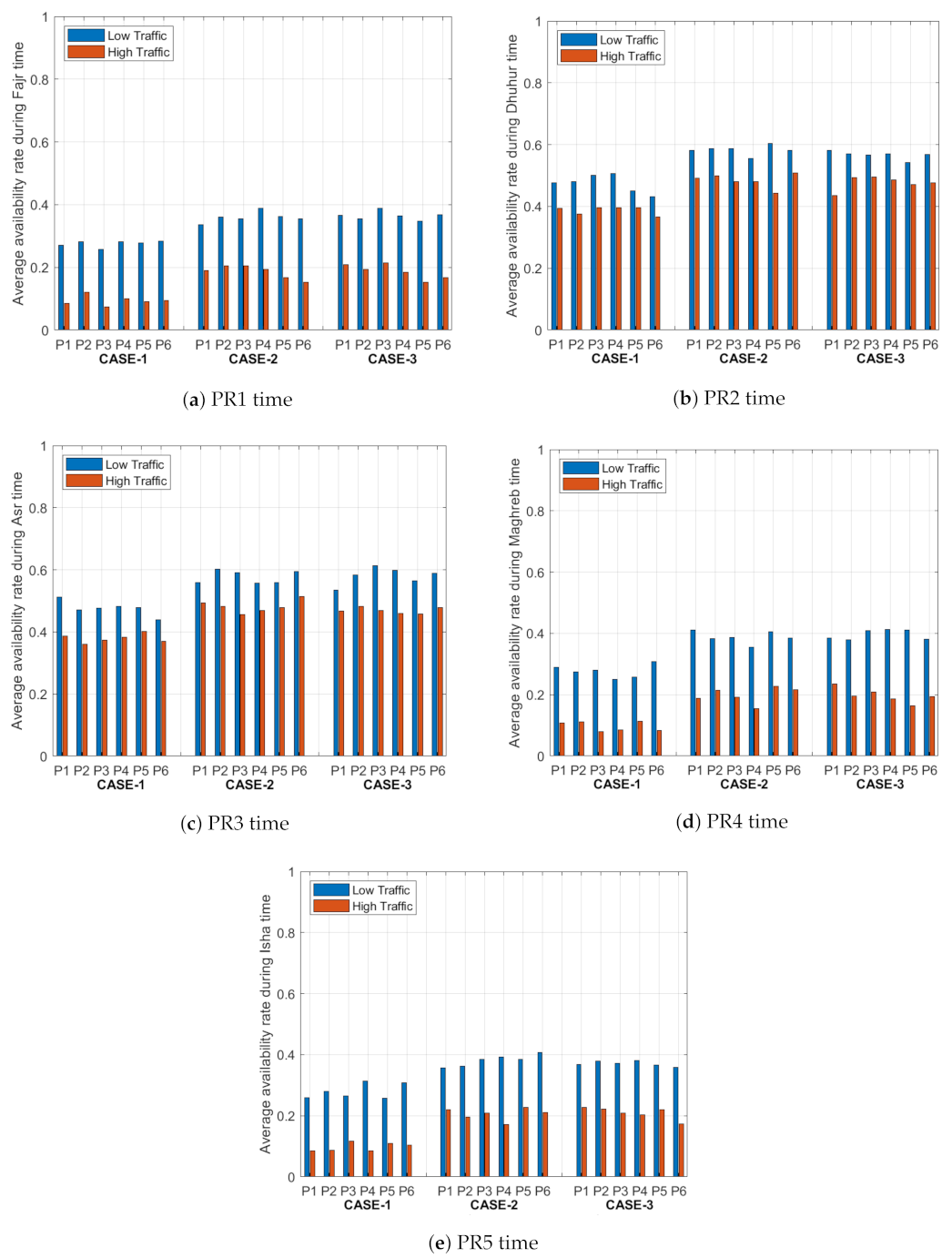
- Stage two: contains the main function of finding the best route to the parking spot, with minimum time, less load on the streets and parking gates as described in Equation (5). The simulation scenario studies the five main prayer time periods, Fajr (dawn), Dhuhur (noon), Asr (midday), Maghreb (sunset), and Isha (night), with different availability and congestion rates. These prayer times are denoted in the remainder of the manuscript as PR1, PR2, PR3, PR4, and PR5, respectively.
| Algorithm 1 Pseudo code of the Parking and routing algorithm. | 
| 
 | 
4. Simulation Setup and Performance Metrics
4.1. Case Study
4.2. Simulation Setting
4.3. Performance Metrics
4.3.1. Average Availability Ratio of the Parking Lots
4.3.2. Average Congestion Rate
4.3.3. Average Driving Time
5. Results and Discussion
5.1. Average Availability Ratio
5.2. Average Congestion Rate
5.3. Average Driving Time
6. Comparison with Another Algorithm
6.1. Description of the Selected Algorithm
6.2. Characteristics of Both Algorithms
6.3. Results of Both Algorithms
6.3.1. Average Availability Ratio
6.3.2. Average Congestion Rate
6.3.3. Average Driving Time
7. Conclusions and Future Work
Author Contributions
Funding
Institutional Review Board Statement
Informed Consent Statement
Acknowledgments
Conflicts of Interest
References
- Stokols, D.; Novaco, R.W.; Stokols, J.; Campbell, J. Traffic congestion, Type A behavior, and stress. J. Appl. Psychol. 1978, 63, 467. [Google Scholar] [CrossRef] [PubMed]
- Weinberger, R.R.; Millard-Ball, A.; Hampshire, R.C. Parking search caused congestion: Where’s all the fuss? Transp. Res. Part Emerg. Technol. 2020, 120, 102781. [Google Scholar] [CrossRef]
- Gu, Z.; Najmi, A.; Saberi, M.; Liu, W.; Rashidi, T.H. Macroscopic parking dynamics modeling and optimal real-time pricing considering cruising-for-parking. Transp. Res. Part Emerg. Technol. 2020, 118, 102714. [Google Scholar] [CrossRef]
- Giuffrè, T.; Siniscalchi, S.M.; Tesoriere, G. A novel architecture of parking management for smart cities. Procedia Soc. Behav. Sci. 2012, 53, 16–28. [Google Scholar] [CrossRef]
- Arnott, R.; Rave, T.; Schöb, R. Alleviating Urban Traffic Congestion; MIT Press: Cambridge, MA, USA, 2005; Volume 1. [Google Scholar]
- Benenson, I.; Martens, K.; Birfir, S. PARKAGENT: An agent-based model of parking in the city. Comput. Environ. Urban Syst. 2008, 32, 431–439. [Google Scholar] [CrossRef]
- Gallo, M.; D’Acierno, L.; Montella, B. A multilayer model to simulate cruising for parking in urban areas. Transp. Policy 2011, 18, 735–744. [Google Scholar] [CrossRef]
- Polak, J.W.; Axhausen, K.W. Clamp: A macroscopic simulation model for parking policy analysis. In Proceedings of the 68th Annual Meeting of Transportation Research Board, Washington, DC, USA, 24 January 1989. [Google Scholar]
- Zheng, Y.; Rajasegarar, S.; Leckie, C. Parking availability prediction for sensor-enabled car parks in smart cities. In Proceedings of the 2015 IEEE Tenth International Conference on Intelligent Sensors, Sensor Networks and Information Processing (ISSNIP), Singapore, 7–9 April 2015; pp. 1–6. [Google Scholar]
- Ji, Y.; Tang, D.; Blythe, P.; Guo, W.; Wang, W. Short-term forecasting of available parking space using wavelet neural network model. IET Intell. Transp. Syst. 2014, 9, 202–209. [Google Scholar] [CrossRef]
- Yu, F.; Guo, J.; Zhu, X.; Shi, G. Real time prediction of unoccupied parking space using time series model. In Proceedings of the 2015 International Conference on Transportation Information and Safety (ICTIS), Wuhan, China, 25–28 June 2015; pp. 370–374. [Google Scholar]
- Lu, R.; Lin, X.; Zhu, H.; Shen, X. SPARK: A new VANET-based smart parking scheme for large parking lots. In Proceedings of the IEEE INFOCOM 2009, Rio de Janeiro, Brazil, 19–25 April 2009; pp. 1413–1421. [Google Scholar]
- Klappenecker, A.; Lee, H.; Welch, J.L. Finding available parking spaces made easy. Ad Hoc Netw. 2014, 12, 243–249. [Google Scholar] [CrossRef]
- Rajabioun, T.; Ioannou, P.A. On-street and off-street parking availability prediction using multivariate spatiotemporal models. IEEE Trans. Intell. Transp. Syst. 2015, 16, 2913–2924. [Google Scholar] [CrossRef]
- Teodorović, D.; Lučić, P. Intelligent parking systems. Eur. J. Oper. Res. 2006, 175, 1666–1681. [Google Scholar] [CrossRef]
- Thompson, R.G.; Bonsall, P. Drivers’ response to parking guidance and information systems. Transp. Rev. 1997, 17, 89–104. [Google Scholar] [CrossRef]
- Geng, Y.; Cassandras, C.G. Dynamic resource allocation in urban settings: A “smart parking” approach. In Proceedings of the 2011 IEEE International Symposium on Computer-Aided Control System Design (CACSD), Denver, CO, USA, 28–30 September 2011; pp. 1–6. [Google Scholar]
- Geng, Y.; Cassandras, C.G. New “smart parking” system based on resource allocation and reservations. IEEE Trans. Intell. Transp. Syst. 2013, 14, 1129–1139. [Google Scholar] [CrossRef]
- Kotb, A.O.; Shen, Y.C.; Zhu, X.; Huang, Y. iParker—A new smart car-parking system based on dynamic resource allocation and pricing. IEEE Trans. Intell. Transp. Syst. 2016, 17, 2637–2647. [Google Scholar] [CrossRef]
- Pham, T.N.; Tsai, M.F.; Nguyen, D.B.; Dow, C.R.; Deng, D.J. A cloud-based smart-parking system based on Internet-of-Things technologies. IEEE Access 2015, 3, 1581–1591. [Google Scholar] [CrossRef]
- Chen, Z.; Yin, Y.; He, F.; Lin, J.L. Parking reservation for managing downtown curbside parking. Transp. Res. Rec. 2015, 2498, 12–18. [Google Scholar] [CrossRef]
- Tandon, R.; Gupta, P. Optimizing smart parking system by using fog computing. In Proceedings of the International Conference on Advances in Computing and Data Sciences, Ghazibad, India, 12–13 April 2019; pp. 724–737. [Google Scholar]
- Pazos, N.; Müller, M.; Favre-Bulle, M.; Brandt-Dit-Grieurin, K.; Hüsser, O.; Aeberli, M.; Ouerhani, N. Dynamic street-parking optimisation. In Proceedings of the 2016 IEEE 30th International Conference on Advanced Information Networking and Applications (AINA), Crans-Montana, Switzerland, 23–25 March 2016; pp. 1020–1026. [Google Scholar]
- Kokolaki, E.; Karaliopoulos, M.; Stavrakakis, I. Leveraging information in parking assistance systems. IEEE Trans. Veh. Technol. 2013, 62, 4309–4317. [Google Scholar] [CrossRef]
- Li, B.; Pei, Y.; Wu, H.; Huang, D. MADM-based smart parking guidance algorithm. PLoS ONE 2017, 12, e0188283. [Google Scholar] [CrossRef]
- Szücs, G. Decision support for route search and optimum finding in transport networks under uncertainty. J. Appl. Res. Technol. 2015, 13, 125–134. [Google Scholar] [CrossRef][Green Version]
- Lejdel, B. A Conceptual Framework for Modeling Smart Parking. In Application of Expert Systems-Theoretical and Practical Aspects; IntechOpen: London, UK, 2020. [Google Scholar]
- Li, Y.; Li, N.; Tseng, H.E.; Kolmanovsky, I.; Girard, A.; Filev, D. A Game Theoretic Approach for Parking Spot Search with Limited Parking Lot Information. In Proceedings of the 2020 IEEE 23rd International Conference on Intelligent Transportation Systems (ITSC), Rhodes, Greece, 20–23 September 2020; pp. 1–6. [Google Scholar]
- Karaliopoulos, M.; Katsikopoulos, K.; Lambrinos, L. Bounded rationality can increase parking search efficiency. In Proceedings of the 15th ACM International Symposium on Mobile ad Hoc Networking and Computing, Philadelphia, PA, USA, 11–14 August 2014; pp. 195–204. [Google Scholar]
- Li, P.; Li, D.; Zhang, X. CGPS: A collaborative game in parking-lot search. Proceedings of International Conference on Soft Computing Techniques and Engineering Application, Kunming, China, 25–27 September 2014; pp. 105–113. [Google Scholar]
- Mejri, N.; Ayari, M.; Langar, R.; Kamoun, F.; Pujolle, G.; Saidane, L. Cooperation versus competition towards an efficient parking assignment solution. In Proceedings of the 2014 IEEE International Conference on Communications (ICC), Sydney, Australia, 10–14 June 2014; pp. 2915–2920. [Google Scholar]
- Mitsopoulou, E.; Kalogeraki, V. Efficient parking allocation for smartcities. In Proceedings of the 10th International Conference on PErvasive Technologies Related to Assistive Environments, Island of Rhodes, Greece, 21–23 June 2017; pp. 265–268. [Google Scholar]
- Kokolaki, E.; Stavrakakis, I. Equilibrium analysis in the parking search game with heuristic strategies. In Proceedings of the 2014 IEEE 79th Vehicular Technology Conference (VTC Spring), Seoul, Korea, 18–21 May 2014; pp. 1–5. [Google Scholar]
- Mamandi, A.; Yousefi, S.; Atani, R.E. Game theory-based and heuristic algorithms for parking-lot search. In Proceedings of the 2015 International Symposium on Computer Science and Software Engineering (CSSE), Tabriz, Iran, 18–19 August 2015; pp. 1–8. [Google Scholar]
- Du, L.; Gong, S. Stochastic Poisson game for an online decentralized and coordinated parking mechanism. Transp. Res. Part Methodol. 2016, 87, 44–63. [Google Scholar] [CrossRef]
- Krapivsky, P.; Redner, S. Where should you park your car? The rule. J. Stat. Mech. Theory Exp. 2020, 2020, 073404. [Google Scholar] [CrossRef]
- Hakeem, A.; Gehani, N.; Ding, X.; Curtmola, R.; Borcea, C. Multi-destination vehicular route planning with parking and traffic constraints. In Proceedings of the 16th EAI International Conference on Mobile and Ubiquitous Systems: Computing, Networking and Services, Houston, TX, USA, 12–14 November 2019; pp. 298–307. [Google Scholar]
- Klandev, I.; Tolevska, M.; Mishev, K.; Trajanov, D. Parking Availability Prediction Using Traffic Data Services. In Proceedings of the ICT Innovations 2020, Online, 24–26 September 2020; pp. 59–73. [Google Scholar]
- Xiao, J.; Lou, Y.; Frisby, J. How likely am I to find parking?—A practical model-based framework for predicting parking availability. Transp. Res. Part Methodol. 2018, 112, 19–39. [Google Scholar] [CrossRef]
- Caliskan, M.; Barthels, A.; Scheuermann, B.; Mauve, M. Predicting parking lot occupancy in vehicular ad hoc networks. In Proceedings of the 2007 IEEE 65th Vehicular Technology Conference-VTC2007-Spring, Dublin, Ireland, 22–25 April 2007; pp. 277–281. [Google Scholar]
- Gross, D. Fundamentals of Queueing Theory; John Wiley & Sons: Hoboken, NJ, USA, 2008. [Google Scholar]











| Parking System Group | Pros | Cons | 
|---|---|---|
| Parking reservation systems | Pre-reservation is required. Availability of empty parking spots is guaranteed. Implementation is soft and straightforward. Easy and faster payment process through the system. Online reservation parking system is always available. You can get insights about the parking area in advance. | It provides static paths to the parking areas. Reservation system means no free parking. It needs to be online to do the reservation process. It might face accessing problems for the reservation system if there are too many customers. | 
| Parking guidance and information systems | Cost-effective and efficient. Real-time data availability. Optimal utilization of parking spots. It can be implemented in a distributed manner, and it can be constructed for public and private parking spots. It saves time, easy to use, and it increases the comfortability of the driver. | It causes some competitions between the drivers on the parking spots. It is more complicated than the reservation system in the implementation part. | 
| Parameter | Value | 
|---|---|
| Number of parking lots | 6 | 
| Total spots per parking lot | 600 | 
| Initial availability rate | 0.8 | 
| Time slot | 5: PR1, PR2, PR3, PR4 and PR5 | 
| Simulation period per slot | 45 min for each slot | 
| Fees (SAR/hour) for the spot | 5 for spot number [1–120), 4.5 for [120–240), 4 for [240–360), 3.5 for [360–480), and 3 for [480–600] | 
| Departure rate | 0.2 | 
| Traffic intensity | Low: uniform (0.4,1) High: uniform(1,1.6) | 
| Arrival rate | [25] | 
| Start point | “0” which is linked directly to only J1 | 
| Destination points | P1, P2, P3, P4, P5, and P6 | 
| Case | Factors | Weighting Values | Description | 
|---|---|---|---|
| CASE-1 | Equally emphasize on all factors | ||
| CASE-2 | Equally emphasize on congestion, waiting time and availability factors | ||
| CASE-3 | Equally emphasize on congestion and availability factors and less on waiting time at gates | 
| Publisher’s Note: MDPI stays neutral with regard to jurisdictional claims in published maps and institutional affiliations. | 
© 2021 by the authors. Licensee MDPI, Basel, Switzerland. This article is an open access article distributed under the terms and conditions of the Creative Commons Attribution (CC BY) license (https://creativecommons.org/licenses/by/4.0/).
Share and Cite
Abdeen, M.A.R.; Nemer, I.A.; Sheltami, T.R. A Balanced Algorithm for In-City Parking Allocation: A Case Study of Al Madinah City. Sensors 2021, 21, 3148. https://doi.org/10.3390/s21093148
Abdeen MAR, Nemer IA, Sheltami TR. A Balanced Algorithm for In-City Parking Allocation: A Case Study of Al Madinah City. Sensors. 2021; 21(9):3148. https://doi.org/10.3390/s21093148
Chicago/Turabian StyleAbdeen, Mohammad A. R., Ibrahim A. Nemer, and Tarek R. Sheltami. 2021. "A Balanced Algorithm for In-City Parking Allocation: A Case Study of Al Madinah City" Sensors 21, no. 9: 3148. https://doi.org/10.3390/s21093148
APA StyleAbdeen, M. A. R., Nemer, I. A., & Sheltami, T. R. (2021). A Balanced Algorithm for In-City Parking Allocation: A Case Study of Al Madinah City. Sensors, 21(9), 3148. https://doi.org/10.3390/s21093148
 
         
                                                

 
       