A Novel Reduced Graphene Oxide Modified Carbon Paste Electrode for Potentiometric Determination of Trihexyphenidyl Hydrochloride in Pharmaceutical and Biological Matrices
Abstract
1. Introduction
2. Materials and Methods
2.1. Equipment
2.2. Chemicals and Materials
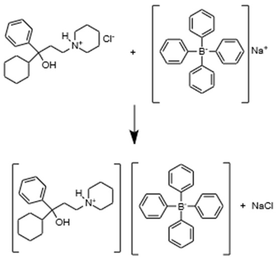
2.3. Procedures
3. Results and Discussion
3.1. Characterization of GO and rGO
3.2. Potentiometric Measurements
3.2.1. Optimization of Carbon Paste Electrode Composition
3.2.2. The Influence of pH on the Electrode Response
3.2.3. Dynamic Response Time, Reversibility, and Lifetime of the Electrode
3.2.4. Interference Studies
3.2.5. Analytical Application and Real Sample Analysis
4. Conclusions
Supplementary Materials
Author Contributions
Funding
Institutional Review Board Statement
Informed Consent Statement
Acknowledgments
Conflicts of Interest
References
- Downs, A.M.; Fan, X.; Donsante, C.; Jinnah, H.A.; Hess, E.J. Trihexyphenidyl rescues the deficit in dopamine neurotransmission in a mouse model of DYT1 dystonia. Neurobiol. Dis. 2019, 125, 115–122. [Google Scholar] [CrossRef]
 - Giachetti, A.; Giraldo, E.; Ladinsky, H.; Montagna, E. Binding and functional profiles of the selective M1 muscarinic receptor antagonists trihexyphenidyl and dicyclomine. Br. J. Pharmacol. 1986, 89, 83–90. [Google Scholar] [CrossRef] [PubMed]
 - Harris, M.K.; Shneyder, N.; Borazanci, A.; Korniychuk, E.; Kelley, R.E.; Minagar, A. Movement Disorders. Med. Clin. N. Am. 2009, 93, 371–388. [Google Scholar] [CrossRef]
 - He, H.; McKay, G.; Wirshing, B.; Midha, K.K. Development and Application of a Specific and Sensitive Radioimmunoassay for Trihexyphenidyl to a Pharmacokinetic Study in Humans. J. Pharm. Sci. 1995, 84, 561–567. [Google Scholar] [CrossRef] [PubMed]
 - Abu Shawish, H.M.; Elhabiby, M.; Abu Aziz, H.S.; Saadeh, S.M.; Tbaza, A. Determination of Trihexyphenidyl hydrochloride drug in tablets andurine using a potentiometric carbon paste electrode. Sens. Actuators B Chem. 2016, 235, 18–26. [Google Scholar] [CrossRef]
 - Patel, A.; Shrivastava, A.; Jain, A.; Singh, G. Method Development and Validation for estimation of Trihexyphenedyl Hydrochloride in Tablet Dosage Forms. Asian J. Res. Chem. 2009, 2, 104–107. [Google Scholar]
 - Lovejoy, D.J. A rapid gas chromatographic method for the determination of benzhexol hydrochloride. J. Chromatogr. A 1971, 57, 137–138. [Google Scholar] [CrossRef]
 - Kintz, P.; Godelar, B.; Mangin, P.; Chaumont, A.J.; Lugnier, A.A. Identification and quantification of trihexyphenidyl and its hydroxylated metabolite by gas chromatography with nitrogen-phosphorus detection. J. Anal. Toxicol. 1989, 13, 47–49. [Google Scholar] [CrossRef]
 - Owen, J.A.; Sribney, M.; Lawson, J.S.; Delva, N.; Letemendia, F.J.J. Capillary gas chromatography of trihexyphenidyl, procyclidine and cycrimine in biological fluids. J. Chromatogr. B Biomed. Sci. Appl. 1989, 494, 135–142. [Google Scholar] [CrossRef]
 - Ishii, A.; Nishikawa, M.; Seno, H.; Kumazawa, T.; Watanabe, K.; Suzuki, O. Determination of trihexyphenidyl in body fluids by gas chromatography with surface ionization detection. Forensic Toxicol. 1994, 12, 241–246. [Google Scholar]
 - Patel, D.; Patel, J. Development and validation of RP-HPLC method for simultaneous estimation of Risperidone and Trihexyphenidyl hydrochloride in tablet dosage forms. Int. J. Pharm. Sci. Rev. Res. 2010, 4, 85–88. [Google Scholar]
 - Parvataneni, S.V.; Nagarjuna, P.J. Development and validation for the simultaneous determination of trifluoperazine hydrochloride and trihexyphenidyl hydrochloride in a solid oral dosage form by RP-HPLC. World J. Pharm. Pharm. Sci. 2014, 3, 1021–1031. [Google Scholar]
 - Pradas, T.N.V.; Sivakumar, M. HPLC quantification of a tricomponent psychiatric formulation containing chlorpromazine, trifluoperazine and trihexyphenidyl. Pharmazie 1992, 47, 231. [Google Scholar]
 - Mahadik, K.R.; Aggarwal, H.; Kaul, N. Development and validation of HPLC method for simultaneous estimation of trihexyphenidyl hydrochloride and chlorpromazine hydrochloride from tablet dosage form. Indian Drugs 2002, 39, 441–445. [Google Scholar]
 - Čápka, V.; Xu, Y.; Hong Chen, Y. Stereoselective determination of trihexyphenidyl in human serum by LC–ESI–MS. J. Pharm. Biomed. Anal. 1999, 21, 507–517. [Google Scholar] [CrossRef]
 - Čápka, V.; Xu, Y. Simultaneous determination of enantiomers of structurally related anticholinergic analogs in human serum by liquid chromatography–electrospray ionization mass spectrometry with on-line sample cleanup. J. Chromatogr. B Biomed. Sci. Appl. 2001, 762, 181–192. [Google Scholar] [CrossRef][Green Version]
 - Yuan, S.-L.; Li, X.-F.; Jiang, X.-M.; Zhang, H.-X.; Zheng, S.-K. Simultaneous Determination of 13 Psychiatric Pharmaceuticals in Sewage by Automated Solid Phase Extraction and Liquid Chromatography-Mass Spectrometry. Chin. J. Anal. Chem. 2013, 41, 49–56. [Google Scholar] [CrossRef]
 - Borkar, A.; Wate, S. Simultaneous Spectrophotometric Estimation of Haloperidol and Trihexyphenidyl in Tablets. Indian J. Pharm. Sci. 2010, 72, 265. [Google Scholar] [CrossRef] [PubMed]
 - Vargas, G.; Havel, J.; Babáčková, L.; Patočka, J. Determination of drugs used as anti-Parkinson’s disease drugs in urine and serum by capillary electrophoresis. J. Capill. Electrophor. Microchip Technol. 1998, 5, 153–158. [Google Scholar]
 - Li, H.; Wang, P.; Li, C.; Wang, H.; Zhang, H. Steroselective determination of trihexyphenidyl using carboxylmethyl-β-cyclodextrin by capillary electrophoresis with field-amplified sample stacking. Microchem. J. 2008, 89, 34–41. [Google Scholar] [CrossRef]
 - Chalavi, S.; Fakhari, A.R.; Nojavan, S. Development of a modified partial filling method in capillary electrophoresis using two chiral plugs for the simultaneous enantioseparation of chiral drugs: Comparison with mixed chiral selector capillary electrophoresis. J. Chromatogr. A 2018, 1567, 211–218. [Google Scholar] [CrossRef] [PubMed]
 - Papke, E. Gravimetric methods for determination of Parkopan, Spasman and Dispasmol. 2. On the analysis of some spasmolytics. Pharmazie 1968, 23, 148–150. [Google Scholar] [PubMed]
 - Bozsai, G.; Vastagh, G. The polarographic determination of primidone and trihexyphenidyl (benzhexol). Pharm Zentralhalle Dtschl 1964, 103, 403–408. [Google Scholar] [PubMed]
 - Afkhami, A.; Shirzadmehr, A.; Madrakian, T.; Bagheri, H. New nano-composite potentiometric sensor composed of graphene nanosheets/thionine/molecular wire for nanomolar detection of silver ion in various real samples. Talanta 2015, 131, 548–555. [Google Scholar] [CrossRef] [PubMed]
 - Gupta, V.K.; Agarwal, S.; Singhal, B. Potentiometric assay of antipsychotic drug (Ziprasidone Hydrochloride) in pharmaceuticals, serum and urine. Int. J. Electrochem. Sci. 2011, 6, 3036–3056. [Google Scholar]
 - Gupta, V.K.; Singh, A.K.; Gupta, B. Schiff bases as cadmium(II) selective ionophores in polymeric membrane electrodes. Anal. Chim. Acta 2007, 583, 340–348. [Google Scholar] [CrossRef]
 - Svancara, I.; Kalcher, K.; Walcarius, A.; Vytras, K. Electroanalysis with Carbon Paste Electrodes; CRC Press Taylor and Francis Group: Boca Raton, FL, USA, 2012; ISBN 9781439830208. [Google Scholar]
 - Ganjali, M.R.; Khoshsafar, H.; Faridbod, F.; Shirzadmehr, A.; Javanbakht, M.; Norouzi, P. Room temperature ionic liquids (rtils) and multiwalled carbon nanotubes (mwcnts) as modifiers for improvement of carbon paste ion selective electrode response; A comparison study with pvc membrane. Electroanalysis 2009, 21, 2175–2178. [Google Scholar] [CrossRef]
 - Mashhadizadeh, M.H.; Ramezani, S.; Ebrahimi, S. Potentiometric determination of nanomolar concentration of Cu (II) using a carbon paste electrode modified by a self-assembled mercapto compound on gold nanoparticles. Sens. Actuators B Chem. 2012, 169, 305–311. [Google Scholar] [CrossRef]
 - Rouhani, M.; Soleymanpour, A. A new selective carbon paste electrode for potentiometric analysis of olanzapine. Measurement 2019, 140, 472–478. [Google Scholar] [CrossRef]
 - El-Kosasy, A.M.; Abdel Rahman, M.H.; Abdelaal, S.H. Graphene nanoplatelets in potentiometry: A nanocomposite carbon paste and PVC based membrane sensors for analysis of Vilazodone HCl in plasma and milk samples. Talanta 2019, 193, 9–14. [Google Scholar] [CrossRef]
 - Gupta, V.K.; Arunima, N.; Singhal, B.; Agarwal, S. Recent advances on potentiometric membrane sensors for pharmaceutical analysis. Comb. Chem. High Throughput Screen. 2011, 14, 284–302. [Google Scholar] [CrossRef] [PubMed]
 - Ammar, R.A. A new atomoxetine hydrochloride selective electrode and its pharmaceuticals application. Int. J. Pharm. Sci. Rev. Res. 2016, 36, 242–246. [Google Scholar]
 - El-Tohamy, M.; Razeq, S.; El-Maamly, M.; Shalaby, A. Polymeric membrane sensors for direct determination of tricyclic antidepressant Clomipramine hydrochloride in pharmaceutical formulations and biological fluids. Med. Chem. Anal. 2014, 4, 130–140. [Google Scholar]
 - Issa, Y.M.; Khorshid, A.F. Using PVC ion-selective electrodes for the potentiometric flow injection analysis of distigmine in its pharmaceutical formulation and biological fluids. J. Adv. Res. 2011, 2, 25–34. [Google Scholar] [CrossRef]
 - Al-Harbi, E.A.; Abdelrahman, M.H.; El-Kosasy, A.M. Ecofriendly Long Life Nanocomposite Sensors for Determination of Carbachol in Presence of Choline: Application in Ophthalmic Solutions and Biological Fluids. Sensors 2019, 19, 2357–2368. [Google Scholar] [CrossRef] [PubMed]
 - Issa, Y.M.; Attia, F.M.A.; Sherif, O.E.; Dena, A.S.A. Potentiometric and surface topography studies of new carbon-paste sensors for determination of thiamine in Egyptian multivitamin ampoules. Arab. J. Chem. 2017, 10, 751–760. [Google Scholar] [CrossRef]
 - Rassi, S.F. Chemically modified carbon paste ion-selective electrodes for determination of atorvastatin calcium in pharmaceutical preparations. Anal. Chem. Res. 2017, 12, 65–73. [Google Scholar] [CrossRef]
 - Abu Shawish, H.M.; Almonem, K.I.A.; Saadeh, S.M.; Al-lham, W.S. Determination of haloperidol drug in ampoules and in urine samples using a potentiometric modified carbon paste electrode Hazem. Measurement 2016, 78, 180–186. [Google Scholar] [CrossRef]
 - Dehnavi, A.; Soleymanpour, A. New chemically modified carbon paste sensor for nanomolar concentration measurement of rifampicin in biological and pharmaceutical media. Mater. Sci. Eng. C 2019, 94, 403–409. [Google Scholar] [CrossRef]
 - Frag, E.Y.; El Badry Mohamed, M.; Mohamed, G.G.; Ebrahim, M.S. Selective potentiometric sensors for the determination of butenafine hydrochloride in a cream formulation. Microchem. J. 2020, 157, 104870. [Google Scholar] [CrossRef]
 - Afzali, M.; Mostafavi, A.; Shamspur, T. Designing an Au/reduced graphene oxide modified carbon paste electrode for the electrochemical quantification of agnuside. Sens. Actuators B Chem. 2019, 290, 188–194. [Google Scholar] [CrossRef]
 - Yang, S.; Li, G.; Wang, G.; Zhao, J.; Qiao, Z.; Qu, L. Decoration of chemically reduced graphene oxide modified carbon paste electrode with yttrium hexacyanoferrate nanoparticles for nanomolar detection of rutin. Sens. Actuators B Chem. 2015, 206, 126–132. [Google Scholar] [CrossRef]
 - Jawanjal, P.M.; Patil, P.B.; Patil, J.; Waghulde, M.; Naik, J.B. Development of Graphene Oxide-Trihexyphenidyl Hydrochloride Nanohybrid and Release behavior. Curr. Environ. Eng. 2019, 6, 134–140. [Google Scholar] [CrossRef]
 - Elashery, S.E.A.; Frag, E.Y.; Sleim, A.A.E. Novel and selective potentiometric sensors for Cinchocaine HCl determination in its pure and Co-formulated dosage form: A comparative study of in situ carbon sensors based on different ion pairing agents. Measurement 2020, 173, 108549. [Google Scholar] [CrossRef]
 - Reinhoudt, D.N.; Engbersen, J.F.J.; Brzozka, Z.; van der Vlekkert, H.H.; Honig, G.W.N.; Holterman, H.A.J.; Verkerk, U.H. Development of Durable K+-Selective Chemically Modified Field Effect Transistors with Functionalized Polysiloxane Membranes. Anal. Chem. 1994, 66, 3618–3623. [Google Scholar] [CrossRef]
 - Hočevar, S.B.; Ogorevc, B. Preparation and characterization of carbon paste micro-electrode based on carbon nano-particles. Talanta 2007, 74, 405–411. [Google Scholar] [CrossRef] [PubMed]
 - Lin, J.; Wei, Z.; Zhang, H.; Shao, M. Sensitive immunosensor for the label-free determination of tumor marker based on carbon nanotubes/mesoporous silica and graphene modified electrode. Biosens. Bioelectron. 2013, 41, 342–347. [Google Scholar] [CrossRef] [PubMed]
 - Bralić, M.; Prkić, A.; Radić, J.; Pleslić, I. Preparation of phosphate ion-selective membrane based on silver salts mixed with PTFE or carbon nanotubes. Int. J. Electrochem. Sci. 2018, 13, 1390–1399. [Google Scholar] [CrossRef]
 - Radić, J.; Bralić, M.; Kolar, M.; Genorio, B.; Prkić, A.; Mitar, I. Development of the New Fluoride Ion-Selective Electrode Modified with FexOy Nanoparticles. Molecules 2020, 25, 5213. [Google Scholar] [CrossRef]
 - Bagheri, H.; Shirzadmehr, A.; Rezaei, M. Designing and fabrication of new molecularly imprinted polymer-based potentiometric nano-graphene/ionic liquid/carbon paste electrode for the determination of losartan. J. Mol. Liq. 2015, 212, 96–102. [Google Scholar] [CrossRef]
 - Shirzadmehr, A.; Afkhami, A.; Madrakian, T. A new nano-composite potentiometric sensor containing an Hg2+-ion imprinted polymer for the trace determination of mercury ions in different matrices. J. Mol. Liq. 2015, 204, 227–235. [Google Scholar] [CrossRef]
 - Ganjali, M.R.; Faridbod, F.; Davarkhah, N.; Shahtaheri, S.J.; Norouzi, P. All solid state graphene based potentiometric sensors for monitoring of mercury ions in waste water samples. Int. J. Environ. Res. 2015, 9, 333–340. [Google Scholar] [CrossRef]
 - Marcano, D.C.; Kosynkin, D.V.; Berlin, J.M.; Sinitskii, A.; Sun, Z.; Slesarev, A.; Alemany, L.B.; Lu, W.; Tour, J.M. Improved synthesis of graphene oxide. ACS Nano 2010, 4, 4806–4814. [Google Scholar] [CrossRef]
 - Xu, J.; Wang, Y.; Hu, S. Nanocomposites of graphene and graphene oxides: Synthesis, molecular functionalization and application in electrochemical sensors and biosensors. A review. Microchim. Acta 2017, 184, 1–44. [Google Scholar] [CrossRef]
 - Chen, J.; Zhang, W.-D.; Ye, J.S. Nonenzymatic electrochemical glucose sensor based on MnO2/MWNTs nanocomposite. Electrochem. Commun. 2008, 10, 1268–1271. [Google Scholar] [CrossRef]
 - Nosan, M.; Mario, L.; Jerman, I.; Kolar, M.; Katsounaros, I. Understanding the Oxygen Reduction Reaction Activity of Quasi-1D and 2D N‑Doped Heat-Treated Graphene Oxide Catalysts with Inherent Metal Impurities. ACS Appl. Energy Mater. 2021. [Google Scholar] [CrossRef]
 - Khorshid, A.F.; Issa, Y.M. Modified carbon paste sensor for the potentiometric determination of neostigmine bromide in pharmaceutical formulations, human plasma and urine. Biosens. Bioelectron. 2014, 51, 143–149. [Google Scholar] [CrossRef] [PubMed]
 - Khorshid, A.F. New analysis of clopidogrel bisulfate in plavix tablet and human biological fluids utilizing chemically modified carbon paste sensor. Arab. J. Chem. 2019, 12, 1740–1750. [Google Scholar] [CrossRef]
 - Nezamzadeh-Ejhieh, A.; Masoudipour, N. Application of a new potentiometric method for determination of phosphate based on a surfactant-modified zeolite carbon-paste electrode (SMZ-CPE). Anal. Chim. Acta 2010, 658, 68–74. [Google Scholar] [CrossRef] [PubMed]
 - Rosatzin, T.; Bakker, E.; Suzuki, K.; Simon, W. Lipophilic and immobilized anionic additives in solvent polymeric membranes of cation-selective chemical sensors. Anal. Chim. Acta 1993, 280, 197–208. [Google Scholar] [CrossRef]
 






| CPE (no.)  | Ingredient (%) | Linear Range (mol L−1)  | Detection Limit (mol L−1)  | Slope (mV/dec) ± SD * | R2 | ||||
|---|---|---|---|---|---|---|---|---|---|
| G | DBP | IAC | NaTPB | rGO | |||||
| 1 | 59.8 | 40.2 | - | - | - | - | - | −12.4 ± 0.7 | 0.8849 | 
| 2 | 55.3 | 44.7 | - | - | - | - | - | −17.0 ± 0.9 | 0.9046 | 
| 3 | 51.8 | 48.2 | - | - | - | - | - | −14.6 ± 0.8 | 0.8963 | 
| 4 | 45.2 | 54.8 | - | - | - | - | - | −9.7 ± 0.7 | 0.8395 | 
| 5 | 54.1 | 45.6 | 0.3 | - | - | 6.3 × 10−6–1.0 × 10−2 | 4.7 × 10−6 | −38.1 ± 0.6 | 0.9892 | 
| 6 | 53.5 | 45.1 | 1.0 | - | - | 2.5 × 10−6–1.0 × 10−2 | 2.4 × 10−6 | −45.5 ± 0.3 | 0.9972 | 
| 7 | 52.0 | 46.5 | 1.5 | - | - | 2.5 × 10−6–1.0 × 10−2 | 2.0 × 10−6 | −46.5 ± 0.5 | 0.9935 | 
| 8 | 50.6 | 46.5 | 2.9 | - | - | 2.5 × 10−6–1.0 × 10−2 | 2.0 × 10−6 | −47.8 ± 0.3 | 0.9976 | 
| 9 | 49.8 | 44.5 | 5.7 | - | - | 2.5 × 10−6–1.0 × 10−2 | 2.2 × 10−6 | −48.3 ± 0.6 | 0.9921 | 
| 10 | 47.6 | 44.3 | 8.1 | - | - | 2.5 × 10−6–1.0 × 10−2 | 2.2 × 10−6 | −50.2 ± 0.3 | 0.9977 | 
| 11 | 44.9 | 44.9 | 10.2 | - | - | 2.5 × 10−6–1.0 × 10−2 | 2.1 × 10−6 | −50.0 ± 0.3 | 0.9980 | 
| 12 | 43.3 | 44.7 | 12.0 | - | - | 2.5 × 10−6–1.0 × 10−2 | 2.0 × 10−6 | −49.4 ± 0.3 | 0.9981 | 
| 13 | 40.5 | 45.0 | 14.5 | - | - | 2.5 × 10−6–1.0 × 10−2 | 2.4 × 10−6 | −48.1 ± 0.3 | 0.9982 | 
| 14 | 46.8 | 45.0 | 8.1 | 0.1 | - | 1.0 × 10−6–1.0 × 10−2 | 9.3 × 10−7 | −53.9 ± 0.2 | 0.9990 | 
| 15 | 46.3 | 45.4 | 8.0 | 0.3 | - | 1.0 × 10−6–1.0 × 10−2 | 7.9 × 10−7 | −54.5 ± 0.2 | 0.9993 | 
| 16 | 45.4 | 45.5 | 8.2 | 0.9 | - | 2.5 × 10−6–1.0 × 10−2 | 2.3 × 10−6 | −50.2 ± 0.4 | 0.9964 | 
| 17 | 44.6 | 44.9 | 8.3 | 2.2 | - | 6.3 × 10−6–1.0 × 10−2 | 4.5 × 10−6 | −46.8 ± 0.5 | 0.9957 | 
| 18 | 44.8 | 45.0 | 10.1 | 0.1 | - | 1.0 × 10−6–1.0 × 10−2 | 6.6 × 10−7 | −54.6 ± 0.4 | 0.9970 | 
| 19 | 44.1 | 45.4 | 10.2 | 0.3 | - | 1.0 × 10−6–1.0 × 10−2 | 7.1 × 10−7 | −55.6 ± 0.3 | 0.9983 | 
| 20 | 43.5 | 45.4 | 10.1 | 1.0 | - | 2.5 × 10−6–1.0 × 10−2 | 1.7 × 10−6 | −51.2 ± 0.4 | 0.9976 | 
| 21 | 44.3 | 45.3 | 10.0 | 0.3 | 0.1 | 1.0 × 10−6–1.0 × 10−2 | 7.6 × 10−7 | −55.8 ± 0.4 | 0.9968 | 
| 22 | 43.8 | 45.4 | 10.1 | 0.2 | 0.5 | 1.0 × 10−6–1.0 × 10−2 | 7.5 × 10−7 | −56.8 ± 0.2 | 0.9992 | 
| 23 | 42.3 | 45.2 | 10.2 | 0.3 | 2.0 | 4.0 × 10−7–1.0 × 10−2 | 3.3 × 10−7 | −58.4 ± 0.2 | 0.9991 | 
| 24 s | 40.6 | 45.0 | 10.2 | 0.3 | 3.9 | 4.0 × 10−7–1.0 × 10−2 | 2.5 × 10−7 | −58.9 ± 0.2 | 0.9992 | 
| 25 | 38.1 | 45.6 | 9.9 | 0.2 | 6.2 | 4.0 × 10−7–1.0 × 10−2 | 3.6 × 10−7 | −57.4 ± 0.3 | 0.9986 | 
| 26 | 42.7 | 44.9 | 8.1 | 0.3 | 4.0 | 4.0 × 10−7–1.0 × 10−2 | 3.7 × 10−7 | −57.1 ± 0.4 | 0.9977 | 
| Foreign Ions | |
|---|---|
| K+ | −4.19 | 
| NH4+ | −4.36 | 
| Ca2+ | −3.81 | 
| Mg2+ | −3.62 | 
| Zn2+ | −3.72 | 
| Pb2+ | −3.18 | 
| Fe3+ | −3.26 | 
| glucose | −3.46 | 
| galactose | −3.53 | 
| fructose | −3.94 | 
| acetylsalicylic acid | −4.11 | 
| paracetamol | −3.95 | 
| maprotiline hydrochloride | −2.84 | 
| Taken THP (mol L−1) | Recovery ± RSD * (%) | ||
|---|---|---|---|
| Pure solutions | Direct method | 1.0 × 10−4 | 99.0 ± 0.6 | 
| 1.0 × 10−5 | 98.4 ± 1.3 | ||
| Standard addition method | 1.0 × 10−4 | 99.4 ± 0.4 | |
| 1.0 × 10−5 | 99.2 ± 0.5 | ||
| Potentiometric titration | 1.0 × 10−4 | 99.4 ± 0.3 | |
| 1.0 × 10−5 | 99.2 ± 0.6 | ||
| Parkopan tablets | Direct method | 1.0 × 10−4 | 98.1 ± 1.4 | 
| 1.0 × 10−5 | 97.0 ± 2.0 | ||
| Standard addition method | 1.0 × 10−4 | 98.9 ± 0.6 | |
| 1.0 × 10−5 | 98.4 ± 1.0 | ||
| Potentiometric titration | 1.0 × 10−4 | 98.9 ± 0.7 | |
| 1.0 × 10−5 | 98.7 ± 1.0 | ||
| Spiked urine samples | Direct method | 1.0 × 10−4 | 98.2 ± 1.7 | 
| 1.0 × 10−5 | 96.8 ± 1.8 | ||
| Standard addition method | 1.0 × 10−4 | 100.9 ± 0.8 | |
| 1.0 × 10−5 | 101.7 ± 1.1 | ||
| Potentiometric titration | 1.0 × 10−4 | 101.0 ± 0.9 | |
| 1.0 × 10−5 | 98.6 ± 1.0 | 
Publisher’s Note: MDPI stays neutral with regard to jurisdictional claims in published maps and institutional affiliations.  | 
© 2021 by the authors. Licensee MDPI, Basel, Switzerland. This article is an open access article distributed under the terms and conditions of the Creative Commons Attribution (CC BY) license (https://creativecommons.org/licenses/by/4.0/).
Share and Cite
Radić, J.; Buljac, M.; Genorio, B.; Gričar, E.; Kolar, M. A Novel Reduced Graphene Oxide Modified Carbon Paste Electrode for Potentiometric Determination of Trihexyphenidyl Hydrochloride in Pharmaceutical and Biological Matrices. Sensors 2021, 21, 2955. https://doi.org/10.3390/s21092955
Radić J, Buljac M, Genorio B, Gričar E, Kolar M. A Novel Reduced Graphene Oxide Modified Carbon Paste Electrode for Potentiometric Determination of Trihexyphenidyl Hydrochloride in Pharmaceutical and Biological Matrices. Sensors. 2021; 21(9):2955. https://doi.org/10.3390/s21092955
Chicago/Turabian StyleRadić, Josip, Maša Buljac, Boštjan Genorio, Ema Gričar, and Mitja Kolar. 2021. "A Novel Reduced Graphene Oxide Modified Carbon Paste Electrode for Potentiometric Determination of Trihexyphenidyl Hydrochloride in Pharmaceutical and Biological Matrices" Sensors 21, no. 9: 2955. https://doi.org/10.3390/s21092955
APA StyleRadić, J., Buljac, M., Genorio, B., Gričar, E., & Kolar, M. (2021). A Novel Reduced Graphene Oxide Modified Carbon Paste Electrode for Potentiometric Determination of Trihexyphenidyl Hydrochloride in Pharmaceutical and Biological Matrices. Sensors, 21(9), 2955. https://doi.org/10.3390/s21092955
        
                                                
