A Highly Compact Antipodal Vivaldi Antenna Array for 5G Millimeter Wave Applications
Abstract
1. Introduction
2. Design of Proposed AVA Array
2.1. Single AVA Design
2.2. 1 × 4 AVA Array Design
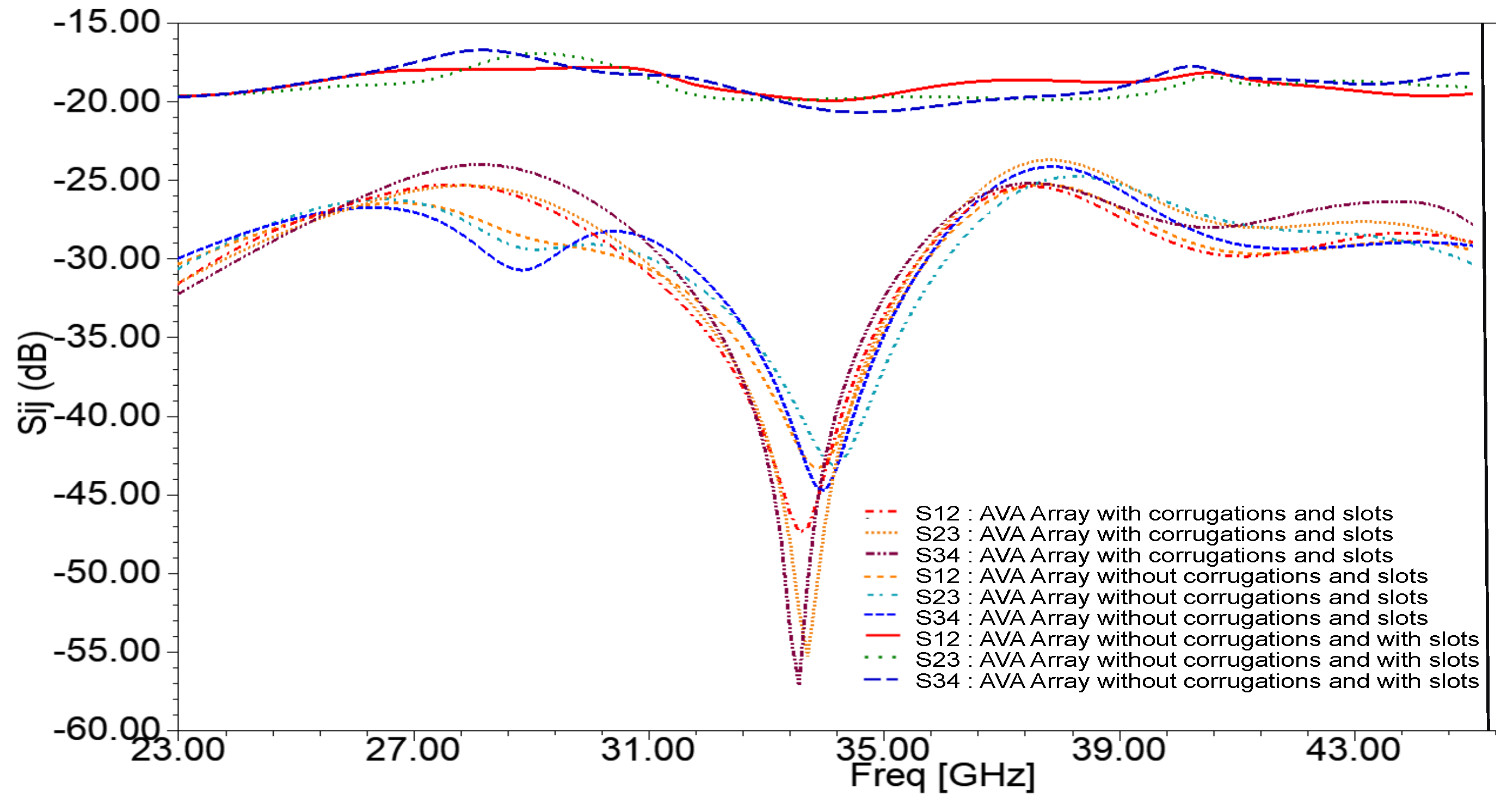
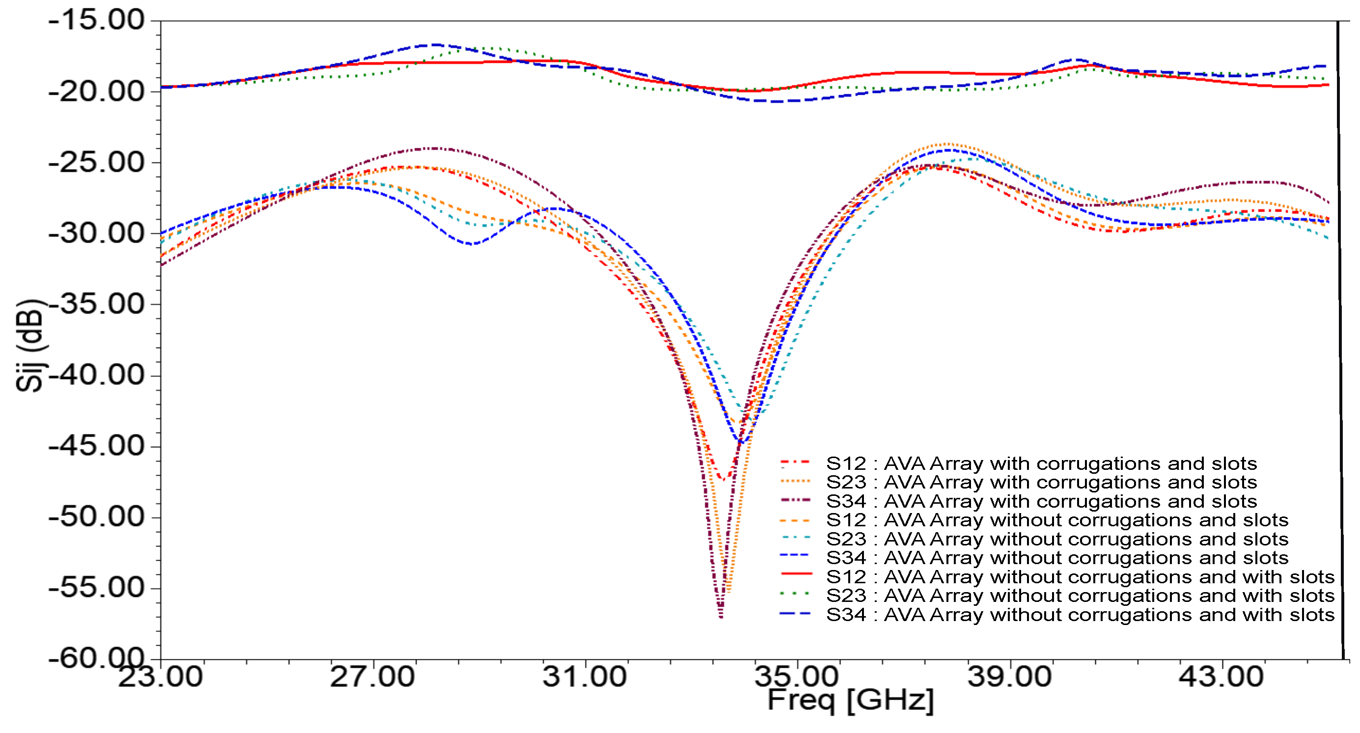
3. Results and Discussion
4. Conclusions
Author Contributions
Institutional Review Board Statement
Informed Consent Statement
Data Availability Statement
Acknowledgments
Conflicts of Interest
References
- Zhu, S.; Liu, H.; Wen, P. A new method for achieving miniaturization and gain enhancement of vivaldi antenna array based on anisotropic metasurface. IEEE Trans. Antennas Propag. 2019, 67, 1952–1956. [Google Scholar] [CrossRef]
- ITU-R. Minimum Requirements Related to Technical Performance for IMT-2020 Radio Interface(s); Report ITU-R M.2410-0; ITU-R: Geneva, Switzerland, 2017; pp. 1–11. [Google Scholar]
- Kumar, S.; Dixit, A.S.; Malekar, R.R.; Raut, H.D.; Shevada, L.K. Fifth Generation Antennas: A Comprehensive Review of Design and Performance Enhancement Techniques. IEEE Access 2020, 8, 163568–163593. [Google Scholar] [CrossRef]
- Zhu, S.; Liu, H.; Chen, Z.; Wen, P. A compact gain-enhanced vivaldi antenna array with suppressed mutual coupling for 5G mmwave application. IEEE Antennas Wirel. Propag. Lett. 2018, 17, 776–779. [Google Scholar] [CrossRef]
- Gazit, E. Improved design of the Vivaldi antenna. IEE Proc. H Microw. Antennas Propag. 1988, 135, 89–92. [Google Scholar] [CrossRef]
- Gibson, P. The Vivaldi Aerial. In Proceedings of the 9th European Microwave Conference, Brighton, UK, 17–20 September 1979; pp. 101–105. [Google Scholar] [CrossRef]
- Dixit, A.S.; Kumar, S. A Miniaturized Antipodal Vivaldi Antenna for 5G Communication Applications. In Proceedings of the 7th International Conference on Signal Processing and Integrated Networks (SPIN), Noida, India, 27–28 February 2020; pp. 800–803. [Google Scholar] [CrossRef]
- Raut, H.D.; Shevada, L.; Malekar, R.; Kumar, S. High gain wideband antennas for 5G applications: A review. In Inventive Communication and Computational Technologies, Lecture Notes in Networks and Systems; Ranganathan, G., Chen, J., Rocha, Á., Eds.; Springer: Singapore, 2021; Volume 145, pp. 777–787. [Google Scholar] [CrossRef]
- Wang, Y.W.; Yu, Z.W. A Novel Symmetric Double-Slot Structure for Antipodal Vivaldi Antenna to Lower Cross-Polarization Level. IEEE Trans. Antennas Propag. 2017, 65, 5599–5604. [Google Scholar] [CrossRef]
- Sun, M.; Chen, Z.N.; Qing, X. Gain enhancement of 60-GHz antipodal tapered slot antenna using zero-index metamaterial. IEEE Trans. Antennas Propag. 2013, 61, 1741–1746. [Google Scholar] [CrossRef]
- Kazemi, R.; Member, S.; Fathy, A.E.; Sadeghzadeh, R.A. Dielectric Rod Antenna Array With Substrate Integrated Waveguide Planar Feed Network for Wideband Applications. IEEE Trans. Antennas Propag. 2012, 60, 1312–1319. [Google Scholar] [CrossRef]
- Tiwari, N.; Rama Rao, T. Substrate Integrated Waveguide Based High Gain Planar Antipodal Linear Tapered Slot Antenna with Dielectric Loading for 60 GHz Communications. Wirel. Personal Commun. 2017, 97, 1385–1400. [Google Scholar] [CrossRef]
- Bai, J.; Shi, S.; Prather, D.W. Modified compact antipodal Vivaldi antenna for 4-50-GHz UWB application. IEEE Trans. Microw. Theory Tech. 2011, 59, 1051–1057. [Google Scholar] [CrossRef]
- Moosazadeh, M.; Kharkovsky, S.; Case, J.T. Microwave and millimetre wave antipodal Vivaldi antenna with trapezoid-shaped dielectric lens for imaging of construction materials. IET Microw. Antenna Propag. 2015, 10, 1–9. [Google Scholar] [CrossRef]
- Moosazadeh, M.; Kharkovsky, S. A Compact High-Gain and Front-to-Back Ratio Elliptically Tapered Antipodal Vivaldi Antenna With Trapezoid-Shaped Dielectric Lens. IEEE Antennas Wirel. Propag. Lett. 2015, 15, 552–555. [Google Scholar] [CrossRef]
- Islam, M.T.; Samsuzzaman, M.; Islam, M.T.; Kibria, S.; Singh, M.J. A homogeneous breast phantom measurement system with an improved modified microwave imaging antenna sensor. Sensors 2018, 18, 2962. [Google Scholar] [CrossRef]
- Briqech, Z.; Sebak, A.; Denidni, T.A. High Gain 60 GHz Antipodal Fermi Tapered Slot Antenna With Sine Corrugation. Microw. Opt. Technol. Lett. 2014, 57, 6–9. [Google Scholar] [CrossRef]
- Hesari, S.S.; Bornemann, J. Antipodal Vivaldi antenna arrays fed by substrate integrated waveguide right-angled power dividers. Appl. Sci. 2018, 8, 2625. [Google Scholar] [CrossRef]
- Moosazadeh, M. High-Gain Antipodal Vivaldi Antenna Surrounded by Dielectric for Wideband Applications. IEEE Trans. Antennas Propag. 2018, 66, 4349–4352. [Google Scholar] [CrossRef]
- Wang, N.N.; Fang, M.; Chou, H.T.; Qi, J.R.; Xiao, L.Y. Balanced Antipodal Vivaldi Antenna with Asymmetric Substrate Cutout and Dual-Scale Slotted Edges for Ultrawideband Operation at Millimeter-Wave Frequencies. IEEE Trans. Antennas Propag. 2018, 66, 3724–3729. [Google Scholar] [CrossRef]
- Sarkar, C.; Saha, C.; Shaik, L.A.; Siddiqui, J.Y.; Antar, Y.M.M. Frequency notched balanced antipodal tapered slot antenna with very low cross- polarised radiation. IET Microw. Antenna Propag. 2018, 12, 1859–1863. [Google Scholar] [CrossRef]
- Kaboli, M.; Molaei, A.; Abrishamian, M.S.; Mirtaheri, S.A. Dielectric lens balanced antipodal Vivaldi antenna with low cross-polarisation for ultra-wideband applications. IET Microw. Antenna Propag. 2014, 8, 1137–1142. [Google Scholar] [CrossRef]
- Dixit, A.S.; Kumar, S. A Survey of Performance Enhancement Techniques of Antipodal Vivaldi Antenna. IEEE Access 2020, 8, 45774–45796. [Google Scholar] [CrossRef]
- Balanis, C.A. Antenna Theory; Analysis and Design, 3rd ed.; John Wiley and Sons: Hoboken, NJ, USA, 2008; Volume 72, pp. 989–990. [Google Scholar] [CrossRef]
- Eichenberger, P.J.; Yetisir, E.; Ghalichechian, N. High-Gain Antipodal Vivaldi Antenna with Pseudoelement and Notched Tapered Slot Operating at 2.5-57 GHz. IEEE Trans. Antennas Propag. 2019, 1–11. [Google Scholar] [CrossRef]
- Moosazadeh, M.; Kharkovsky, S.; Case, J.T.; Samali, B. Antipodal Vivaldi antenna with improved radiation characteristics for civil engineering applications. IET Microw. Antenna Propag. 2017, 11, 796–803. [Google Scholar] [CrossRef]
- Phalak, K.D.; Briqech, Z.; Sebak, A. Ka-Band Antipodal Fermi-Linear Tapered Slot Antenna With a Knife. Microw. Opt. Technol. Lett. 2014, 57, 485–489. [Google Scholar] [CrossRef]
- Zhu, Q.; Ng, K.B.; Chan, C.H.; Luk, K.M. Substrate-Integrated-Waveguide-Fed Array Antenna Covering 57-71 GHz Band for 5G Applications. IEEE Trans. Antennas Propag. 2017, 65, 6298–6306. [Google Scholar] [CrossRef]
- Kumar, G.; Ray, K.P. Broadband Microstrip Antennas; Artech House Antennas and Propagation Library: London, UK, 2003; pp. 1–432. [Google Scholar]
- Dixit, A.S.; Kumar, S. The enhanced gain and cost-effective antipodal Vivaldi antenna for 5G communication applications. Microw. Opt. Technol. Lett. 2020, 62, 1–10. [Google Scholar] [CrossRef]
- Karmakar, A.; Bhattacharjee, A.; Saha, A.; Bhawal, A. Design of a fractal inspired antipodal vivaldi antenna with enhanced radiation characteristics for wideband applications. IET Microw. Antennas Propag. 2019, 13, 892–897. [Google Scholar] [CrossRef]
- Honari, M.M.; Ghaffarian, M.S.; Mirzavand, R. Miniaturized antipodal vivaldi antenna with improved bandwidth using exponential strip arms. Electronics 2021, 10, 83. [Google Scholar] [CrossRef]
- Horst, M.J.; Member, S.; Ghasr, M.T.; Member, S.; Zoughi, R. Design of a Compact V—Band Transceiver and Antenna for Millimeter-Wave Imaging Systems. IEEE Trans. Instrum. Meas. 2019, 68, 4400–4411. [Google Scholar] [CrossRef]
- Li, Z.; Kang, X.; Su, J.; Guo, Q.; Yang, Y.L.; Wang, J. A Wideband End-Fire Conformal Vivaldi Antenna Array Mounted on a Dielectric Cone. Int. J. Antennas Propag. 2016, 2016, 1–11. [Google Scholar] [CrossRef]
- Liu, C.; Yan, A.; Yu, C.; Xu, T. Improvement on a 2 × 2 Elements High-Gain Circularly Polarized Antenna Array. Int. J. Antennas Propag. 2015, 2015, 1–8. [Google Scholar] [CrossRef]
- Zhu, S.; Liu, H.; Wen, P.; Chen, Z.; Xu, H. Vivaldi Antenna Array Using Defected Ground Structure for Edge Effect Restraint and Back Radiation Suppression. IEEE Antennas Wirel. Propag. Lett. 2020, 19, 84–88. [Google Scholar] [CrossRef]
- Deng, J.Y.; Cao, R.; Sun, D.; Zhang, Y.; Yong, T.; Guo, L.X. Bandwidth Enhancement of an Antipodal Vivaldi Antenna Facilitated by Double Ridge Substrate Integrated Waveguide. IEEE Trans. Antennas Propag. 2020, 1–4. [Google Scholar] [CrossRef]
- Hirano, T.; Hirose, A. Wideband and Low Direct-Coupling Tapered Slot Antenna Using Electromagnetic Bandgap Structures. IEEE Trans. Antennas Propag. 2019, 67, 2272–2279. [Google Scholar] [CrossRef]
- Elabd, R.H.; Abdullah, H.H.; Abdelazim, M. Compact Highly Directive MIMO Vivaldi Antenna for 5G Millimeter-Wave Base Station. J. Infrared Millim. Terahertz Waves 2021, 42, 173–194. [Google Scholar] [CrossRef]
- Lee, S.; Hur, J.; Heo, M.B.; Kim, S.; Choo, H.; Byun, G. A Suboptimal Approach to Antenna Design Problems with Kernel Regression. IEEE Access 2019, 7, 17461–17468. [Google Scholar] [CrossRef]
- Moosazadeh, M. Sidelobe level reduction using Teflon for a microwave and millimetre-wave antipodal Vivaldi antenna. IET Microw. Antennas Propag. 2020, 14, 474–478. [Google Scholar] [CrossRef]
- Manoochehri, O.; Farzami, F.; Erricolo, D.; Chen, P.y. Design of a corrugated antipodal Vivaldi antenna with stable pattern. In Proceedings of the 2019 United States National Committee of URSI National Radio Science Meeting (USNC-URSI NRSM), Boulder, CO, USA, 9–12 January 2019; pp. 1–2. [Google Scholar]
- Moosazadeh, M. Comb-Shaped Slit Antipodal Vivaldi Antenna and Its Application for Detection of Void Inside Concrete Specimens. In Antipodal Vivaldi Antennas for Microwave Imaging of Construction Materials and Structures; Springer: Berlin/Heidelberg, Germany, 2019; pp. 113–130. [Google Scholar] [CrossRef]


















| Parameters | Dimensions (mm) | Parameters | Dimensions (mm) |
|---|---|---|---|
| 28.8 | 24 | ||
| 5 | 6.3 | ||
| 0.4 | 5.4 | ||
| 1 | 2 | ||
| 0.3 | 2 | ||
| 0.2 | 2 | ||
| 0.45 | 2 | ||
| 0.3 | 2 | ||
| 0.3 | 12 | ||
| 0.8 | 6.23 |
| Ref. No. | Techniques Employed | Dimensions () | Gain (dB) | Freq. Band (GHz) | |
|---|---|---|---|---|---|
| [31] | Fractal | 2.94 | 24.57 × 8.71 × 0.2 | 0–13.9 | 4.2–42 |
| [37] | SIW | 2.2 | 2.89 × 1.26 × 0.099 | 2.15–5.75 | 11.02–40 |
| [1] | Metamaterial | 2.2 | 7.81 × 3.75 × 0.102 | 9.2–11.9 | 24.15–28.5 |
| [36] | DGS | 2.2 | 7.85 × 3.77 × 0.103 | 9.42–11.44 | 24.44–28.5 |
| [33] | SIW, DL, Corrugations | 2.2 | 7.4 × 5.27 × 0.076 | 5–8 | 58–64 |
| [38] | EBG | 4.4 | 6.796 × 3.398 × 0.063 | 3–7.25 | 5–13 |
| [39] | EBG | 2.2 | 9.17 × 5.59 × 0.033 | 10.4–12.8 | 26.5–40 |
| [32] | Exponential Strip Lines | 2.5 | 7.37 × 5.84 × 0.047 | 1–12.5 | 0.72–17 |
| [41] | Slots | 3.38 | 14.296 × 5.69 × 0.0672 | 4–8.5 | 3.2–40 |
| [40] | Kernel Regression | 4.4 | 4.21 × 2.44 × 0.039 | −1–6 | 1–6 |
| [34] | Parasitic Patch | 3.5 | 5.49 × 5.13 × 0.022 | 2.5–9.8 | 2.2–12 |
| [35] | Corrugations | 2.65 | 3.24 × 2.52 × 0.036 | 9–11.5 | 2.3–11 |
| [42] | Corrugations | 3.55 | 7.91 × 3.165 × 0.061 | NG–8 | 6–18 |
| [43] | Corrugations | 3.38 | 12.16 × 7.22 × 0.03 | 6.7–15 | 1.65–18 |
| Proposed AVA Array | Corrugations | 2.2 | 4.6 × 3.83 × 0.04 | 8–13.2 | 24.19–29.15, 30.28–40.5 |
Publisher’s Note: MDPI stays neutral with regard to jurisdictional claims in published maps and institutional affiliations. |
© 2021 by the authors. Licensee MDPI, Basel, Switzerland. This article is an open access article distributed under the terms and conditions of the Creative Commons Attribution (CC BY) license (http://creativecommons.org/licenses/by/4.0/).
Share and Cite
Dixit, A.S.; Kumar, S.; Urooj, S.; Malibari, A. A Highly Compact Antipodal Vivaldi Antenna Array for 5G Millimeter Wave Applications. Sensors 2021, 21, 2360. https://doi.org/10.3390/s21072360
Dixit AS, Kumar S, Urooj S, Malibari A. A Highly Compact Antipodal Vivaldi Antenna Array for 5G Millimeter Wave Applications. Sensors. 2021; 21(7):2360. https://doi.org/10.3390/s21072360
Chicago/Turabian StyleDixit, Amruta Sarvajeet, Sumit Kumar, Shabana Urooj, and Areej Malibari. 2021. "A Highly Compact Antipodal Vivaldi Antenna Array for 5G Millimeter Wave Applications" Sensors 21, no. 7: 2360. https://doi.org/10.3390/s21072360
APA StyleDixit, A. S., Kumar, S., Urooj, S., & Malibari, A. (2021). A Highly Compact Antipodal Vivaldi Antenna Array for 5G Millimeter Wave Applications. Sensors, 21(7), 2360. https://doi.org/10.3390/s21072360

