Using the Negative Soil Adjustment Factor of Soil Adjusted Vegetation Index (SAVI) to Resist Saturation Effects and Estimate Leaf Area Index (LAI) in Dense Vegetation Areas
Abstract
1. Introduction
2. Data and Methods
2.1. Data
2.1.1. Local MODIS Time Series LAI Data
2.1.2. Global Field Measured LAI Data
- (1)
- Data cleaning: data with null values for latitude, longitude, or date of measured LAI were removed. Also, data with LAI as a range value instead of a specific value were removed; data with LAI measurements spanning over one month were removed.
- (2)
- Screening of data corresponding to dense vegetation: data with LAI values less than 4.0 were removed.
- (3)
- Screening of time range: data with a LAI measurement date range outside the Landsat-5 coverage time range were removed.
- (4)
- Removing duplicate data: some data had the same measurement time and geographical location with different LAI values. On closer examination, we found that some of these data were from measurements of different biomes. Therefore, these data were also removed as we could not establish a one-to-one relationship between LAI and VIs.
- (5)
- Matching LAI with satellite reflectance image: because the temporal accuracy of all measured LAI data is only one month, we searched all surface reflectance data for the month of Landsat-5 Tier 1 data and averaged them to obtain the final surface reflectance data. Some reflectance data could not be retrieved due to cloud cover, so their corresponding LAI data were removed.
2.2. Methods
2.2.1. Vegetation Indices
2.2.2. Time Series Analysis
2.2.3. Linear Regression
2.2.4. Exhaustive Search
3. Time Series Analysis
3.1. Seasonal Decomposition of LAI
3.2. Time Series Analysis of LAI and VIs
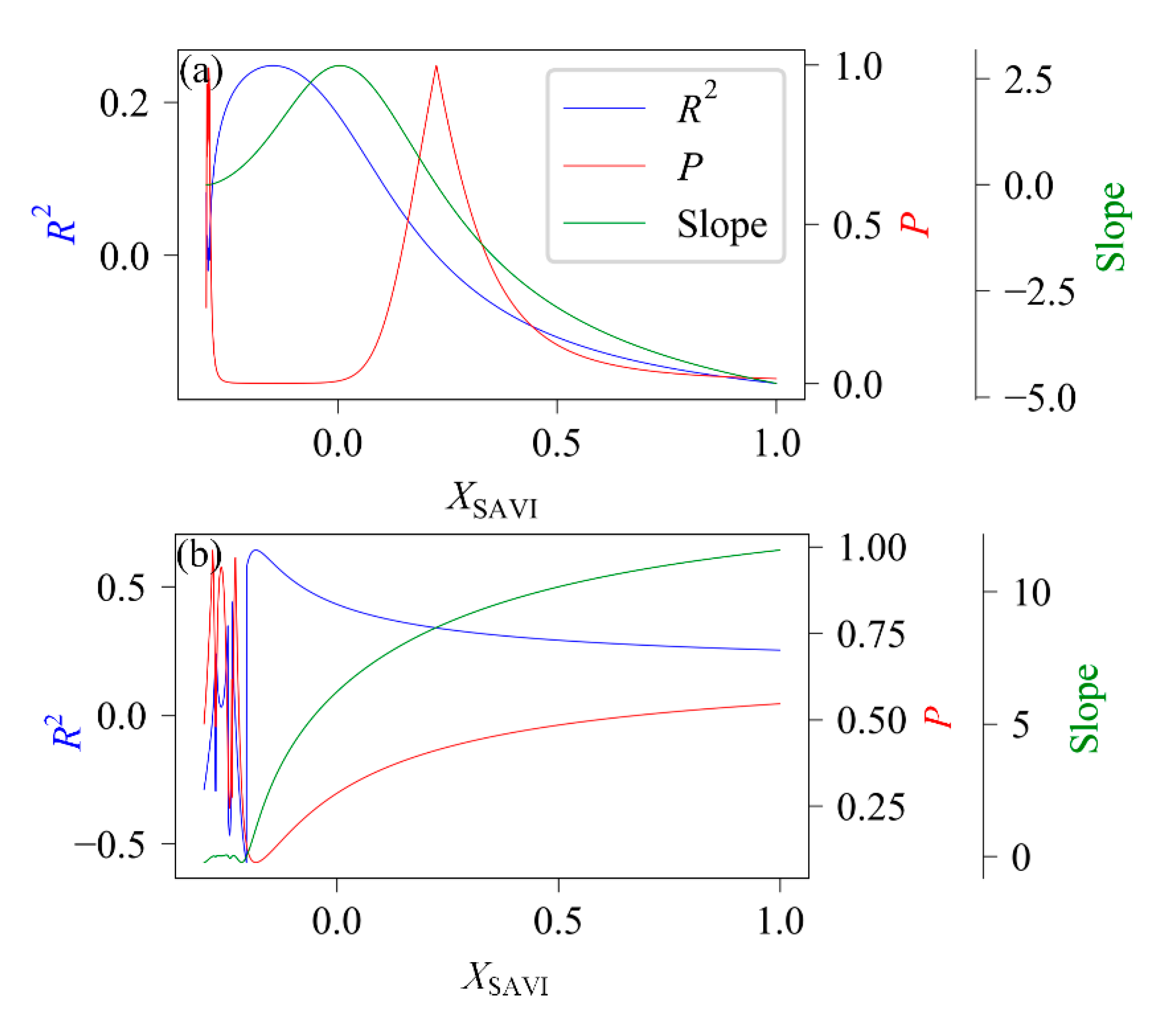
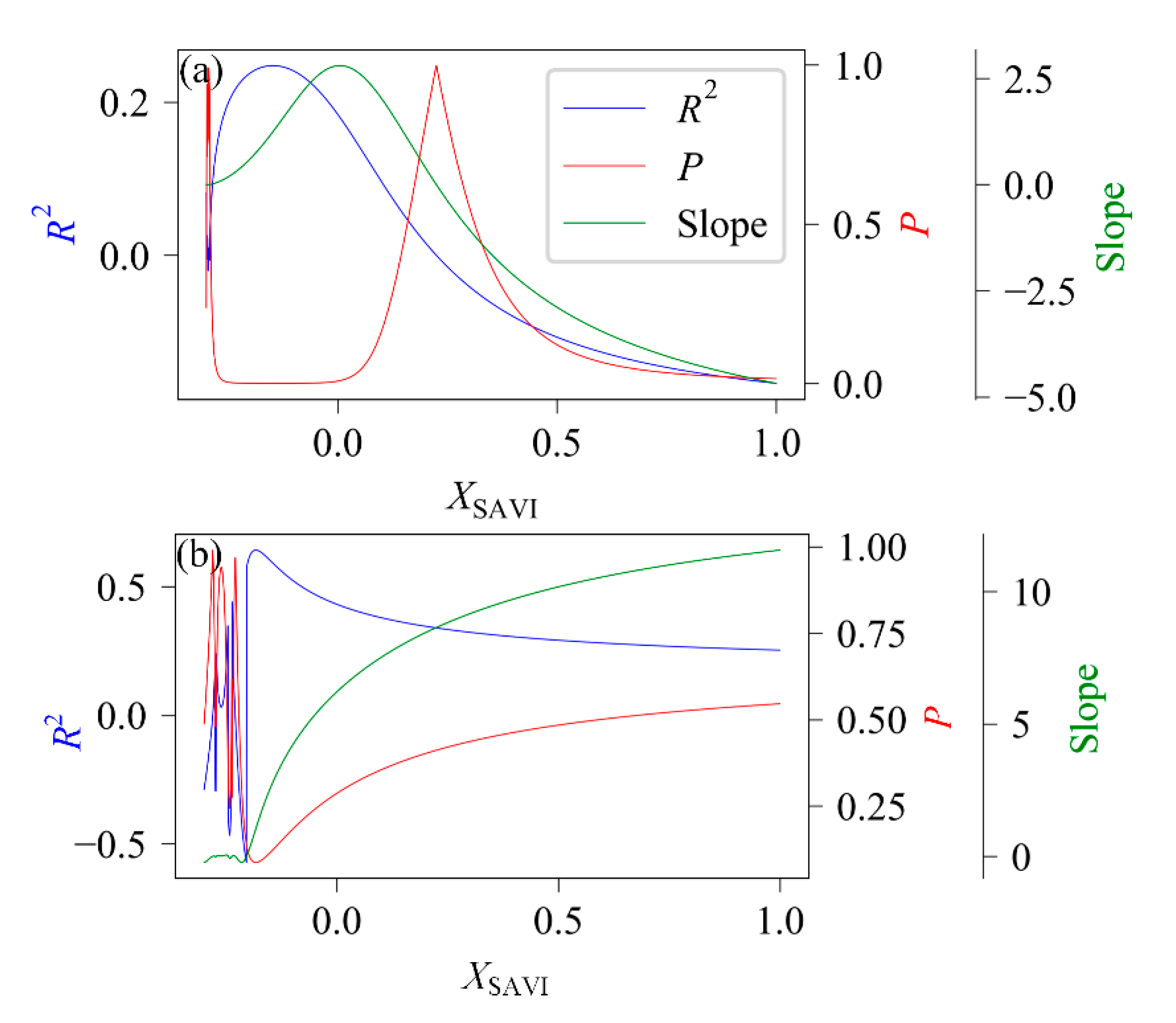
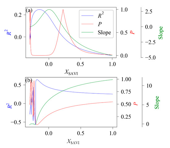
4. Optimal Soil Adjustment Factor X
4.1. Linear Regression between VIs and LAI
4.2. LAI Estimation Using SAVI with Negative Soil Adjustment Factor XSAVI
5. Discussion and Conclusions
5.1. Discussion
5.1.1. Application Condition of the Negative Soil Adjustment Factor
5.1.2. Saturation Effect
5.2. Conclusions
Author Contributions
Funding
Data Availability Statement
Acknowledgments
Conflicts of Interest
References
- Henke, M.; Huckemann, S.; Kurth, W.; Sloboda, B. Reconstructing leaf growth based on non-destructive digitizing and low-parametric shape evolution for plant modelling over a growth cycle. Silva. Fenn. 2014, 48, 1019. [Google Scholar] [CrossRef]
- Gastellu-Etchegorry, J.; Wang, Y.; Regaieg, O.; Yin, T.; Malenovsky, Z.; Zhen, Z.; Yang, X.; Tao, Z.; Landier, L.; Al Bitar, A. Why to Model Remote Sensing Measurements in 3d? Recent Advances in dart: Atmosphere, Topography, Large Landscape, Chlorophyll Fluorescence and Satellite Image Inversion. In Proceedings of the 2020 5th International Conference on Advanced Technologies for Signal and Image Processing (ATSIP), Sousse, Tunisia, 2–5 September 2020; pp. 1–6. [Google Scholar]
- Yin, T.; Gastellu-Etchegorry, J.-P.; Lauret, N.; Grau, E.; Rubio, J. A new approach of direction discretization and oversampling for 3d anisotropic radiative transfer modeling. Remote Sens. Environ. 2013, 135, 213–223. [Google Scholar] [CrossRef]
- Li, J.; Chen, S.; Qin, W.; Murefu, M.; Wang, Y.; Yu, Y.; Zhen, Z. Analysis of accuracy of modis brdf product (mcd43 c6) based on misr land surface brf product-a case study of the central part of northeast asia. Int. Arch. Photogramm. Remote Sens. Spat. Inf. Sci. 2018, 42, 819–823. [Google Scholar] [CrossRef]
- Yan, G.; Hu, R.; Wang, Y.; Ren, H.; Song, W.; Qi, J.; Ling, C. Scale effect in indirect measurement of leaf area index. IEEE Trans. Geosci. Remote Sens. 2016, 54, 3475–3484. [Google Scholar] [CrossRef]
- Gastellu-Etchegorry, J.P.; Yin, T.; Lauret, N.; Cajgfinger, T.; Gregoire, T.; Grau, E.; Feret, J.B.; Lopes, M.; Guilleux, J.; Dedieu, G. Discrete anisotropic radiative transfer (dart 5) for modeling airborne and satellite spectroradiometer and lidar acquisitions of natural and urban landscapes. Remote Sens. 2015, 7, 1667–1701. [Google Scholar] [CrossRef]
- Yan, G.; Ronghai, H.U.; Luo, J.; Xihan, M.U.; Xie, D.; Zhang, W. Review of indirect methods for leaf area index measurement (in chinese with english abstract). J. Remote Sens. 2016, 20, 958–978. [Google Scholar]
- Zhen, Z.; Chen, S.; Qin, W.; Yan, G.; Gastellu-Etchegorry, J.; Cao, L.; Murefu, M.; Li, J.; Han, B. Potentials and limits of vegetation indices with brdf signatures for soil-noise resistance and estimation of leaf area index. IEEE Trans. Geosci. Remote Sens. 2020, 58, 5092–5108. [Google Scholar] [CrossRef]
- Jordan, C.F. Derivation of leaf-area index from quality of light on the forest floor. Ecology 1969, 50, 663–666. [Google Scholar] [CrossRef]
- Tucker, C.J.; Vanpraet, C.L.; Sharman, M.J.; Van Ittersum, G. Satellite remote sensing of total herbaceous biomass production in the senegalese sahel: 1980–1984. Remote Sens. Environ. 1985, 17, 233–249. [Google Scholar] [CrossRef]
- Huete, A.R. A soil-adjusted vegetation index (savi). Remote Sens. Environ. 1988, 25, 295–309. [Google Scholar] [CrossRef]
- Baret, F.; Guyot, G. Potentials and limits of vegetation indices for lai and apar assessment. Remote Sens. Environ. 1991, 35, 161–173. [Google Scholar] [CrossRef]
- Qi, J.; Chehbouni, A.; Huete, A.R.; Kerr, Y.H.; Sorooshian, S. A modified soil adjusted vegetation index. Remote Sens. Envrion. 1994, 48, 119–126. [Google Scholar] [CrossRef]
- Zhen, Z.; Chen, S.; Qin, W.; Li, J.; Mike, M.; Yang, B. A modified transformed soil adjusted vegetation index for cropland in jilin province, china. Acta Geol. Sin. Engl. Ed. 2019, 93, 173–176. [Google Scholar] [CrossRef]
- Rondeaux, G.; Steven, M.; Baret, F. Optimization of soil-adjusted vegetation indices. Remote Sens. Environ. 1996, 55, 95–107. [Google Scholar] [CrossRef]
- Gilabert, M.A.; González-Piqueras, J.; García-Haro, F.J.; Meliá, J. A generalized soil-adjusted vegetation index. Remote Sens. Environ. 2002, 82, 303–310. [Google Scholar] [CrossRef]
- Kaufman, Y.J.; Tanre, D. Atmospherically resistant vegetation index (arvi) for eos-modis. IEEE Trans. Geosci. Remote Sens. 1992, 30, 261–270. [Google Scholar] [CrossRef]
- Pinty, B.; Verstraete, M.M. Gemi: A non-linear index to monitor global vegetation from satellites. Vegetatio 1992, 101, 15–20. [Google Scholar] [CrossRef]
- Huete, A.R.; Liu, H.Q.; Batchily, K.; Leeuwen, W.V. A comparison of vegetation indices over a global set of tm images for eos-modis. Remote Sens. Environ. 1997, 59, 440–451. [Google Scholar] [CrossRef]
- Huete, A.R.; Liu, H.; van Leeuwen, W.J. The Use of Vegetation Indices in Forested Regions: Issues of Linearity and Saturation. In Proceedings of the IGARSS’97. 1997 IEEE International Geoscience and Remote Sensing Symposium Proceedings. Remote Sensing-A Scientific Vision for Sustainable Development, Singapore, 3–8 August 1997; pp. 1966–1968. [Google Scholar]
- Unsalan, C.; Boyer, K.L. Linearized vegetation indices based on a formal statistical framework. IEEE Trans. Geosci. Remote Sens. 2004, 42, 1575–1585. [Google Scholar] [CrossRef]
- Jiang, Z.; Huete, A.R.; Li, J.; Chen, Y. An analysis of angle-based with ratio-based vegetation indices. IEEE Trans. Geosci. Remote Sens. 2006, 44, 2506–2513. [Google Scholar] [CrossRef]
- Gitelson, A.A. Wide dynamic range vegetation index for remote quantification of biophysical characteristics of vegetation. J. Plant Physiol. 2004, 161, 165–173. [Google Scholar] [CrossRef]
- Vaiopoulos, D.; Skianis, G.; Nikolakopoulos, K. The contribution of probability theory in assessing the efficiency of two frequently used vegetation indices. Int. J. Remote Sens. 2004, 25, 4219–4236. [Google Scholar] [CrossRef]
- Unidade de Conservação: Parque Nacional do Juruena. (In Portuguese). Available online: http://sistemas.mma.gov.br/cnuc/index.php?ido=relatorioparametrizado.exibeRelatorio&relatorioPadrao=true&idUc=281 (accessed on 11 March 2021).
- Mutanga, O.; Kumar, L. Google earth engine applications. Remote Sens. 2019, 11, 591. [Google Scholar] [CrossRef]
- Kumar, L.; Mutanga, O. Google earth engine applications since inception: Usage, trends, and potential. Remote Sens. 2018, 10, 1509. [Google Scholar] [CrossRef]
- Gorelick, N.; Hancher, M.; Dixon, M.; Ilyushchenko, S.; Thau, D.; Moore, R. Google earth engine: Planetary-scale geospatial analysis for everyone. Remote Sens. Environ. 2017, 202, 18–27. [Google Scholar] [CrossRef]
- Henrich, V.; Krauss, G.; Götze, C.; Sandow, C. The Indexdatabase. Available online: https://www.indexdatabase.de/ (accessed on 12 March 2021).
- Richter, R.; Louis, J.; Müller-Wilm, U. Sentinel-2 msi—level 2a products algorithm theoretical basis document. ESASP 2012, 49, 1–72. [Google Scholar]
- Li, J.; Chen, S.; Qin, W.; Useya, J.; Zhen, Z.; Wang, Y. A fast reprojection method for modis products with sinusoidal projection. J. Indian Soc. Remote Sens. 2018, 46, 1563–1567. [Google Scholar] [CrossRef]
- Scurlock, J.; Asner, G.; Gower, S. Global Leaf Area Index from Field Measurements, 1932–2000; Oak Ridge National Laboratory Distributed Active Archive Center: Oak Ridge, TN, USA, 2001.
- Hamilton, J.D. Time Series Analysis; Princeton University Press: Princeton, NJ, USA, 1994. [Google Scholar]
- Hirsch, R.M.; Slack, J.R. A nonparametric trend test for seasonal data with serial dependence. Water Resour. Res. 1984, 20, 727–732. [Google Scholar] [CrossRef]
- Montgomery, D.C.; Peck, E.A.; Vining, G.G. Introduction to Linear Regression Analysis; Wiley-Interscience: Hoboken, NJ, USA, 2016. [Google Scholar]
- Hasegawa, K.; Matsuyama, H.; Tsuzuki, H.; Sweda, T. Improving the estimation of leaf area index by using remotely sensed ndvi with brdf signatures. Remote Sens. Environ. 2010, 114, 514–519. [Google Scholar] [CrossRef]
- Weisstein, E.W. Exhaustive Search. Available online: https://mathworld.wolfram.com/ExhaustiveSearch.html (accessed on 11 March 2021).
- Ren, H.; Zhou, G.; Zhang, F. Using negative soil adjustment factor in soil-adjusted vegetation index (savi) for aboveground living biomass estimation in arid grasslands. Remote Sens. Environ. 2018, 209, 439–445. [Google Scholar] [CrossRef]
- Gastellu-Etchegorry, J.-P.; Lauret, N.; Yin, T.; Landier, L.; Kallel, A.; Malenovský, Z.; Al Bitar, A.; Aval, J.; Benhmida, S.; Qi, J. Dart: Recent advances in remote sensing data modeling with atmosphere, polarization, and chlorophyll fluorescence. IEEE J. Sel. Top. Appl. Earth Observ. 2017, 10, 2640–2649. [Google Scholar] [CrossRef]
- Gastellu-Etchegorry, J.-P.; Yin, T.; Lauret, N.; Grau, E.; Rubio, J.; Cook, B.D.; Morton, D.C.; Sun, G. Simulation of satellite, airborne and terrestrial lidar with dart (i): Waveform simulation with quasi-monte carlo ray tracing. Remote Sens. Environ. 2016, 184, 418–435. [Google Scholar] [CrossRef]
- Gastellu-Etchegorry, J.P.; Lauret, N.; Yin, T.; Landier, L.; Al, B.A.; Guilleux, J.; Jan, C.; Chavanon, E. Dart: Radiative transfer modeling for simulating terrain, airborne and satellite spectroradiometer and lidar acquisitions and 3d radiative budget of natural and urban landscapes. In Proceedings of the 2016 IEEE International Geoscience and Remote Sensing Symposium (IGARSS), Beijing, China, 10–15 July 2016; pp. 3632–3635. [Google Scholar]
- Gastellu-Etchegorry, J.P.; Demarez, V.; Pinel, V.; Zagolski, F. Modeling radiative transfer in heterogeneous 3-d vegetation canopies. Remote Sens. Environ. 1996, 58, 131–156. [Google Scholar] [CrossRef]
- Gastellu-Etchegorry, J.P.; Bruniquel-Pinel, V. A modeling approach to assess the robustness of spectrometric predictive equations for canopy chemistry. Remote Sens. Environ. 2001, 76, 1–15. [Google Scholar] [CrossRef]
- Yin, T.; Lauret, N.; Gastellu-Etchegorry, J.P. Simulation of satellite, airborne and terrestrial lidar with dart (ii): Als and tls multi-pulse acquisitions, photon counting, and solar noise. Remote Sens. Environ. 2016, 184, 454–468. [Google Scholar] [CrossRef]
- Yin, T.; Feret, J.B.; Gastellu-Etchegorry, J.P.; Lauret, N. Data simulation and fusion of imaging spectrometer and lidar multi-sensor system through dart model. In Proceedings of the 2016 IEEE International Geoscience and Remote Sensing Symposium (IGARSS), Beijing, China, 10–15 July 2016; pp. 3640–3643. [Google Scholar]
- Yin, T.; Kotthaus, S.; Gastellu-Etchegorry, J.-P.; Morrison, W.; Norford, L.; Grimmond, C.; Lauret, N.; Chrysoulakis, N.; Al Bitar, A.; Landier, L. Atmospheric correction of ground-based thermal infrared camera through dart model. In Proceedings of the IGARSS 2017—2017 IEEE International Geoscience and Remote Sensing Symposium, Fort Worth, TX, USA, 23–28 July 2017; pp. 5885–5888. [Google Scholar]
- Gascon, F.; Gastellu-Etchegorry, J.P.; Leroy, M. Using multi-directional high-resolution imagery from polder sensor to retrieve leaf area index. Int. J. Remote Sens. 2007, 28, 167–181. [Google Scholar] [CrossRef]
- Gascon, F.; Gastellu-Etchegorry, J.P.; Lefevre-Fonollosa, M.J.; Dufrene, E. Retrieval of forest biophysical variables by inverting a 3-d radiative transfer model and using high and very high resolution imagery. Int. J. Remote Sens. 2004, 25, 5601–5616. [Google Scholar] [CrossRef]
- Ren, H.; Zhou, G.; Zhang, X. Estimation of green aboveground biomass of desert steppe in inner mongolia based on red-edge reflectance curve area method. Biosys. Eng. 2011, 109, 385–395. [Google Scholar] [CrossRef]
- Mutanga, O.; Skidmore, A.K. Narrow band vegetation indices overcome the saturation problem in biomass estimation. Int. J. Remote Sens. 2004, 25, 3999–4014. [Google Scholar] [CrossRef]






| Site Name | Latitude (°) | Longitude (°) | LAI | Date |
|---|---|---|---|---|
| BOREAS NSA/OJP, Thompson | 55.92 | −98.62 | 4.38 | July 1994 |
| BOREAS NSA/OBS, Thompson | 55.91 | −98.45 | 4.06 | July 1994 |
| BOREAS NSA, Thompson | 55.91 | −98.52 | 8.41 | July 1994 |
| BOREAS NSA, Thompson | 55.80 | −98.00 | 6.21 | July 1994 |
| BOREAS NSA, Thompson | 55.75 | −97.80 | 5.44 | July 1994 |
| BOREAS SSA, Prince Albert | 54.06 | −105.93 | 10.59 | August 1994 |
| Arakawa River, Urawa | 35.83 | 139.62 | 4.24 | September 1985 |
| Westvaco, Summerville, SC | 33.20 | −80.25 | 10.4 | February 1991 |
| Parameters | Value |
|---|---|
| Test Statistic | −6.979 |
| MacKinnon’s approximate p-value | 8.281 × 10−10 |
| Lags Used | 1 |
| Number of Observations Used | 26 |
| Critical value (1%) | −3.711 |
| Critical value (5%) | −2.981 |
| Critical value (10%) | −2.630 |
| VIs | LAI Type | Slope | Interception | R2 | P * |
|---|---|---|---|---|---|
| NDVI | MODIS LAI | 2.4769 | 3.1819 | 0.1632 | 0.0173 |
| Field measured LAI | 6.2097 | 3.4104 | 0.4313 | 0.2860 | |
| SAVI | MODIS LAI | −2.4165 | 6.4499 | −0.0904 | 0.1894 |
| Field measured LAI | 10.1760 | 3.9748 | 0.2915 | 0.4836 | |
| TSAVI | MODIS LAI | 1.0364 | 4.7082 | 0.0454 | 0.5103 |
| Field measured LAI | 7.6553 | 4.9714 | 0.3386 | 0.4120 | |
| EVI | MODIS LAI | −3.0249 | 6.8936 | −0.1504 | 0.0285 |
| Field measured LAI | 4.4827 | 5.3874 | 0.1017 | 0.8106 |
Publisher’s Note: MDPI stays neutral with regard to jurisdictional claims in published maps and institutional affiliations. |
© 2021 by the authors. Licensee MDPI, Basel, Switzerland. This article is an open access article distributed under the terms and conditions of the Creative Commons Attribution (CC BY) license (http://creativecommons.org/licenses/by/4.0/).
Share and Cite
Zhen, Z.; Chen, S.; Yin, T.; Chavanon, E.; Lauret, N.; Guilleux, J.; Henke, M.; Qin, W.; Cao, L.; Li, J.; et al. Using the Negative Soil Adjustment Factor of Soil Adjusted Vegetation Index (SAVI) to Resist Saturation Effects and Estimate Leaf Area Index (LAI) in Dense Vegetation Areas. Sensors 2021, 21, 2115. https://doi.org/10.3390/s21062115
Zhen Z, Chen S, Yin T, Chavanon E, Lauret N, Guilleux J, Henke M, Qin W, Cao L, Li J, et al. Using the Negative Soil Adjustment Factor of Soil Adjusted Vegetation Index (SAVI) to Resist Saturation Effects and Estimate Leaf Area Index (LAI) in Dense Vegetation Areas. Sensors. 2021; 21(6):2115. https://doi.org/10.3390/s21062115
Chicago/Turabian StyleZhen, Zhijun, Shengbo Chen, Tiangang Yin, Eric Chavanon, Nicolas Lauret, Jordan Guilleux, Michael Henke, Wenhan Qin, Lisai Cao, Jian Li, and et al. 2021. "Using the Negative Soil Adjustment Factor of Soil Adjusted Vegetation Index (SAVI) to Resist Saturation Effects and Estimate Leaf Area Index (LAI) in Dense Vegetation Areas" Sensors 21, no. 6: 2115. https://doi.org/10.3390/s21062115
APA StyleZhen, Z., Chen, S., Yin, T., Chavanon, E., Lauret, N., Guilleux, J., Henke, M., Qin, W., Cao, L., Li, J., Lu, P., & Gastellu-Etchegorry, J.-P. (2021). Using the Negative Soil Adjustment Factor of Soil Adjusted Vegetation Index (SAVI) to Resist Saturation Effects and Estimate Leaf Area Index (LAI) in Dense Vegetation Areas. Sensors, 21(6), 2115. https://doi.org/10.3390/s21062115

