Abstract
Given the high prevalence and detrimental effects of unintentional falls in the elderly, fall detection has become a pertinent public concern. A Fall Detection System (FDS) gathers information from sensors to distinguish falls from routine activities in order to provide immediate medical assistance. Hence, the integrity of collected data becomes imperative. Presence of missing values in data, caused by unreliable data delivery, lossy sensors, local interference and synchronization disturbances and so forth, greatly hamper the credibility and usefulness of data making it unfit for reliable fall detection. This paper presents a noise tolerant FDS performing in presence of missing values in data. The work focuses on Deep Learning (DL) particularly Recurrent Neural Networks (RNNs) with an underlying Bidirectional Long Short-Term Memory (BiLSTM) stack to implement FDS based on wearable sensors. The proposed technique is evaluated on two publicly available datasets—SisFall and UP-Fall Detection. Our system produces an accuracy of 97.21% and 97.41%, sensitivity of 96.97% and 99.77% and specificity of 93.18% and 91.45% on SisFall and UP-Fall Detection respectively, thus outperforming the existing state of the art on these benchmark datasets. The resultant outcomes suggest that the ability of BiLSTM to retain long term dependencies from past and future make it an appropriate model choice to handle missing values for wearable fall detection systems.
1. Introduction
The Internet of Things (IoT) has established itself as an indispensable part of current age of user centric connectivity. It is an evolving paradigm that connects the diverse utilities around us to the Internet by making use of wireless/wired technologies. IoT can be viewed as an intelligent global network with inter-operable components consisting of self-configuring capabilities that connect billions of devices via the Internet, making it a highly heterogeneous ecosystem. According to the 2020 conceptual framework [1], the IoT can be expressed as a straightforward formula
The fundamental principles of interconnection in IoT allow access to remote sensor data and control of complex physical environment from a distance that inherently permits efficient decision making, realistic automation, pragmatic productivity, greater wealth generation and enhanced public safety. The domain of IoT covers a widespread spectrum of daily life applications such as intelligent transportation, business intelligence and big data analytics, smart healthcare facilities, intelligent monitoring, positioning and navigation and smart logistics and so forth. The potential impact of IoT is predicted to bring forward surplus business opportunities and to expand the economic growth of IoT based services. According to a report published by McKinsey [2], the annual economic implications of IoT in 2025 would amount to $3.9 trillion to $11.1 trillion a year. About 41% of this market share is earned by IoT based healthcare services. In the recent years, the field of medicine and healthcare have greatly benefited from the evolutionary advancements in sensor technologies and IoT providing user friendly and efficient services to patients. So much so that the term “Internet of Medical Things (IoMT)” has been coined. These innovative developments include Human Activity Recognition (HAR) systems, smart movement detectors, fitness tracking, indigestible sensors, asset management systems, personalized emergency response systems, Fall Detection Systems (FDS), diagnostics, development of robust EHR systems and so forth.
The World Health Organization (WHO) defines a fall as an occurrence of a subject coming at rest with the ground level or lower. Unintentional falls can occur due to various reasons like accidental situations, performing high risk strenuous activities, subject surrounding factors like slippery floors, physical factors like loss of consciousness, tripping, poor balance, effects of wrong or overdose of medication and so forth. The impact and detrimental effects caused by a fall are dependent on the severity of the fall, age and physical well being of the subject experiencing the fall. For example, a standard fall will have varying effects on elderly patients as compared to younger audience. After road traffic injuries, unintentional falls related injuries make up for the major cause of death with an approximation of 650,000 fatal falls occurring each year. Falls are considered as a fatal threat to morbidity and mortality of elderly people. Around the world, mortality estimates are highest among elderly population of 60 years and above. Approximately 50% of injury-related hospital admissions are observed in the elderly of 65 or more. As a result, an estimated 40% of the injury-related deaths occur due to falls in the senior population [3].
The advancement in micro sensors integrated with microelectromechanical technology and IoT have paved way for research in mobile healthcare monitoring like FDSs. FDSs integrate the basics of an IoT network including wide scale streaming data, heterogeneity, correlation of space and time and highly noisy data management to promptly identify occurrence of falls and provide timely assistance by issuing alarm notifications to concerned healthcare providers. A typical FDS relies on information provided by context aware or wearable systems to distinguish between falls and Activities of Daily Life (ADL) [4]. Vision based context aware systems utilize computer vision [5], depth images [6], background separation [7], shape variation [8], 3D silhouette vertical distribution [9] for fall detection. Fall detection techniques relying on ambience based context aware systems utilize floor vibration patterns [10], sound height information [11], proximity sensors [12] and thermal imaging techniques [13]. Wireless wearable sensors play a fundamental part in an IoT environment to help digitize quantities of the physical world like temperature, pressure, humidity, acceleration and so forth. An alternative to external sensors such as Passive Infrared (PIR) sensors, thermographic cameras, proximity sensors and floor vibration detectors and so forth, body mounted wearable sensors are fastened to the body of subject of interest. These sensors, collecting important data related to the patient’s body movement make up for an efficient solution for fall detection with their low costs, weight, small size, low power usage and convenience in portability. Commonly used wearable sensors include accelerometer, heart rate sensor, gyroscope and magnetometer. Table 1 summarizes the strengths and weaknesses of the mentioned fall detection approaches.
Table 1.
Strengths and Weaknesses of Different Fall Detection Approaches.
A pressing challenge faced in sensor accumulated data is observance of missing values. Missingness in sensor data can appear due to unreliable data delivery, synchronization mismatch, local interference and lossy sensor devices and so forth. Presence of missing values complicate drawing insightful inferences from data, degrading the performance of FDS leading to inaccurate, faulty outcomes. Dealing with such type of insufficient, incomplete sensor data based monitoring system can prove fatal for patient health and safety. Such sensor failures can be overcome by adding analytical redundancies to replace faulty sensors with estimation methods. In this regard, various fault tolerant systems have been proposed such as Napolitano et al. [14], that employs a neural network based estimators to perform sensor failure detection and identification (SFDI) and sensor failure accommodation (SFA); ref. [15] presents a similar approach based on fully connected cascade neural network (FCC NN) architecture which relies on neuron by neuron learning algorithm for training of the model. Similarly, deep learning based methods such as specialized denoising auto-encoder have also been proposed [16]. A sequence-to-sequence missing values imputation (SSIM) novel architecture based on deep learning approaches is proposed using LSTM in [17]. Association rule mining based approaches have also been proposed to deal with missing values in sensor data streams [18]. The approaches mentioned in [19] study the multi-feature combinations for sensor based human activity recognition.
In this work, we handle fall detection as a sequence classification problem using deep learning techniques and propose a noise tolerant, wearable sensor based FDS working in presence of missing values. The research analyzes different mechanisms of existence of missing values in data which affect the data authenticity and the quality of quantitative results drawn from it. Three realistic cases of loss in sensor data are presented with varying proportions of multivariate missingness generated through Missing Completely at Random (MCAR) mechanism. The proposed technique uses stacked Bidirectional Long Short-Term Memory (BiLSTM) blocks in many-to-one configuration, trained on data from multimodal and unimodal sources, to detect falls. Comparison with deep learning techniques like Long Short-Term Memory units (LSTM), Gated Recurrent Units (GRU), Convolutional Neural Networks (CNN), Random Forest, Support Vector Machine (SVM) and K-Nearest-Neighbours (KNN) demonstrate the ability of the proposed NT-FDS to produce satisfactory results for fall detection in presence of missing values.
This paper is organized as follows—firstly, Section 2 covers a comprehensive literature review with existing solutions for fall detection and related works. Section 3 describes in detail the proposed fall detection mechanism while Section 4 reports the analytical results and performance evaluation of the proposed solution. Finally, Section 5 concludes the paper.
2. Related Work
This section presents a brief overview of existing work in the domain of Fall Detection using Wearable Sensors, Deep Learning based methods for Fall Detection and Methods to deal with the data loss in Wearable Sensors.
2.1. Fall Detection Using Wearable Sensors
Wearable sensor technology is unarguably the most employed method for reliable fall detection. An alternative to external sensors, body mounted wearable sensors are fastened to the body of subject of interest at different locations. Commonly used wearable sensors include accelerometer, heart rate sensor, gyroscope, magnetometer and so forth. Tri-axial accelerometer with X, Y and Z axes are used to determine the location of the body and its motion by determining the change in velocity. Fall detection relies on the sudden increase of negative acceleration caused by shift in orientation from upright to lying flat position. Lai et al. [20] proposed an integrated technique to detect fall incidents in the elderly as well as the joint sensing of the injured body part in case of fall. A fall is traced when the acceleration obtained by the tri-axial accelerometer exceeds the normal acceleration range significantly. The gathered information is wireless transferred to a computer for further analysis. Wang et al. [21] proposed a threshold reliant fall detection mechanism by accumulating data from various sensory devices. Combined data from accelerometer, cardiotachometer and smart sensors are used to approach a high detection accuracy of 97.5%. Casilari et al. [22] assess the effectiveness of machine learning techniques like Convolutional Neural Network (CNN) when applied to acceleration data for fall detection. The proposed technique reduces the preprocessing cost by allowing CNN to automatically extract features from complex sensor data rather than feeding custom-made features to the model.
Gyroscope sensors measure the angular velocity which is the change in rotational angle per unit of time. Most research approaches incorporate a combination of multiple sensors when using gyroscope to track angular velocity while few use gyroscopes exclusively for fall detection. Bourke et al. [23] proposed a threshold reliant algorithm for detecting fall events by using information from a bi-axial gyroscope sensor array. The approach sets thresholds for resultant values of trunk angle, angular velocity and angular acceleration each. In case of an event surpassing these set thresholds, alarms are triggered, and a fall is detected. The proposed system attains a robust 100% accuracy of distinguishing falls from ADL when data analysis is performed using MATLAB.
Approaches such as [24] used multiple sensors to detect falls where gyroscopes and accelerometer-derived posture information are used to reduce both false positives (e.g., sitting down fast) and false negatives (e.g., falling on stairs) with low computational costs and fast response to improve fall detection accuracy. Nyan et al. [25] studied body segment kinematics to detect falls in a body area network of wearable inertial sensors (3D accelerometers and 2D gyroscope). Martinez-Villaseñor et al. [26] proposed data accumulation through multimodal sensors to configure a fall detection system which works on different combination of sensors to identify falls. The deployed sensors include wearable sensors (tri-axis accelerometer, gyroscope and light intensity), an electroencephalograph helmet, infrared sensors, and cameras in lateral and front viewpoints. Machine learning methods including support vector machines (SVM), random forest (RF), multilayer perceptron (MLP) and k-nearest neighbors (KNN) are used for classification of falls and ADL.
Multi-sensor fusion is an approach to integrate information from different sensor sources to formulate a unified picture. In comparison to a single sensor method, multi-sensor fusion approach is set to produce robust measurements and accurate detection. Li et al. [27] propose a combination of wearable tri-axial accelerometer and context aware sensors like a depth camera and a micro-Doppler radar for fusion system-based fall detection. The fusion of mentioned heterogeneous sensors results in improvement of overall performance with overall classification accuracy increasing up to 91.3%. Pierleoni et al. [28] employ accelerometer, gyroscope, barometer and magnetometer to detect fusion based falls with a quaternion filter extracting acceleration relative to Earth’s frame. Thresholding standards, applied on several features like altitude, angular velocity and acceleration deliver a 100% sensitivity and a 99% specificity for fall detection.
Embedded sensors in the smartphones are recently used for fall detection instead of carrying additional body worn sensors. He et al. [29] discussed the challenges faced by conventional body worn sensors when detecting falls and propose a fall detecting mechanism by integrating Fisher’s discriminant ratio criterion and J3 criterion to create an algorithm for feature selection. The method utilizes built-in kinematic sensors for data accumulation. A hierarchical classifier used to classify human activities reaches an accuracy of 95.03%, proving the practicality of utilizing embedded smartphone sensors for fall detection.
2.2. Deep Learning Techniques for Wearable Sensors Based Fall Detection
Recently applications of Deep Learning, with their ability to deliver remarkable results in comparison to extracting features manually, are commonly used for HAR and fall detection. DL approaches can compute adequate features without systematic analysis and expert knowledge of the feature space. Such techniques allow stacking of hidden layers to extract highly abstract features and make better re-use of learned features.
Mauldin et al. [30] proposed an Android application called SmartFall which utilizes accelerometer data gathered from a smartwatch to identify incidents of fall. The proposed DL model based on RNN and CNN outperforms SVM and Naïve Bayes by spontaneously learning subtle features from unprocessed data. Musci et al. [31] proposed an online FDS based on the publicly available SisFall dataset using RNN. Preprocessed raw data is fed to stacked LSTM layers followed by a fully connected layer. Additional batch normalization and dropout layers configured with a weighted cross entropy loss function are inserted in the neural network. The model attains 97.16% and 94.14% accuracy for falls and ADLs respectively. Perejón et al. [32] proposed a real time fall detection using wearable accelerometers. Four different architectures using RNNs with underlying LSTM and Gated Recurrent Units (GRU) blocks were analyzed using the SisFall dataset at different frequencies. Torti et al. [33] propose an RNN based remote monitoring system suitable for an embedded implementation on a micro-controller unit. General formulas for power consumption, power computation and memory determination are presented and validated through implementation on a sensor development kit. Wang et al. [34] analyze various lightweight and shallow neural networks that require lesser storage and computational resources. The research concludes with a lightweight supervised convolutional neural network achieving 99.9% detection accuracy for resource constraint wearable sensors. Table 2 summarizes the recent works applying deep learning techniques on wearable sensor based fall detection.
Table 2.
Summary of most recent techniques for wearable fall detection using deep learning.
2.3. Methods to Deal with Loss of Sensor Data
Napolitano et al. [14] proposed a fault tolerant system to cater for two specific requirements: sensor failure detection and identification (SFDI) and sensor failure accommodation (SFA) by employing online learning neural networks estimators. A decentralized neural network accommodates a sensor failure by supplying an estimate for the failed sensor. The authors in [15] use a similar approach based on fully connected cascade neural network (FCC NN) architecture which relies on neuron by neuron learning algorithm for training of the model. The proposed sensor failure detection, identification and accommodation (SFDIA) scheme achieves a 99% detection accuracy for failures in pitch, roll, and yaw rate gyro sensors of an airplane. Basic statistical investigation techniques like expectation maximization, maximum likelihood, mean/mode/median substitutions, multiple imputations, pairwise and list-wise deletions seem unfit for sensor data environments based on accounts of inefficiency and inconsideration of temporal factors. Recent approaches to deal with missing values in sensor data streams include estimation using freshness association rule mining (FARM) to relate intrinsic characteristics between sensors when imputing missing values [18].
Jaques et al. [16] proposed a deep learning technique using a specialized denoising autoencoder to cater for missing values observed in multimodal data. Comparison with techniques like principal components analysis (PCA) demonstrate the ability of multimodal autoencoder (MMAE) to predict the feature values from multiple missing modalities effectively. Zhang et al. [17] proposed a sequence-to-sequence missing values imputation (SSIM) novel architecture based on deep learning approaches. Their technique utilizes LSTM with a a variable-length sliding window algorithm, allowing SSIM to be used on smaller datasets as well. Hossein et al. [19] explored different feature combinations when working with missing values in sensor-based human activity recognition. The proposed feature-based approach uses mean, variance, skewness and kurtosis as statistical features along with Naïve Bayes and RF classifiers on the HASC benchmark dataset to produce satisfactory recognition results.
3. Proposed Framework: NT-FDS a Noise Tolerant Fault Detection System
The aim of this research is to propose an accurate and precise fall detection mechanism while handling the disturbances caused by missing values observed in wearable sensor data. The adopted method relies on a DL approach, treating fall detection as a sequence classification problem in time series data. The proposed methodology is shown in Figure 1.
Figure 1.
Proposed Framework: Noise Tolerant Fall Detection System (NT-DFS) A Noise Tolerant Fault Detection System.
3.1. Datasets
The presented research is performed on wearable sensor datasets that have following characteristics—public availability of raw data, detailed documentation of performed activities and incorporation of both ADLs and falls in the activities performed. The datasets mentioned in the Table 3 meet the mentioned premises. For the purpose of this research, datasets acquired through inbuilt smartphone sensors were neglected. An underlying drawback of using smartphones for detecting falls could be the loose connection between the device and the subject’s body depending upon the placement of the smartphone. This could lead to the invalidity of produced results. Among the mentioned datasets in Table 3, two have been selected as the most appropriate choice: SisFall dataset and UP-Fall Detection dataset.
Table 3.
List of publicly available datasets considered for Fall Detection System.
SisFall dataset is chosen since it contains the largest amount of data and heterogeneity in ADLs and subjects. The other datasets exclude the elderly population and have limited diversity in context of performed activities and number of subjects. This dataset is created by conducting a survey on 15 adults of 60 years of age and above for the psycho-physic program of the Universidad de Antioquia, and 17 retirement homes. 38 volunteers divided into two groups of young and elderly collaborated for the dataset. Details of each group are given in Table 4. Detailed descriptions of performed activities and snapshots of activities video shown in Table 5 and Figure 2 respectively. All these subjects performed 19 different ADLs and 15 categories of falls carried out over multiple trials.
Table 4.
Age, height, weight of the participating subjects in SisFall dataset.
Table 5.
List of activities (Falls and Activities of Daily Life (ADL)) performed in the SisFall dataset.
Figure 2.
Snapshots from video footage of performed activities.
The UP-Fall Detection dataset contains data from various sources: wearable sensors (tri-axial accelerometer and gyroscope, electroencephalograph headset), ambient luminosity sensors and context-aware infrared sensors. For the purpose of this research, we have chosen a subset of UP-Fall Detection dataset containing wearable tri-axial accelerometer and tri-axial gyroscope sensory values. The dataset includes standard sensor placement positions like waist, chest and foot as well as left wrist and thigh(pocket) simulating wearing a smart watch and placing a smart phone inn pocket, respectively. The subjects were made to perform 11 (5 falls and 6 ADL) different activities. Statistical summary of the subjects is given in Table 6. Each activity was performed for three trials by all the volunteered subjects. Falls were performed for a duration of 10 s whereas ADL had variable duration. The details of the performed activities are given in Table 7.
Table 6.
Age, height, weight of the participating subjects in UP-Fall dataset.
Table 7.
List of activities (Falls and ADL) performed in the UP-Fall Detection dataset.
3.2. Preprocessing
Data preprocessing is a key step that reshapes data into desired clean formats that can be feasible for analysis later. The two datasets contain in-equal number of performed ADL and falls along with variable duration and number of trials per activity. This non-uniformity in the data can lead to biased learning during the training and validation phases resulting in inaccurate picture for identifying falls. In order to balance the collected data generated from each source, duration of execution for all the activities are analyzed. In case of SisFall dataset the minimum duration for an activity that is, (12 s) is chosen as the standard window size. For UP-Fall Detection dataset minimum duration of 10 seconds is used as the standard.
The next task carried out for the preprocessing of data is data annotation. The original SisFall dataset files contain tri-axial data from 3 sensors while the UP-Fall Detection dataset consists of tri-axial data from 5 sensors. The annotated versions of the datasets created for the selected subjects include the addition of activity and user ID labels in order to facilitate data analysis later. The classes include:
- Fall: this class characterizes the activity intervals when the subject suffers a dangerous state transition leading to a harmful shift of state, that is, a fall. All 15 types of falls performed by the participants are subsumed under the umbrella of this class label.
- ADL: this class characterizes the activity intervals when the subject maintains control of its state and performs tasks without abrupt state transitions which may lead to falls. All 19 types of ADLs performed by the participants are subsumed under the umbrella of this class label.
3.3. Missing Values
Missingness in data is defined as an absence of response from sensors or data collection sources where a response is expected. Missing values distort the meaningfulness of data and leads to data corruption. Hence, missingness in data is interpreted as noise in data. Missing values are characterized by their proportion, patterns of observance and mechanisms of existence in data. For understanding the concept of missing data mechanisms, the data matrix X is partitioned into incomplete subset with missing values as () and observed subset with complete responses as (). Hence the dataset can be represented as:
Let M be the matrix of missingness with the same dimensions as X. Matrix M consists of 1s and 0s only, with 1 corresponding to a value being observed and 0 to a value being missed. Let the distribution of M be given as ), where
The Missing Completely at Random (MCAR) mechanism in data is observed when the probability of existence of missing values in data does not rely on the observed responses () or on the missing values that are expected to be obtained () [46]. It is an ideal but unreasonable assumption which exists in cases like failure of equipment, technical unsatisfaction, loss of data in transferring and so forth. The distribution of M can be modeled as:
For the purpose of this research, MCAR missing data mechanism was considered with various proportions of missingness in the data. Experimental analysis is carried out by adding three different percentages; 20%, 30% and 40% of MCAR missingness in data.
3.4. Deep Learning Model
We treat fall detection as a sequence classification problem, classifying each incoming input sample into fall/ADL category. The choice of DL techniques takes into account the resource constraint limitations of the relatively cheap embedded sensor device especially in inference model. RNN with underlying stack of bidirectional LSTMs are the core of the propose model. Treatment of missing values like replacement with mean, median and so forth, imputation and prediction exhaust computational resources which are already limited for the sensing devices. Hence, treatment of missing values is out of scope of this research. We propose a method of detecting falls in the presence of missing values.
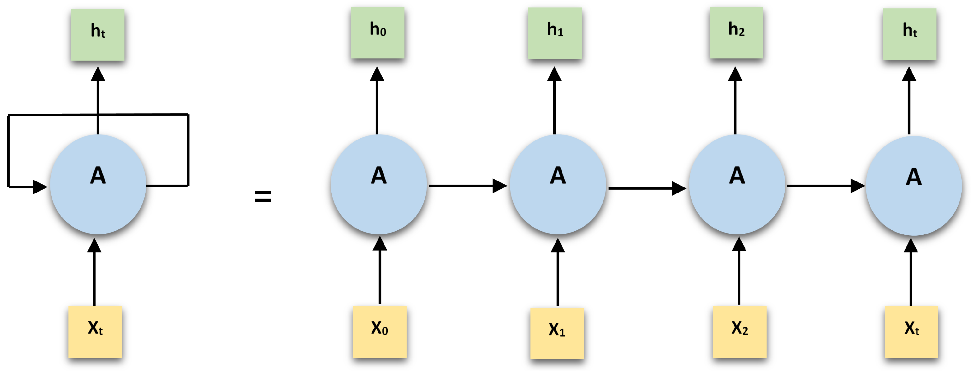
RNN is a class of artificial neural network derived from the feed forward networks [47]. However, the distinguishing feature between recurrent and feed-forward networks is presence of at least one feedback connection in the recurrent networks. This connection feeds a part of the produced output back to the input. Thus, the activations pass around in a loop enabling the network to learn sequences and perform temporal processing. Hidden state which serves as a memory, retaining sequential information that the network has witnessed so far from the preceding timestep, is the most noteworthy feature of RNN. The same function is applied to all the inputs (operating with the same set of parameters) and hidden layers to generate the output. This reduces the complexity of parameters, unlike other neural networks. The weight matrices act as filters deciding the significance assigned to the current and previous hidden states. The feedback loop very exists at every timestep and adds traces of past hidden states. Basic RNN architecture is shown in Figure 3. The RNNs do not suffer from the limitation of accepting fixed dimensions for inputs and outputs and are flexible to variable sized inputs and corresponding outputs. RNNs rely on an application of back-propagation when applied to sequence problems like that of time series data called back-propagation through time (BPTT). The BPTT algorithm provides sequential sets of input/output timesteps to the network. It unfolds the network and calculates inaccuracies across each timestep. Finally, the algorithm rolls up the network and updates weights across the network. This entire process is repetitive. The computational cost of BPTT has a direct relation with the number of timesteps. When the number of timesteps is higher, weight updates become an exhausting process depending upon calculations of derivatives. The weights eventually vanish or explode resulting in noisy model performance and poor learning. A gradient explains the change in all weights with regard to the change in error. Hence, the problem is identified as the vanishing or exploding gradient problem in RNNs [48].
Figure 3.
An uncoiled recurrent neural network (RNN).
Long Short-Term Memory networks or LSTMs are a special category of RNNs having the ability to learn long-term dependencies [49]. LSTMs are precisely conceived to cater the long-term dependency issue or the exploding/vanishing gradient problem resulting from BPTT. All RNNs contain repetitive modules of neural network. The chain like repeating structure in LSTMs is slightly different, consisting of four interactive neural network layers instead of one. The four gates include forget gate, input gate, output gate, and internal hidden state gate represented by f, i, o, g respectively. These four gates are utilized by LSTMs to perform a specific function of defining a cell state at each timestep. Details are appended or withdrawn from the cell state after careful regulation from these gates. The gates comprise a sigmoid neural net layer and a point-wise multiplication operation which output a zero or a one defining how much information to allow pass. Firstly, the forget gate regulates what to remove or forget in the cell state from the previous hidden state () information. Next, the information to be updated in the cell state is decided by the input gate layer. It is a two step procedure with a tanh layer creating a vector of new candidate values (), leading to the update of current cell state. Finally, a sigmoid layer filters out the required segment of the cell state to output. A succeeding tanh layer scales the output. The final output is yt. A vector set of equations describing the working of a typical LSTM are given as:
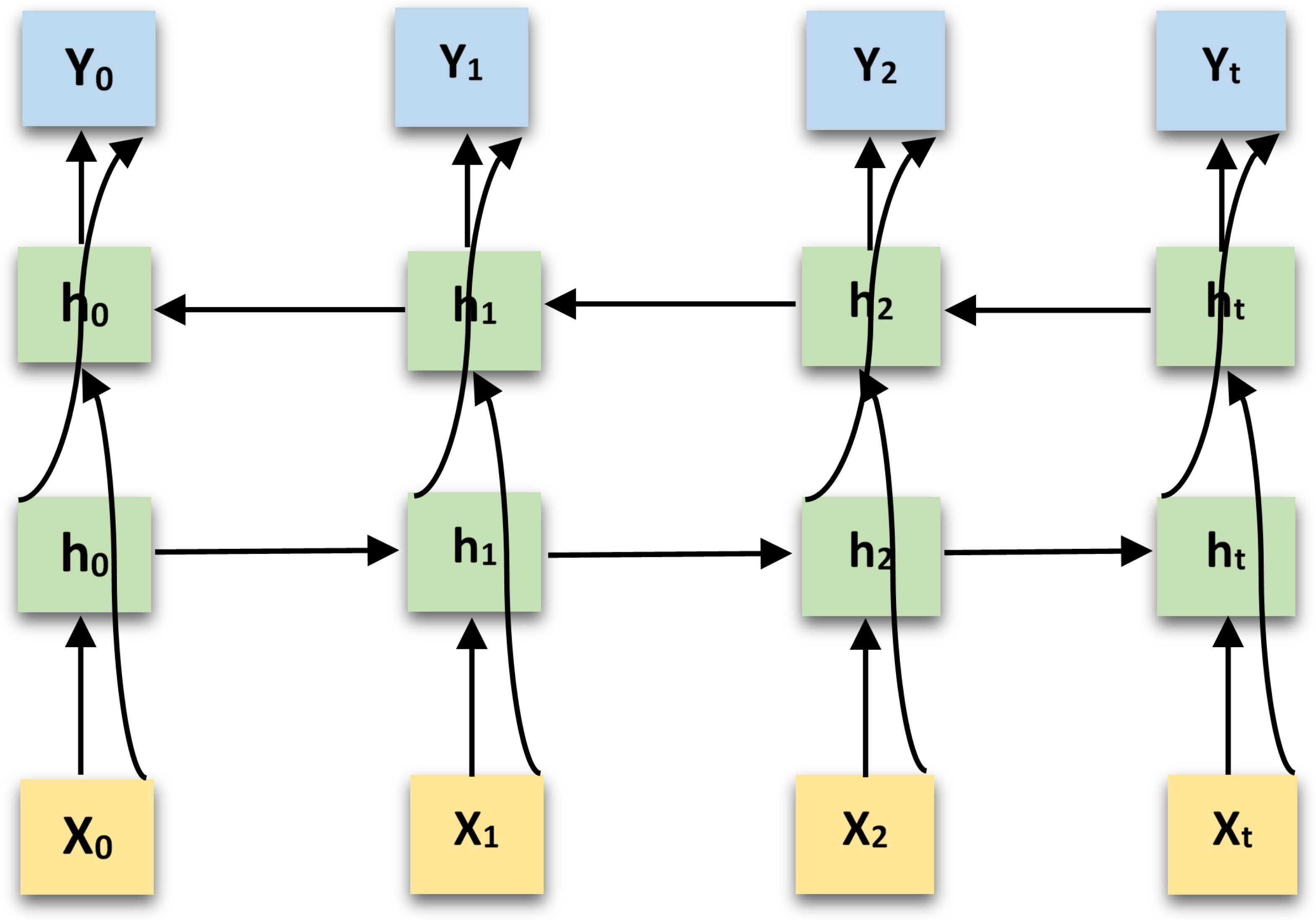
In order to cater to the corruption and ambiguities caused by the missing data problem, we propose to utilize Bidirectional Long Short-Term Memory (BiLSTM) [50] blocks stacked on top of each other. BiLSTMs are a widely applied improvement of LSTMs which work better with sequence classification problems. Conventional LSTMs are only able to make use of the previous context but BiLSTMs process the data in both directions with two separate hidden layers. It’s like training two separate LSTMs on the input sequence given all the timesteps, one that is trained on the input sequence as is and the other on the reversed copy of the input sequence. The input is executed in two ways, one from past to future and the other from future to past.The outcomes of the two hidden layers are then fed forwards to the same output layer. This basic concept enables BiLSTMs to access long-range context in both input directions. BiLSTMs utilize both the previous and future context however, the forward pass and backward pass are completely independent of each other. The basic difference from a unidirectional LSTM is the ability of LSTM training in backwards direction to preserve information from the future as well. At any timestep the combined hidden layers preserve information from past and future. A typical BiLSTM model architecture is shown in Figure 4.
Figure 4.
Bidirectional Long Short-Term Memory (LSTM) architecture.
The overall proposed system design is shown in Figure 5. Two BiLSTM stacked on top of each other with additional dropout and fully connected layers are used. The dropout layers are only activated during the training phase and eliminated during the inference stage. 3D Data reshaping is done to make the dimensions of data in accordance with the LSTM parameter requirements. The three dimensions of input to each LSTM layer include samples, timesteps and features. The output dimensions are dependent upon the number of classes.
Figure 5.
Overall design for the proposed DL based fall detection system.
There are two approaches used in this research based on the number and kind of sensors used to accumulate the data. A multi-sensor fusion approach which uses the combination of sensors to gather data coming from different sources. This approach uses data from all three sensors of the customized embedded device (in case of SisFall dataset) and all five body worn sensors (in case of UP-Fall Detection dataset) to detect falls. While the single sensor approach chooses one sensor at a time to detect falls. This is done in order to understand the behavior of individual sensor data and how it contributes towards fall detection. The sensors considered for this approach are the ITG3200 gyroscope and the MMA8451Q accelerometer from the SisFall dataset and the wearable waist mounted IMU sensor from the UP-Fall dataset. All three percentages of missingness have been considered for the individual sensor case. The overall methodology, illustrated in Figure 5, is summarized in the form of algorithm in Algorithm 1.
| Algorithm 1: Algorithm for Deep Learning based Missing Data Imputation and Fall Detection. |
(1) Data Preprocessing:
|
3.5. Experimental Setup
The proposed fall detection mechanism has been implemented using the Keras framework, a high-level framework for deep learning for Python programming language. All training procedures have been performed on LENOVO 80MK workstation, equipped with an Intel® Core™ i7-6500U CPU. The fall detection problem is treated as a sequence classification problem with fixed length sequence input using two BiLSTMs stacked on top of each other. Each BiLSTM layer contains 32 hidden neurons. Batch size is 2048 and dropout probability used in both layers is 0.2. Categorical cross entropy is chosen as the loss function. A softmax activation function is applied at the output for each input sequence. All BiLSTMs are trained using early stopping. A 90%/10% train/test split is used.
4. Performance Evaluation
Using classification accuracy alone as a performance measure can be confusing if there is an unequal number of observations in each class or if there are more than two classes in the dataset. Computing a confusion matrix gives better understanding of what the classification model is predicting correctly and the types of errors it is making. Most evaluation metrics are computed from the confusion matrix. It summarizes the number of correct and incorrect predictions with count values and divides them into each class. The rows depict actual classes while the columns represent the predicted class outcomes by the classifier. Some terms used to define a confusion matrix include:
- Positive (P): Observation is positive.
- Negative (N): Observation is not positive.
- True Positive (TP): Observation is positive. The prediction is positive.
- False Negative (FN): Observation is positive, but the prediction is negative.
- True Negative (TN): Observation is negative. The prediction is negative.
- False Positive (FP): Observation is negative, the prediction is positive.
A basic confusion matrix layout is shown in Figure 6. Details of evaluation metrics derived from the computed confusion matrix are given as follows.
Figure 6.
Confusion Matrix.
Classification rate or accuracy is the ratio of error-free predictions made to the total number of predictions made by the classification model. However, this accuracy can be problematic since it includes both kinds of errors.
Error rate is the ratio of all incorrect predictions to the total number of predictions made by the classification model.
Another informative measure is sensitivity or recall. Sensitivity is the ratio of number of correct positive predictions to the total number of positives.
Specificity is the ratio of the number of correct negative predictions to the total number of negatives.
Precision is the ratio of the number of error-free positive predictions to the total number of positive predictions. It is also called positive predictive value.
Table 8 describes the distribution of the two activities (ADL and falls) in training and testing datasets for the SisFall dataset.
Table 8.
Distribution of ADL and Falls in SisFall dataset.
Table 9 summarizes the distribution of activities for training and testing datasets for the UP-Fall Detection dataset.
Table 9.
Distribution of ADL and Falls in UP-Fall dataset.
4.1. Multisensor Fusion Approach
This section describes the experimental results of using a combination of sensors to detect falls. For experiments using the SisFall dataset, three tri-axial sensors (2 accelerometers and 1 gyroscope) working at a sampling frequency of 200 Hz are chosen to provide collected data from subjects executing 15 categories of falls and 19 different ADLs. For experiments using the UP-Fall dataset, five tri-axial sensors (each sensor consisting of an accelerometer and a gyroscope) working at the sampling frequency of 100 Hz are used to accumulate data for fall detection.
The experiment is performed on 4 different case scenarios: dataset with complete records and no observed missing values, incomplete dataset consisting of 80% of original data and 20% of the data observed as missing values through MCAR mechanism, incomplete dataset consisting of 70% of original data and 30% of the data observed as missing values through MCAR mechanism and incomplete dataset consisting of 60% of original data and 40% of the data observed as missing values through MCAR mechanism. Extensive hyper-parameters tuning and optimization were performed on a Keras framework using the Python programming language. Results obtained during training and testing are mentioned in Table 10 and Table 11 for the SisFall and UP-Fall datasets, respectively.
Table 10.
Results for Multi-sensor Fusion Approach using SisFall: Accuracy and Loss during training and testing phases.
Table 11.
Results for Multi-sensor Fusion Approach using UP-Fall: Accuracy and Loss during training and testing phases.
Figure 7 shows the confusion matrices for the four experimental case scenarios on the SisFall dataset, giving insights for the performance of the proposed deep learning based classification model. The confusion matrix for the ideal scenario of continuous streams of data with no interruptions and noisy missing values demonstrates error-free predictions for the case of ADL and only two misclassifications for FALL during testing, yielding a low error rate and perfect sensitivity. A trend in reduced performance and effectiveness analysis is observed as the percentage of missing values is increased in the data for the multi-sensor fusion approach. The analytical outcomes deduced from the confusion matrices are presented in the form of effectiveness analysis in Table 12.
Figure 7.
Confusion matrix resulting from testing the Multi-sensor Fusion approach using the SisFall dataset.
Table 12.
Effectiveness Analysis for Multi-sensor Fusion Approach using SisFall dataset: Error rate, Sensitivity, Specificity & Precision during testing.
The breakdown of true classification vs. predicted classification for the proposed multi-sensor fusion technique using UP-Fall Detection dataset is given in Figure 8. The confusion matrices for the four cases of missingness in data depict an indirect relation between the percentage of missing values in data and the correctly predicted classification. Increase in percentage of missingness in data led to decrease in correct predictions. For example, in the worst case scenario with 40% MCAR missingness in data 23.31% of actual falls are misidentified as ADL and 12.3% of true ADL are interpreted as falls. The analytical outcomes deduced from the confusion matrices are presented in the form of effectiveness analysis in Table 13.
Figure 8.
Confusion matrix resulting from testing the Multi-sensor Fusion approach using the UP-Fall dataset.
Table 13.
Effectiveness Analysis for Multi-sensor Fusion Approach using UP-Fall dataset: Error rate, Sensitivity, Specificity & Precision during testing.
4.2. The Single Sensor Approach
This section describes the experimental results of using individual sensors to detect falls. The single sensor approach chooses one sensor at a time to detect falls. This is done to analyze the behavior of individual sensor data and how it contributes towards fall detection.
For the SisFall dataset, the ITG3200 gyroscope and the MMA8451Q accelerometer are considered. Similarly, data from waist mounted tri-axial accelerometer and waist mounted tri-axial gyroscope is selected when using the UP-Fall dataset. All three percentages of missingness have been considered for the individual sensor case. The same hyper-parameters optimized for the combined sensor approach are applied when using the individual sensors. The resulting accuracy and loss for the single sensor approach using the accelerometer are given in Table 14 and Table 15 for SisFall and UP-Fall datasets respectively. Effectiveness analyses summarizing percentages of sensitivity, specificity, precision and error rate for the two datasets are given in Table 16 and Table 17.
Table 14.
Results for Single Sensors Approach using Accelerometer for SisFall dataset: Accuracy and Loss during training and testing phases.
Table 15.
Results for Single Sensors Approach using Accelerometer for UP-Fall dataset: Accuracy and Loss during training and testing phases.
Table 16.
Effectiveness Analysis for Single Sensor Approach using accelerometer on SisFall dataset.
Table 17.
Effectiveness Analysis for Single Sensor Approach using accelerometer on UP-Fall dataset.
The use of accelerometers for monitoring acceleration changes in three orthogonal directions for fall detection produces accurate results following the trends of the multi-sensor fusion approach. The technique on UP-Fall dataset produces more accurate results than on SisFall dataset. It also performs better than the multi-sensor fusion technique applied on the same dataset.
While accelerometers only have the capability of measuring linear motion, gyroscopes have the ability to measure the tilt and lateral orientation of an object. The accuracy results of using the ITG3200 gyroscope from the SisFall dataset and the waist mounted gyroscope from the UP-Fall dataset are given in Table 18 and Table 19 respectively. Effectiveness analyses for the two datasets are represented in Table 20 and Table 21.
Table 18.
Results for Single Sensors Approach using Gyroscope on SisFall dataset: Accuracy and Loss during training and testing phases.
Table 19.
Results for Single Sensors Approach using Gyroscope on UP-Fall dataset: Accuracy and Loss during training and testing phases.
Table 20.
Effectiveness Analysis for Single Sensor Approach using gyroscope on SisFall dataset.
Table 21.
Effectiveness Analysis for Single Sensor Approach using gyroscope on UP-Fall dataset.
In case of single sensor approach using gyroscope applied on SisFall dataset, the results for class predictions show reduced performance in terms of accuracy and effectiveness analysis. Out of 33 ADL during testing, only 25 are correctly identified, the remaining are misinterpreted as FALL for the ideal scenario with no missing values. Similarly 12 out of 44 FALL cases are misclassified and predicted as ADL. The worst case scenario with 40% MCAR missingness added to the data results in 32 out of 44 incorrect predictions for the class FALL and only 12 true class predictions during testing. The findings from the confusion matrices lead to escalated error rates and bleak percentage outcomes for sensitivity, precision and specificity.
The comparison between the combined sensors approach and single sensor approach when applied on SisFall dataset, indicates the superiority of the former where the combined sensor approach generates 97.4% accuracy when classifying falls and ADL for the complete dataset, 94.81% for the best-case scenario of missingness (i.e., 20%) and 88.31% for the worst (i.e., 40%). The effectiveness analysis supports the conclusion with 100%, 96.97% and 81.81% sensitivity for the three cases respectively. This could be justified as the multi-sensor fusion approach collects data from various sources which is favorable to overcome the limitations observed in one or more sensors.
In case of the proposed fall detection technique applied on the UP-Fall dataset, multi-sensor fusion approach produces acceptable results with 88% and 82.55% accuracy for the best-case and worst-case scenarios respectively. However, the best results in terms of accuracy and effectiveness analysis are achieved with the single sensor approach using accelerometer with a maximum accuracy of 97.21% and 99.77% sensitivity. This out-performance of the single sensor approach using accelerometer over the multi-sensor fusion approach could be justified by the variance of influential factors which contribute towards sensor data generation. Some of the contributing factors include but are not limited to: configurations of the sensing device (sampling rate, memory, range, power consumption and battery), categorisation and patterns of performed activities, characteristics of the volunteering subjects, experimental conditions for activity simulation and so forth. When comparing the performances of individual sensors in the single sensor approach, use of accelerometer outperforms that of gyroscope for both datasets. Results from generated losses and accuracies as well as the effectiveness analyses indicate the superiority of tri-axial accelerometers over gyroscopes to monitor inertial navigation for detecting falls.
4.3. Comparison with Existing State of the Art
Effectiveness comparison of proposed technique with recent fall detection methods are presented in Table 22 and Table 23. None of the mentioned literature cater to the problem of observing missing values in data for the used datasets. For the sake of comparison, we have used the best case scenarios with no missing values for the proposed fall detection technique.
Table 22.
Comparison of the the proposed NT-FDS on SisFall Dataset with State-of-the-art.
Table 23.
Comparison of the the proposed NT-FDS on UP-Fall dataset with recent techniques.
5. Conclusions
Fall detection is a relevant public concern specially for the elderly and physically impaired. Recent years have witnessed considerable research on accurate fall detection based on wearable sensor technology. However, not many techniques focus on dealing with realistic, noisy, faulty or missing sensor data streams. The focus of this research is to apply DL techniques for wearable sensors based fall detection when faced with the predicament of observing missing values in data. Data acquisition from various multimodal and uni-modal sources is done to simulate real-life activities. The proposed technique applies RNN with an underlying stack of BiLSTM blocks on two publicly available datasets—SisFall and UP-Fall. Various proportions of MCAR missingness is generated and added to data to evaluate the performance of the proposed model under unfavourable, realistic and noisy conditions.
Fall detection is treated as a sequence classification problem by using a DL architecture. The ability of DL techniques to automatically extract features from complex training data make it an efficient application for real-life fall detection. BiLSTMs with their inherent ability to retain long-term dependencies from past and future, easily access the access the long-range context when a value in sensor data goes missing. This justification makes BiLSTM as an appropriate choice for our noise tolerant fall detection architecture on sequential sensor data. Two different approaches based on the number and kind of sensing device used to accumulate data are proposed. Multi-sensor fusion technique generally performs better for both datasets based on the ability of the proposed technique to overcome the limitations of one or more sensor source by relying on others. The comparison between individual sensors in the single sensor approach, promotes the performance of tri-axial accelerometer over gyroscope to navigate inertial changes causing falls. The results presented in this research conform to the effectiveness of using BiLSTM with its ability to learn two-way long-term dependencies in presence of missing values in data.
Author Contributions
Conceptualization, H.A. and M.W.; methodology, M.W., H.A. and K.M.; software, M.W. and K.M.; validation, M.W. and K.M.; data collection, M.W., H.A. and K.M.: writing—original draft preparation, M.W.; writing—review and editing, H.A.; supervision, H.A. and K.M. All authors have read and agreed to the published version of the manuscript.
Funding
This research received no external funding.
Data Availability Statement
The experiments are performed on publicly available datasets. The sources for utilized datasets are available in [52,53].
Conflicts of Interest
The authors declare no conflict of interest.
Abbreviations
The following abbreviations are used in this manuscript:
| IoT | Internet of Things |
| IoMT | Internet of Medical Things |
| HAR | Human Activity Recognition |
| FDS | Fall Detection Systems |
| ADL | Activities of Daily Life |
| GRU | Gated Recurrent Units |
| RNN | Recurrent Neural Networks |
| BPTT | Backpropagation through time |
| LSTM | Long Short-Term Memory networks |
| BiLSTM | Birdirectional Long Short-Term Memory |
References
- Atzori, L.; Iera, A.; Morabito, G. Understanding the Internet of Things: Definition, potentials, and societal role of a fast-evolving paradigm. Ad Hoc Netw. 2017, 56, 122–140. [Google Scholar] [CrossRef]
- Available online: https://www.mckinsey.com/business-functions/mckinsey-digital/our-insights/the-internet-of-things-the-value-of-digitizing-the-physical-world (accessed on 10 January 2020).
- Falls. Available online: http://www.who.int/en/news-room/fact-sheets/detail/falls (accessed on 8 September 2019).
- Igual, R.; Medrano, C.; Plaza, I. Challenges, issues and trends in fall detection systems. Biomed. Eng. Online 2013, 12, 66. [Google Scholar] [CrossRef] [PubMed]
- Mastorakis, G.; Makris, D. Fall detection system using Kinect’s infrared sensor. J. Real Time Image Process. 2014, 9, 635–646. [Google Scholar] [CrossRef]
- Gasparrini, S.; Cippitelli, E.; Spinsante, S.; Gambi, E. A Depth-Based Fall Detection System Using a Kinect® Sensor. Sensors 2014, 14, 2756–2775. [Google Scholar] [CrossRef]
- Mirmahboub, B.; Samavi, S.; Karimi, N.; Shirani, S. Automatic monocular system for human fall detection based on variations in silhouette area. IEEE Trans. Biomed. Eng. 2013, 60, 427–436. [Google Scholar] [CrossRef] [PubMed]
- Chang, Y.C.; Lim, W.K. A simple vision-based fall detection technique for indoor video Surveillance by Jia-Luen Chua. Signal Image Video Process. 2015, 9, 623–633. [Google Scholar]
- Auvinet, E.; Multon, F.; Saint-Arnaud, A.; Rousseau, J.; Meunier, J. Fall detection with multiple cameras: An occlusion-resistant method based on 3-d silhouette vertical distribution. IEEE Trans. Inf. Technol. Biomed. 2011, 15, 290–300. [Google Scholar] [CrossRef]
- Alwan, M.; Rajendran, P.J.; Kell, S.; Mack, D.; Dalal, S.; Wolfe, M.; Felder, R. A smart and passive floor-vibration based fall detector for elderly. In Proceedings of the International Conference on Information and Communication Technologies, Berkeley, CA, USA, 25–26 May 2006; pp. 1003–1007. [Google Scholar]
- Popescu, M.; Li, Y.; Skubic, M.; Rantz, M. An Acoustic Fall Detector System that Uses Sound Height Information to Reduce the False Alarm Rate. Annu. Int. Conf. IEEE Eng. Med. Biol. Soc. 2008, 2008, 4628–4631. [Google Scholar] [CrossRef]
- Hirata, Y.; Komatsuda, S.; Kosuge, K. Fall prevention control of passive intelligent walker based on human model. In Proceedings of the 2008 IEEE/RSJ International Conference on Intelligent Robots and Systems, Nice, France, 22–26 September 2008; pp. 1222–1228. [Google Scholar]
- Sixsmith, A.; Johnson, N.; Whatmore, R. Pyroelectric IR sensor arrays for fall detection in the older population. J. Phys. 2005, 128, 153–160. [Google Scholar] [CrossRef]
- Napolitano, M.; Neppach, C.; Casdorph, V.; Naylor, S.; Innocenti, M.; Silvestri, G. Neural-network-based scheme for sensor failure detection, identification, and accommodation. J. Guid. Control Dyn. 1995, 18, 1280–1286. [Google Scholar] [CrossRef]
- Hussain, S.; Mokhtar, M.; Howe, J.M. Sensor Failure Detection, Identification, and Accommodation Using Fully Connected Cascade Neural Network. IEEE Trans. Ind. Electron. 2015, 62, 1683–1692. [Google Scholar] [CrossRef]
- Jaques, N.; Taylor, S.; Sano, A.; Picard, R. Multimodal autoencoder: A deep learning approach to filling in missing sensor data and enabling better mood prediction. In Proceedings of the 2017 Seventh International Conference on Affective Computing and Intelligent Interaction (ACII), San Antonio, TX, USA, 23–26 October 2017; pp. 202–208. [Google Scholar]
- Zhang, Y.; Thorburn, P.J.; Xiang, W.; Fitch, P. SSIM—A Deep Learning Approach for Recovering Missing Time Series Sensor Data. IEEE Internet Things J. 2019, 6, 6618–6628. [Google Scholar] [CrossRef]
- Gruenwald, L.; Chok, H.; Aboukhamis, M. Using Data Mining to Estimate Missing Sensor Data. In Proceedings of the Seventh IEEE International Conference on Data Mining Workshops (ICDMW 2007), Omaha, NE, USA, 28–31 October 2007; pp. 207–212. [Google Scholar] [CrossRef]
- Hossain, T.; Goto, H.; Rahman, A.M.A.; Inoue, S. A Study on Sensor-based Activity Recognition Having Missing Data. In Proceedings of the 2018 Joint 7th International Conference on Informatics, Electronics & Vision (ICIEV) and 2018 2nd International Conference on Imaging, Vision & Pattern Recognition (icIVPR), Kitakyushu, Japan, 25–29 June 2018; pp. 556–561. [Google Scholar]
- Lai, C.-F.; Chang, S.Y.; Chao, H.C. Detection of cognitive injured body region using multiple triaxial accelerometers for elderly falling. IEEE Sens. J. 2011, 11, 763–770. [Google Scholar] [CrossRef]
- Wang, J.; Zhang, Z.; Li, B.; Lee, S.; Sherratt, R.S. An enhanced fall detection system for elderly person monitoring using consumer home networks. IEEE Trans. Consum. Electron. 2014, 60, 23–29. [Google Scholar] [CrossRef]
- Casilari, E.; Lora-Rivera, R.; García-Lagos, F. A Study on the Application of Convolutional Neural Networks to Fall Detection Evaluated with Multiple Public Datasets. Sensors 2020, 20, 1466. [Google Scholar] [CrossRef] [PubMed]
- Bourke, A.K.; Lyons, G.M. A threshold-based fall-detection algorithm using a bi-axial gyroscope sensor. Med. Eng. Phys. 2008, 30, 84–90. [Google Scholar] [CrossRef] [PubMed]
- Li, Q.; Stankovic, J.A.; Hanson, M.A.; Barth, A.T.; Lach, J.; Zhou, G. Accurate, Fast Fall Detection Using Gyroscopes and Accelerometer-Derived Posture Information. In Proceedings of the 2009 Sixth International Workshop on Wearable and Implantable Body Sensor Networks, Berkeley, CA, USA, 3–5 June 2009; pp. 138–143. [Google Scholar] [CrossRef]
- Nyan, M.N.; Tay, F.; Murugasu, E. A wearable system for pre-impact fall detection. J. Biomech. 2008, 41, 3475–3481. [Google Scholar] [CrossRef]
- Martinez-Villaseñor, L.; Ponce, H. Design and Analysis for Fall Detection System Simplification. J. Vis. Exp. 2020, 158, e60361. [Google Scholar] [CrossRef]
- Haobo, L.; Aman, S.; Francesco, F.; Julien Le, K.; Hadi, H.; Matteo, P.; Enea, C.; Ennio, G.; Susanna, S. Multisensor data fusion for human activities classification and fall detection. In Proceedings of the 2017 IEEE Sensors, Glasgow, UK, 29 October–1 November 2017. [Google Scholar]
- Pierleoni, P.; Belli, A.; Maurizi, L.; Palma, L.; Pernini, L.; Paniccia, M.; Valenti, S. A wearable fall detector for elderly people based on AHRS and barometric sensor. IEEE Sens. J. 2016, 16, 6733–6744. [Google Scholar] [CrossRef]
- He, Y.; Li, Y. Physical Activity Recognition Utilizing the Built-In Kinematic Sensors of a Smartphone. Int. J. Distrib. Sens. Netw. 2013. [Google Scholar] [CrossRef]
- Taylor, R.M.; Marc, E.C.; Vangelis, M.; Anne, H.H.N.; Coralys, C.R. SmartFall: A Smartwatch-Based Fall Detection System Using Deep Learning. Sensor 2018, 18, 3363. [Google Scholar] [CrossRef]
- Musci, M.; De Martini, D.; Blago, N.; Facchinetti, T.; Piastra, M. Online Fall Detection using Recurrent Neural Networks. arXiv 2018, arXiv:1804.04976. [Google Scholar]
- Perejón, D.-M.; Civit, B. Wearable Fall Detector Using Recurrent Neural Networks. Sensors 2019, 19, 4885. [Google Scholar] [CrossRef]
- Torti, E.; Fontanella, A.; Musci, M.; Blago, N.; Pau, D.; Leporati, F.; Piastra, M. Embedded Real-Time Fall Detection with Deep Learning on Wearable Devices. In Proceedings of the 2018 21st Euromicro Conference on Digital System Design (DSD), Prague, Czech Republic, 29–31 August 2018; pp. 405–412. [Google Scholar]
- Wang, G.; Li, Q.; Wang, L.; Zhang, Y.; Liu, Z. Elderly Fall Detection with an Accelerometer Using Lightweight Neural Networks. Electronics 2019, 8, 1354. [Google Scholar] [CrossRef]
- Microsoft Band 2 Smartwatch. Available online: https://www.microsoft.com/en-us/band (accessed on 3 March 2020).
- Notch: Smart Motion Capture for Mobile Devices. Available online: https://wearnotch.com/ (accessed on 10 March 2020).
- Klenk, J.; Schwickert, L.; Palmerini, L.; Mellone, S.; Bourke, A.; Ihlen, E.A.; Kerse, N.; Hauer, K.; Pijnappels, M.; Synofzik, M.; et al. The FARSEEING real-world fall repository: A large-scale collaborative database to collect and share sensor signals from real-world falls. Eur. Rev. Aging Phys. Act. 2016, 13, 8. [Google Scholar] [CrossRef]
- Angela, S.; José, D.L.; Jesús, F.V.-B. SisFall: A Fall and Movement Dataset. Sensors 2017, 17, 198. [Google Scholar] [CrossRef]
- Kwolek, B.; Kepski, M. Human fall detection on embedded platform using depth maps and wireless accelerometer. Comput. Methods Programs Biomed. 2014, 117, 489–501. [Google Scholar] [CrossRef]
- Martínez-Villaseñor, L.; Ponce, H.; Brieva, J.; Moya-Albor, E.; Núñez-Martínez, J.; Peñafort-Asturiano, C. UP-Fall Detection Dataset: A Multimodal Approach. Sensors 2019, 19, 1988. [Google Scholar] [CrossRef] [PubMed]
- Vavoulas, G.; Pediaditis, M.; Spanakis, E.; Tsiknakis, M. The MobiFall dataset: An initial evaluation of fall detection algorithms using smartphones. In Proceedings of the 13th IEEE International Conference on BioInformatics and BioEngineering, Chania, Greece, 10–13 November 2013. [Google Scholar]
- Medrano, C.; Igual, R.; Plaza, I.; Castro, M. Detecting falls as novelties in acceleration patterns acquired with smartphones. PLoS ONE 2014, 9, 1–9. [Google Scholar] [CrossRef] [PubMed]
- Vilarinho, T.; Farshchian, B.; Bajer, D.G.; Dahl, O.H.; Egge, I.; Hegdal, S.S.; Lones, A.; Slettevold, J.N.; Weggersen, S.M. A combined smartphone and smartwatch fall detection system. In Proceedings of the 2015 IEEE International Conference on Computer and Information Technology; Ubiquitous Computing and Communications; Dependable, Autonomic and Secure Computing; Pervasive Intelligence and Computing, Liverpool, UK, 26–28 October 2015; pp. 26–28. [Google Scholar]
- Frank, K.; Vera, M.J.; Robertson, P.; Pfeifer, T. Bayesian Recognition of Motion Related Activities with Inertial Sensors. In Proceedings of the 2014 IEEE/ION Position, Location and Navigation Symposium (PLANS 2014), Monterey, CA, USA, 5–8 May 2014; pp. 445–446. [Google Scholar]
- Casilari-Pérez, E.; Santoyo Ramón, J.; Cano-Garcia, J.M. UMAFall: A Multisensor Dataset for the Research on Automatic Fall Detection. Procedia Comput. Sci. 2017, 110, 32–39. [Google Scholar] [CrossRef]
- Schafer, J.L. The Analysis of Incomplete Multivariate Data; Chapman & Hall: London, UK, 1997. [Google Scholar]
- Goodfellow, I. Deep Learning; MIT Press: Cambridge, MA, USA, 2016; Available online: http://www.deeplearningbook.org (accessed on 20 March 2020).
- Hochreiter, S. The vanishing gradient problem during learning recurrent neural nets and problem solutions. Int. J. Uncertain. Fuzziness Knowl. Based Syst. 1998, 6, 107–116. [Google Scholar] [CrossRef]
- Hochreiter, S.; Schmidhuber, J. Long short-term memory. Neural Comput. 1997, 9, 1735–1780. [Google Scholar] [CrossRef] [PubMed]
- Schuster, M.; Paliwal, K. Bidirectional recurrent neural networks. IEEE Trans. Signal Process. 1997, 45, 2673–2681. [Google Scholar] [CrossRef]
- Espinosa, R.; Ponce, H.; Gutiérrez, S.; Martinez-Villaseñor, L.; Brieva, J.; Moya-Albor, E. A vision-based approach for fall detection using multiple cameras and convolutional neural networks: A case study using the UP-Fall detection dataset. Comput. Biol. Med. 2019, 115, 103520. [Google Scholar] [CrossRef]
- Available online: http://sistemic.udea.edu.co/en/research/projects/english-falls/ (accessed on 15 April 2020).
- Available online: https://drive.google.com/file/d/1Y2MSUijPcB7–PcGoAKhGeqI8GxKK0Pm/view (accessed on 15 August 2020).
Publisher’s Note: MDPI stays neutral with regard to jurisdictional claims in published maps and institutional affiliations. |
© 2021 by the authors. Licensee MDPI, Basel, Switzerland. This article is an open access article distributed under the terms and conditions of the Creative Commons Attribution (CC BY) license (http://creativecommons.org/licenses/by/4.0/).







