Eight-Channel Multispectral Image Database for Saliency Prediction
Abstract
1. Introduction
2. Methods
2.1. Multispectral Image Capturing
2.2. Gaze Data Recording
2.3. Building of the Fixation Maps
2.4. Experiments
2.4.1. Small Image Set: Free Viewing + Categorization
2.4.2. Large Image Set: Free Viewing
2.4.3. Saliency Prediction Comparison: RGB vs. Spectral
2.5. Heat Map Comparison Metrics
- Normalized scanpath saliency (NSS) [13]: averaged normalized saliency at the ground-truth location. This solves the issue existing in AUC methods of not penalizing low-valued false positives.
- Information gain (IG) [35]: compares two heat maps, taking into account the similarity of the probability distribution function and the heat map acting as ground truth.
2.6. Image Complexity Metrics
- Self-similarity: self-similarity compares the histogram of gradients (HOG) across different equally sized sub-images of the original image [37]. The HOG feature is calculated for each sub-image in the pyramid using the histogram intersection kernel [38]. By comparing the HOG features of each sub-image at level 3 with those of the entire image at level 0, the self-similarity of an image is calculated as shown in Equation (1).where I represents the image, L represents the three pyramid levels used, h(S) is the HOG value for a sub-image, and Pr(S) corresponds to the parent of sub-image S [39].
- Complexity: by computing first the maximum gradient magnitudes in the image channels, the gradient image Gmax is generated as shown in Equation (2).where , , and are the gradients at pixel (x, y) for each R, G, and B image component. Finally, the complexity of an image is computed as the mean norm of the gradient across all orientations over Gmax(x, y) [37], as shown in Equation (3).
- Birkhoff-like metric: this metric computes the amount of effort the human visual system has to put into the processing of an image. Following on from [37], the Birkhoff metric is defined as the ratio between self-similarity and the complexity metrics previously explained (see Equation (4)).
- Anisotropy: calculated as the variance of all the HOG values at level 3 as explained in [37]. This metric gives an idea about how the Fourier spectrum is more or less uniform across orientations (that is, less anisotropic).
3. Results
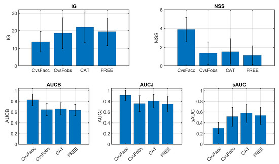
3.1. Inter-Observer and Inter-Experiment Heat Map Comparisons
3.2. Correlation with Image Complexity Metrics
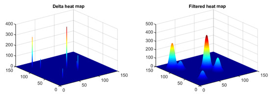
3.3. Example of Saliency Prediction Comparing RGB and Single-Band Spectral Images
4. Discussion and Conclusions
Author Contributions
Funding
Institutional Review Board Statement
Informed Consent Statement
Data Availability Statement
Conflicts of Interest
References
- Koch, C.; Ullman, S. Shifts in selective visual attention: Towards the underlying neural circuitry. In Matters of Intelligence; Springer: Berlin/Heidelberg, Germany, 1987. [Google Scholar]
- Canosa, R. Modeling Selective Perception of Complex, Natural Scenes. Int. J. Artif. Intell. Tools 2005, 14, 233–260. [Google Scholar] [CrossRef]
- Dale, L.M.; Thewis, A.; Boudry, C.; Rotar, I.; Dardenne, P.; Baeten, V.; Pierna, J.A.F. Hyperspectral imaging applications in agriculture and agro-food product quality and safety control: A review. Appl. Spectrosc. Rev. 2013, 48, 142–159. [Google Scholar] [CrossRef]
- Lu, G.; Fei, B. Medical hyperspectral imaging: A review. J. Biomed. Opt. 2014, 19, 010901. [Google Scholar] [CrossRef] [PubMed]
- Li, J.; Gao, W. Visual Saliency Computation: A Machine Learning Perspective; Springer: Berlin/Heidelberg, Germany, 2014; Volume 8408. [Google Scholar]
- Liang, H. Advances in multispectral and hyperspectral imaging for archaeology and art conservation. Appl. Phys. A 2012, 106, 309–323. [Google Scholar] [CrossRef]
- Borji, A. Saliency prediction in the deep learning era: An empirical investigation. arXiv 2018, arXiv:1810.0371610. [Google Scholar]
- Wang, L.; Gao, C.; Jian, J.; Tang, L.; Liu, J. Semantic feature based multi-spectral saliency detection. Multimed. Tools Appl. 2017, 77, 3387–3403. [Google Scholar] [CrossRef]
- Wang, T.; Borji, A.; Zhang, L.; Zhang, P.; Lu, H. A stagewise refinement model for detecting salient objects in images. In Proceedings of the IEEE International Conference on Computer Vision, Venice, Italy, 22–29 October 2017. [Google Scholar]
- Borji, A.; Itti, L. State-of-the-art in visual attention modeling. IEEE Trans. Pattern Anal. Mach. Intell. 2012, 35, 185–207. [Google Scholar] [CrossRef] [PubMed]
- Wang, W.; Shen, J.; Xie, J.; Cheng, M.-M.; Ling, H.; Borji, A. Revisiting Video Saliency Prediction in the Deep Learning Era. IEEE Trans. Pattern Anal. Mach. Intell. 2019, 1. [Google Scholar] [CrossRef] [PubMed]
- TobiiProX2-60. Available online: https://www.tobiipro.com/product-listing/tobii-pro-x2-30/ (accessed on 30 January 2021).
- Peters, R.J.; Iyer, A.; Itti, L.; Koch, C. Components of bottom-up gaze allocation in natural images. Vis. Res. 2005, 45, 2397–2416. [Google Scholar] [CrossRef] [PubMed]
- Judd, T.; Ehinger, K.; Durand, F.; Torralba, A. Learning to predict where humans look. In Proceedings of the 2009 IEEE 12th International Conference on Computer Vision, Kyoto, Japan, 29 September–2 October 2009. [Google Scholar]
- Le Moan, S.; Mansouri, A.; Hardeberg, J.Y.; Voisin, Y. Saliency for Spectral Image Analysis. IEEE J. Sel. Top. Appl. Earth Obs. Remote. Sens. 2013, 6, 2472–2479. [Google Scholar] [CrossRef]
- Borji, A.; Sihite, D.N.; Itti, L. Quantitative Analysis of Human-Model Agreement in Visual Saliency Modeling: A Comparative Study. IEEE Trans. Image Process. 2013, 22, 55–69. [Google Scholar] [CrossRef] [PubMed]
- Bylinskii, Z.; Judd, T.; Oliva, A.; Torralba, A.; Durand, F. What Do Different Evaluation Metrics Tell Us About Saliency Models? IEEE Trans. Pattern Anal. Mach. Intell. 2019, 41, 740–757. [Google Scholar] [CrossRef] [PubMed]
- Achanta, R.; Hemami, S.; Estrada, F.; Susstrunk, S. Frequency-tuned salient region detection. In Proceedings of the 2009 IEEE Conference on Computer Vision and Pattern Recognition, Miami, FL, USA, 20–25 June 2009. [Google Scholar]
- Bylinskii, Z.; Judd, T.; Borji, A.; Itti, L.; Durand, F.; Oliva, A.; Torralba, A. Mit Saliency Benchmark; MIT: Boston, MA, USA, 2015. [Google Scholar]
- Jiang, M.; Huang, S.; Duan, J.; Zhao, Q. Salicon: Saliency in context. In Proceedings of the IEEE Conference on Computer Vision and Pattern Recognition, Boston, MA, USA, 7–12 June 2015. [Google Scholar]
- Yan, Q.; Xu, L.; Shi, J.; Jia, J. Hierarchical saliency detection. In Proceedings of the IEEE Conference on Computer Vision and Pattern Recognition, Portland, OR, USA, 23–28 June 2013. [Google Scholar]
- Cheng, M.-M.; Mitra, N.J.; Huang, X.; Hu, S.-M. SalientShape: Group saliency in image collections. Vis. Comput. 2013, 30, 443–453. [Google Scholar] [CrossRef]
- Yang, C.; Zhang, L.; Lu, H.; Ruan, X.; Yang, M.-H. Saliency detection via graph-based manifold ranking. In Proceedings of the IEEE Conference on Computer Vision and Pattern Recognition, Portland, OR, USA, 23–28 June 2013. [Google Scholar]
- Alpert, S.; Galun, M.; Brandt, A.; Basri, R. Image segmentation by probabilistic bottom-up aggregation and cue integration. IEEE Trans. Pattern Anal. Mach. Intell. 2011, 34, 315–327. [Google Scholar] [CrossRef] [PubMed]
- Li, G.; Yu, Y. Visual saliency based on multiscale deep features. In Proceedings of the IEEE Conference on Computer Vision and Pattern Recognition, Boston, MA, USA, 7–12 June 2015. [Google Scholar]
- Martínez, M.Á.; Etchebehere, S.; Valero, E.M.; Nieves, J.L. Improving unsupervised saliency detection by migrating from RGB to multispectral images. Color Res. Appl. 2019, 44, 875–885. [Google Scholar] [CrossRef]
- Song, S.; Yu, H.; Miao, Z.; Fang, J.; Zheng, K.; Ma, C.; Wang, S. Multi-Spectral Salient Object Detection by Adversarial Domain Adaptation. In Proceedings of the AAAI Conference on Artificial Intelligence; Association for the Advancement of Artificial Intelligence (AAAI): Palo Alto, CA, USA, 2020. [Google Scholar]
- Tu, Z.; Xia, T.; Li, C.; Lu, Y.; Tang, J. M3S-NIR: Multi-modal Multi-scale Noise-Insensitive Ranking for RGB-T Saliency Detection. In Proceedings of the 2019 IEEE Conference on Multimedia Information Processing and Retrieval (MIPR), San Jose, CA, USA, 28–30 March 2019. [Google Scholar]
- İmamoğlu, N.; Ding, G.; Fang, Y.; Kanezaki, A.; Kouyama, T.; Nakamura, R. Salient object detection on hyperspectral images using features learned from unsupervised segmentation task. In Proceedings of the ICASSP 2019-2019 IEEE International Conference on Acoustics, Speech and Signal Processing (ICASSP), Brighton, UK, 12–17 May 2019. [Google Scholar]
- Riche, N.; Mancas, M.; Duvinage, M.; Mibulumukini, M.; Gosselin, B.; Dutoit, T. RARE2012: A multi-scale rarity-based saliency detection with its comparative statistical analysis. Signal Process. Image Commun. 2013, 28, 642–658. [Google Scholar] [CrossRef]
- PixelTeq. Available online: https://www.oceaninsight.com/products/imaging/multispectral/spectrocam/ (accessed on 30 January 2021).
- Zeiss. Available online: https://www.zeiss.es/consumer-products/fotografia/milvus/milvus-2815.html (accessed on 30 January 2021).
- Ezio Color Edge CG 277. 2020. Available online: https://eizo.es/producto/coloredge-cg277/ (accessed on 30 August 2020).
- Engmann, S.; Hart, B.M.; Sieren, T.; Onat, S.; König, P.; Einhäuser, W. Saliency on a natural scene background: Effects of color and luminance contrast add linearly. Atten. Percept. Psychophys. 2009, 71, 1337–1352. [Google Scholar] [CrossRef] [PubMed]
- Kümmerer, M.; Wallis, T.S.A.; Bethge, M. Information-theoretic model comparison unifies saliency metrics. Proc. Natl. Acad. Sci. USA 2015, 112, 16054–16059. [Google Scholar] [CrossRef] [PubMed]
- Riche, N.; Duvinage, M.; Mancas, M.; Gosselin, B.; Dutoit, T. Saliency and human fixations: State-of-the-art and study of comparison metrics. In Proceedings of the IEEE international conference on computer vision, Sydney, Australia, 1–8 December 2013; pp. 1153–1160. [Google Scholar]
- Redies, C.; Amirshahi, S.A.; Koch, M.; Denzler, J. PHOG-derived aesthetic measures applied to color photographs of artworks, natural scenes and objects. In European Conference on Computer Vision; Springer: Berlin/Heidelberg, Germany, 2012. [Google Scholar]
- Barla, A.; Franceschi, E.; Odone, F.; Verri, A. Image kernels. In International Workshop on Support Vector Machines; Springer: Berlin/Heidelberg, Germany, 2002. [Google Scholar]
- Choudhary, B.K.; Shanker, N.K.S.P. Pyramid method in image processing. J. Inf. Syst. Commun. 2012, 3, 269–273. [Google Scholar]
- Gonzalez, R.C.; Woods, R.E.; Eddins, S.L. Digital Image Processing Using MATLAB; Pearson Education India: Chennai, India, 2004. [Google Scholar]
- UGR Spectral Saliency Database. Available online: http://colorimaginglab.ugr.es/pages/Data (accessed on 30 January 2021).









| Filter # | 1 | 2 | 3 | 4 | 5 | 6 | 7 | 8 |
|---|---|---|---|---|---|---|---|---|
| λ (nm) | 425 | 482 | 530 | 570 | 615 | 680 | 770 | 833 |
| BW (nm) | 50 | 56 | 24 | 50 | 100 | 50 | 102 | 125 |
| Metric | AUCB | AUCJ | sAUC | NSS | IG |
|---|---|---|---|---|---|
| C vs. Fobs | 0.0214 (0.0141) | 0.0170 (0.0160) | 0.0193 (0.0138) | 0.0349 (0.0208) | 0.0048 (0.0047) |
| C vs. Facc | 0.0074 (0.0074) | 0.0021 (0.0020) | 0.0062 (0.0080) | 0.0066 (0.0081) | 0.0076 (0.0114) |
| CAT | 0.0041 (0.0045) | 0.0062 (0.0096) | 0.0012 (0.0019) | 0.0032 (0.0054) | 0.0009 (0.0013) |
| FREE | 0.0061 (0.0096) | 0.0053 (0.0062) | 0.0086 (0.0102) | 0.0089 (0.0167) | 0.0119 (0.0137) |
Publisher’s Note: MDPI stays neutral with regard to jurisdictional claims in published maps and institutional affiliations. |
© 2021 by the authors. Licensee MDPI, Basel, Switzerland. This article is an open access article distributed under the terms and conditions of the Creative Commons Attribution (CC BY) license (http://creativecommons.org/licenses/by/4.0/).
Share and Cite
Martínez-Domingo, M.Á.; Nieves, J.L.; Valero, E.M. Eight-Channel Multispectral Image Database for Saliency Prediction. Sensors 2021, 21, 970. https://doi.org/10.3390/s21030970
Martínez-Domingo MÁ, Nieves JL, Valero EM. Eight-Channel Multispectral Image Database for Saliency Prediction. Sensors. 2021; 21(3):970. https://doi.org/10.3390/s21030970
Chicago/Turabian StyleMartínez-Domingo, Miguel Ángel, Juan Luis Nieves, and Eva M. Valero. 2021. "Eight-Channel Multispectral Image Database for Saliency Prediction" Sensors 21, no. 3: 970. https://doi.org/10.3390/s21030970
APA StyleMartínez-Domingo, M. Á., Nieves, J. L., & Valero, E. M. (2021). Eight-Channel Multispectral Image Database for Saliency Prediction. Sensors, 21(3), 970. https://doi.org/10.3390/s21030970
