Saliency Detection with Bilateral Absorbing Markov Chain Guided by Depth Information
Abstract
1. Introduction
- A multi-stage RGB-D saliency detection framework with the bilateral absorbing Markov chain model is proposed. The framework can make full use of the explicit and implicit information in the depth map and explore the complementary relationship between the modes.
- The background seed screening mechanism is designed to solve the boundary touch problem. Moreover, the cross-modal multi-graph learning model is designed for implicitly fusing color and depth information by the learning.
- To preferably highlight the salient regions, we design a depth-guided optimization module which combines cellular automata and suppression-enhancement function pair.
2. Methodology
2.1. Initial Two-Layer Sparse Graph Constrution
2.2. Low-Level Saliency Cues Calculation Using Color and Depth Cues
2.2.1. Background Prior Calculation
2.2.2. Region Contrast Prior Calculation
2.3. Mid-Level Saliency Maps Generation by Bilateral Absorbing Markov Chain
2.3.1. Absorbing Markov Chain for Saliency Detection
2.3.2. Background Seed Screening Mechanism
2.3.3. Cross-Modal Multi-Graph Learning Model
2.3.4. Background-Based Saliency Map via Absorbing Markov Chain
2.3.5. Foreground-Based Saliency via Absorbing Markov Chain
2.4. High-Level Saliency Map Optimization via Depth Guidance
2.4.1. Optimization via Cellular Automata
2.4.2. Refinement via Depth Information
3. Experiments and Discussion
3.1. Datasets
3.2. Evaluation Metrics
3.3. Ablation Study
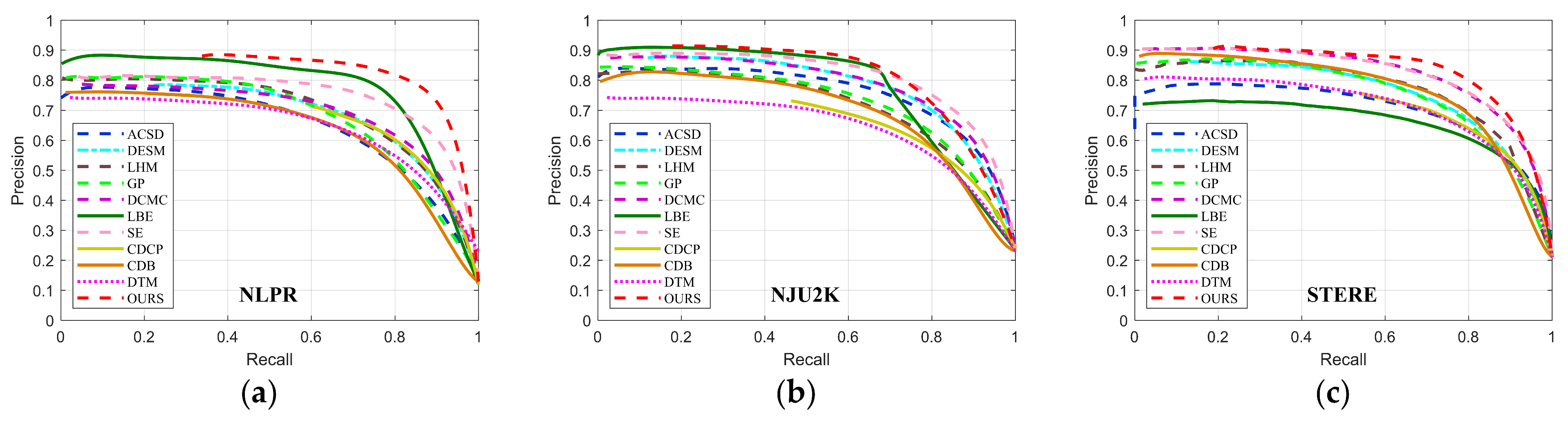
3.4. Comparisions with State-of-the-Art Methods
4. Conclusions and Future Work
Author Contributions
Funding
Data Availability Statement
Acknowledgments
Conflicts of Interest
References
- Liu, Z.; Shi, R.; Shen, L.; Xue, Y.; Ngan, K.N.; Zhang, Z. Unsupervised Salient Object Segmentation Based on Kernel Density Estimation and Two-Phase Graph Cut. IEEE Trans. Multimed. 2012, 14, 1275–1289. [Google Scholar] [CrossRef]
- Achanta, R.; Susstrunk, S. Saliency Detection for Content-Aware Image Resizing. In Proceedings of the 2009 16th IEEE International Conference on Image Processing (ICIP), Cairo, Egypt, 7–10 November 2009; pp. 1005–1008. [Google Scholar]
- Li, C.; Guo, J.; Cong, R.; Pang, Y.; Wang, B. Underwater Image Enhancement by Dehazing With Minimum Information Loss and Histogram Distribution Prior. IEEE Trans. Image Process. 2016, 25, 5664–5677. [Google Scholar] [CrossRef] [PubMed]
- Jiang, Q.; Shao, F.; Gao, W.; Chen, Z.; Jiang, G.; Ho, Y.-S. Unified No-Reference Quality Assessment of Singly and Multiply Distorted Stereoscopic Images. IEEE Trans. Image Process. 2019, 28, 1866–1881. [Google Scholar] [CrossRef]
- Zhang, H.; Cao, X.; Wang, R. Audio Visual Attribute Discovery for Fine-Grained Object Recognition. In Proceedings of the AAAI Conference on Artificial Intelligence, New Orleans, LA, USA, 2–7 February 2017; pp. 7542–7549. [Google Scholar]
- Citak, E.; Bilgin, G. Visual Saliency Aided SAR and Optical Image Matching. In Proceedings of the 2019 Innovations in Intelligent Systems and Applications Conference (ASYU), Izmir, Turkey, 31 October–2 November 2019; pp. 1–5. [Google Scholar]
- Muthu, S.; Tennakoon, R.; Rathnayake, T.; Hoseinnezhad, R.; Suter, D.; Bab-Hadiashar, A. Motion Segmentation of RGB-D Sequences: Combining Semantic and Motion Information Using Statistical Inference. IEEE Trans. Image Process. 2020, 29, 5557–5570. [Google Scholar] [CrossRef]
- Patruno, C.; Marani, R.; Cicirelli, G.; Stella, E.; D’Orazio, T. People re-identification using skeleton standard posture and color descriptors from RGB-D data. Pattern Recognit. 2019, 89, 77–90. [Google Scholar] [CrossRef]
- Niu, Y.; Geng, Y.; Li, X.; Liu, F. Leveraging stereopsis for saliency analysis. In Proceedings of the 2012 IEEE Conference on Computer Vision and Pattern Recognition, Providence, RI, USA, 16–21 June 2012; pp. 454–461. [Google Scholar]
- Ciptadi, A.; Hermans, T.; Rehg, J. An In Depth View of Saliency. In Proceedings of the British Machine Vision Conference 2013, Bristol, UK, 9–13 September 2013; British Machine Vision Association and Society for Pattern Recognition: Durham, UK, 2013; pp. 112.1–112.11. [Google Scholar]
- Desingh, K.; Madhava, K.K.; Rajan, D.; Jawahar, C.V. Depth really Matters: Improving Visual Salient Region Detection with Depth. In Proceedings of the British Machine Vision Conference 2013, Bristol, UK, 9–13 September 2013; Machine Vision Association and Society for Pattern Recognition: Durham UK, 2013; pp. 91–98. [Google Scholar]
- Cheng, Y.; Fu, H.; Wei, X.; Xiao, J.; Cao, X. Depth Enhanced Saliency Detection Method. In Proceedings of the 2014 International Conference on Internet Multimedia Computing and Service, Xiamen, China, 10–12 July 2014; pp. 23–27. [Google Scholar]
- Peng, H.; Li, B.; Xiong, W.; Hu, W.; Ji, R. Rgbd salient object detection: A benchmark and algorithms. In Computer Vision—ECCV, Proceedings of the 2004 European Conference on Computer Vision, Prague, Czech Republic, 11–14 May 2004; Springer: Cham, Switzerland, 2014; pp. 92–109. [Google Scholar]
- Fan, X.; Liu, Z.; Sun, G. Salient region detection for stereoscopic images. In Proceedings of the 2014 19th International Conference on Digital Signal Processing, Hong Kong, China, 20–23 August 2014; pp. 454–458. [Google Scholar]
- Sheng, H.; Liu, X.; Zhang, S. Saliency analysis based on depth contrast increased. In Proceedings of the 2016 IEEE International Conference on Acoustics, Speech and Signal Processing (ICASSP), Shanghai, China, 20–25 March 2016; pp. 1347–1351. [Google Scholar]
- Quo, J.; Ren, T.; Bei, J. Salient object detection for RGB-D image via saliency evolution. In Proceedings of the 2016 IEEE International Conference on Multimedia and Expo (ICME), Seattle, WA, USA, 11–15 July 2016; pp. 1–6. [Google Scholar]
- Zhu, C.; Li, G. A Three-Pathway Psychobiological Framework of Salient Object Detection Using Stereoscopic Technology. In Proceedings of the 2017 IEEE International Conference on Computer Vision Workshop (ICCVW), Venice, Italy, 22–29 October 2017; pp. 3008–3014. [Google Scholar]
- Zhu, C.; Li, G.; Wang, W.; Wang, R. An Innovative Salient Object Detection Using Center-Dark Channel Prior. In Proceedings of the 2017 IEEE International Conference on Computer Vision Workshops (ICCVW), Venice, Italy, 22–29 October 2017; pp. 1509–1515. [Google Scholar]
- Qu, L.; He, S.; Zhang, J.; Tian, J.; Yang, Q. RGBD Salient Object Detection via Deep Fusion. IEEE Trans. Image Process. 2016, 26, 2274–2285. [Google Scholar] [CrossRef]
- Zhu, C.; Li, G.; Guo, X.; Wang, W.; Wang, R. A Multilayer Backpropagation Saliency Detection Algorithm Based on Depth Mining. In Computer Analysis of Images and Patterns; Felsberg, M., Heyden, A., Krüger, N., Eds.; Springer International Publishing: Cham, Switzerland, 2017; pp. 14–23. [Google Scholar]
- Hangke, S.; Liu, Z.; Du, H.; Sun, G.; Le Meur, O.; Ren, T. Depth-Aware Salient Object Detection and Segmentation via Multiscale Discriminative Saliency Fusion and Bootstrap Learning. IEEE Trans. Image Process. 2017, 26, 4204–4216. [Google Scholar]
- Tang, C.; Hou, C. RGBD salient object detection by structured low-rank matrix recovery and Laplacian constraint. Trans. Tianjin Univ. 2017, 23, 176–183. [Google Scholar] [CrossRef]
- Zhu, C.; Cai, X.; Huang, K.; Li, T.H.; Li, G. PDNet: Prior-Model Guided Depth-Enhanced Network for Salient Object Detection. In Proceedings of the 2019 IEEE International Conference on Multimedia and Expo (ICME), Shanghai, China, 8–12 July 2019; pp. 199–204. [Google Scholar]
- Liang, F.; Duan, L.; Ma, W.; Qiao, Y.; Cai, Z.; Qing, L. Stereoscopic Saliency Model using Contrast and Depth-Guided-Background Prior. Neurocomputing 2018, 275, 2227–2238. [Google Scholar] [CrossRef]
- Huang, P.; Shen, C.H.; Hsiao, H.F. RGBD Salient Object Detection using Spatially Coherent Deep Learning Framework. In Proceedings of the 2018 IEEE 23rd International Conference on Digital Signal Processing (DSP), Shanghai, China, 19–21 November 2018; pp. 1–5. [Google Scholar]
- Ju, R.; Ge, L.; Geng, W.; Ren, T.; Wu, G. Depth saliency based on anisotropic center-surround difference. In Proceedings of the 2014 IEEE international conference on image processing (ICIP), Paris, France, 27–30 October 2014; pp. 1115–1119. [Google Scholar]
- Ren, J.; Gong, X.; Yu, L.; Zhou, W.; Yang, M.Y. Exploiting global priors for RGB-D saliency detection. In Proceedings of the 2015 IEEE Conference on Computer Vision and Pattern Recognition Workshops (CVPRW), Boston, MA, USA, 7–12 June 2015; pp. 25–32. [Google Scholar]
- Feng, D.; Barnes, N.; You, S.; Mccarthy, C. Local Background Enclosure for RGB-D Salient Object Detection. In Proceedings of the 2016 IEEE Conference on Computer Vision and Pattern Recognition (CVPR), Las Vegas, NV, USA, 27–30 June 2016; pp. 2343–2350. [Google Scholar]
- Du, H.; Liu, Z.; Song, H.; Mei, L.; Xu, Z. Improving RGBD Saliency Detection Using Progressive Region Classification and Saliency Fusion. IEEE Access 2016, 4, 8987–8994. [Google Scholar] [CrossRef]
- Shigematsu, R.; Feng, D.; You, S.; Barnes, N. Learning RGB-D Salient Object Detection using background enclosure, depth contrast, and top-down features. In Proceedings of the 2017 IEEE International Conference on Computer Vision Workshops (ICCVW), Venice, Italy, 22–29 October 2017; pp. 2749–2757. [Google Scholar]
- Han, J.; Chen, H.; Liu, N.; Yan, C.; Li, X. CNNs-Based RGB-D Saliency Detection via Cross-View Transfer and Multiview Fusion. IEEE Trans. Cybern. 2018, 48, 3171–3183. [Google Scholar] [CrossRef] [PubMed]
- Cong, R.; Lei, J.; Fu, H.; Lin, W.; Huang, Q.; Cao, X.; Hou, C. An Iterative Co-Saliency Framework for RGBD Images. IEEE Trans. Cybern. 2019, 49, 233–246. [Google Scholar] [CrossRef]
- Wang, A.; Wang, M. RGB-D Salient Object Detection via Minimum Barrier Distance Transform and Saliency Fusion. IEEE Signal Process. Lett. 2017, 24, 663–667. [Google Scholar] [CrossRef]
- Chen, H.; Li, Y.F.; Su, D. Attention-Aware Cross-Modal Cross-Level Fusion Network for RGB-D Salient Object Detection. In Proceedings of the 2018 IEEE/RSJ International Conference on Intelligent Robots and Systems (IROS), Madrid, Spain, 1–5 October 2018; pp. 6821–6826. [Google Scholar]
- Hao, C.; Youfu, L.; Dan, S. Multi-modal Fusion Network with Multi-scale Multi-path and Cross-modal Interactions for RGB-D Salient Object Detection. Pattern Recognit. 2018, 86, 376–385. [Google Scholar]
- Chen, H.; Li, Y. Progressively Complementarity-Aware Fusion Network for RGB-D Salient Object Detection. In Proceedings of the 2018 IEEE/CVF Conference on Computer Vision and Pattern Recognition, Salt Lake City, UT, USA, 18–22 June 2018; pp. 3051–3060. [Google Scholar]
- Cong, R.; Lei, J.; Zhang, C.; Huang, Q.; Cao, X.; Hou, C. Saliency Detection for Stereoscopic Images Based on Depth Confidence Analysis and Multiple Cues Fusion. IEEE Signal Process. Lett. 2016, 23, 819–823. [Google Scholar] [CrossRef]
- Cong, R.; Lei, J.; Fu, H.; Hou, J.; Huang, Q.; Kwong, S. Going From RGB to RGBD Saliency: A Depth-Guided Transformation Model. IEEE Trans. Cybern. 2020, 50, 3627–3639. [Google Scholar] [CrossRef] [PubMed]
- Comaniciu, D.; Meer, P. Mean shift: A robust approach toward feature space analysis. IEEE Trans. Pattern Anal. Mach. Intell. 2002, 24, 603–619. [Google Scholar] [CrossRef]
- Zhou, L.; Yang, Z.; Zhou, Z.; Hu, D. Salient Region Detection Using Diffusion Process on a Two-Layer Sparse Graph. IEEE Trans. Image Process. 2017, 26, 5882–5894. [Google Scholar] [CrossRef]
- Long, J.; Shelhamer, E.; Darrell, T. Fully convolutional networks for semantic segmentation. In Proceedings of the 2015 IEEE Conference on Computer Vision and Pattern Recognition (CVPR), Boston, MA, USA, 7–12 June 2015; pp. 3431–3440. [Google Scholar]
- Zhu, W.; Liang, S.; Wei, Y.; Sun, J. Saliency optimization from robust background detection. In Proceedings of the 2014 IEEE Conference on Computer Vision and Pattern Recognition, Columbus, OH, USA, 23–28 June 2014; pp. 2814–2821. [Google Scholar]
- Cheng, M.-M.; Mitra, N.J.; Huang, X.; Torr, P.H.; Hu, S.-M. Global contrast based salient region detection. IEEE Trans. Pattern Anal. Mach. Intell. 2015, 37, 569–582. [Google Scholar] [CrossRef]
- Zhang, L.; Ai, J.; Jiang, B.; Lu, H.; Li, X. Saliency Detection via Absorbing Markov Chain With Learnt Transition Probability. IEEE Trans. Image Process. 2018, 27, 987–998. [Google Scholar] [CrossRef]
- Jiang, B.; Zhang, L.; Lu, H.; Yang, C.; Yang, M.H. Saliency Detection via Absorbing Markov Chain. In Proceedings of the 2013 IEEE International Conference on Computer Vision, Sydney, NSW, Australia, 1–8 December 2013; pp. 1665–1672. [Google Scholar]
- Sun, J.; Lu, H.; Liu, X. Saliency Region Detection Based on Markov Absorption Probabilities. IEEE Trans. Image Process. 2015, 24, 1639–1649. [Google Scholar] [CrossRef]
- Luo, H.; Han, G.; Liu, P.; Wu, Y. Salient Region Detection Using Diffusion Process with Nonlocal Connections. Appl. Sci. 2018, 8, 2526. [Google Scholar] [CrossRef]
- Bai, S.; Sun, S.; Bai, X.; Zhang, Z.; Tian, Q. Smooth Neighborhood Structure Mining on Multiple Affinity Graphs with Applications to Context-Sensitive Similarity. In Computer Vision–ECCV 2016, Proceedings of the European Conference on Computer Vision, Amsterdam, The Netherlands, 8–16 October 2016; Springer: Cham, Switzerland, 2016; pp. 592–608. [Google Scholar]
- Qin, Y.; Lu, H.; Xu, Y.; Wang, H. Saliency detection via Cellular Automata. In Proceedings of the 2015 IEEE Conference on Computer Vision and Pattern Recognition (CVPR), Boston, MA, USA, 7–12 June 2015; pp. 110–119. [Google Scholar]
- Nobuyuki, O. A Threshold Selection Method from Gray-Level Histograms. IEEE Trans. Syst. Man Cybern. 1979, 9, 62–66. [Google Scholar]
- Fan, D.P.; Lin, Z.; Zhao, J.X.; Liu, Y.; Zhang, Z.; Hou, Q.; Zhu, M.; Cheng, M.M.J.A. Rethinking RGB-D Salient Object Detection: Models, Data Sets, and Large-Scale Benchmarks. IEEE Trans. Neural Netw. Learn. Syst. 2020. [Google Scholar] [CrossRef] [PubMed]
- Fan, D.; Cheng, M.; Liu, Y.; Li, T.; Borji, A. Structure-Measure: A New Way to Evaluate Foreground Maps. In Proceedings of the 2017 IEEE International Conference on Computer Vision (ICCV), Venice, Italy, 22–29 October 2017; pp. 4558–4567. [Google Scholar]
- Fan, D.; Gong, C.; Cao, Y.; Ren, B.; Cheng, M.; Borji, A. Enhanced-alignment Measure for Binary Foreground Map Evaluation. arXiv 2018, arXiv:1805.10421. [Google Scholar]
- Fan, D.-P.; Zhai, Y.; Borji, A.; Yang, J.; Shao, L. BBS-Net: RGB-D Salient Object Detection with a Bifurcated Backbone Strategy Network. In Computer Vision–ECCV 2020, Proceedings of the European Conference on Computer Vision 2020, Glasgow, UK, 23–28 August 2020; Springer: Cham, Switzerland, 2020; pp. 275–292. [Google Scholar]
- Zhang, J.; Fan, D.-P.; Dai, Y.; Anwar, S.; Saleh, F.; Aliakbarian, S.; Barnes, N.J.A.P.A. UC-Net: Uncertainty Inspired RGB-D Saliency Detection via Conditional Variational Autoencoders. In Proceedings of the 2020 IEEE/CVF Conference on Computer Vision and Pattern Recognition (CVPR), Seattle, WA, USA, 13–19 June 2020; pp. 8579–8588. [Google Scholar]












| Methods | Year | NLPR | NJU2K | STERE | |||||||||
|---|---|---|---|---|---|---|---|---|---|---|---|---|---|
| ACSD | 2014 | 0.6728 | 0.7418 | 0.5345 | 0.1787 | 0.6992 | 0.7863 | 0.6964 | 0.2021 | 0.6919 | 0.7932 | 0.6607 | 0.2000 |
| DESM | 2014 | 0.5722 | 0.6978 | 0.5633 | 0.3124 | 0.6648 | 0.6824 | 0.6321 | 0.2835 | 0.6425 | 0.6751 | 0.5942 | 0.2951 |
| LHM | 2014 | 0.6298 | 0.8131 | 0.6636 | 0.1077 | 0.5136 | 0.7082 | 0.6383 | 0.2048 | 0.5617 | 0.7700 | 0.7029 | 0.1719 |
| GP | 2015 | 0.6545 | 0.8045 | 0.6593 | 0.1461 | 0.5265 | 0.7161 | 0.6554 | 0.2106 | 0.5876 | 0.7842 | 0.7106 | 0.1822 |
| DCMC | 2016 | 0.7244 | 0.7856 | 0.6141 | 0.1167 | 0.6861 | 0.7905 | 0.7173 | 0.1716 | 0.7306 | 0.8314 | 0.7425 | 0.1476 |
| LBE | 2016 | 0.7619 | 0.8550 | 0.7355 | 0.0813 | 0.6952 | 0.7913 | 0.7400 | 0.1528 | 0.6601 | 0.7485 | 0.5951 | 0.2498 |
| SE | 2016 | 0.7561 | 0.8388 | 0.6915 | 0.0913 | 0.6642 | 0.7722 | 0.7335 | 0.1687 | 0.7082 | 0.8250 | 0.7476 | 0.1427 |
| CDCP | 2017 | 0.7270 | 0.8001 | 0.6076 | 0.1121 | 0.6685 | 0.7472 | 0.6238 | 0.1803 | 0.7134 | 0.7964 | 0.6655 | 0.1489 |
| CDB | 2018 | 0.6286 | 0.8094 | 0.6132 | 0.1142 | 0.6239 | 0.7448 | 0.6484 | 0.2028 | 0.6151 | 0.8079 | 0.7127 | 0.1655 |
| DTM | 2020 | 0.6787 | 0.7656 | 0.5271 | 0.1611 | 0.6490 | 0.7454 | 0.6082 | 0.2217 | 0.7049 | 0.7978 | 0.6585 | 0.1910 |
| OURS | 2020 | 0.8131 | 0.8751 | 0.7845 | 0.0712 | 0.7361 | 0.7925 | 0.7494 | 0.1359 | 0.7774 | 0.8347 | 0.7724 | 0.1110 |
| Methods | DCMC | CDCP | DTM | D3Net | BBS-Net | UC-Net | OURS |
|---|---|---|---|---|---|---|---|
| Year | 2016 | 2017 | 2020 | 2020 | 2020 | 2020 | 2020 |
| Platform | Matlab | Matlab | Matlab | PyTorch | PyTorch | PyTorch | Matlab |
| Image size | 640 480 | 640 480 | 640 480 | 224 224 | 352 352 | 352 352 | 640 480 |
| FLOPs(G) | 3.0891 | 1.2565 | 0.4104 | 55.0722 | 31.1396 | 16.1502 | 0.2002 |
Publisher’s Note: MDPI stays neutral with regard to jurisdictional claims in published maps and institutional affiliations. |
© 2021 by the authors. Licensee MDPI, Basel, Switzerland. This article is an open access article distributed under the terms and conditions of the Creative Commons Attribution (CC BY) license (http://creativecommons.org/licenses/by/4.0/).
Share and Cite
Wu, J.; Han, G.; Liu, P.; Yang, H.; Luo, H.; Li, Q. Saliency Detection with Bilateral Absorbing Markov Chain Guided by Depth Information. Sensors 2021, 21, 838. https://doi.org/10.3390/s21030838
Wu J, Han G, Liu P, Yang H, Luo H, Li Q. Saliency Detection with Bilateral Absorbing Markov Chain Guided by Depth Information. Sensors. 2021; 21(3):838. https://doi.org/10.3390/s21030838
Chicago/Turabian StyleWu, Jiajia, Guangliang Han, Peixun Liu, Hang Yang, Huiyuan Luo, and Qingqing Li. 2021. "Saliency Detection with Bilateral Absorbing Markov Chain Guided by Depth Information" Sensors 21, no. 3: 838. https://doi.org/10.3390/s21030838
APA StyleWu, J., Han, G., Liu, P., Yang, H., Luo, H., & Li, Q. (2021). Saliency Detection with Bilateral Absorbing Markov Chain Guided by Depth Information. Sensors, 21(3), 838. https://doi.org/10.3390/s21030838

