Highly Sensitive Graphene-Au Coated Plasmon Resonance PCF Sensor
Abstract
1. Introduction
2. Theoretical Analysis and Sensor Design
2.1. Sensing Principle
2.2. Kubo Model of Graphene
2.3. Drude–Lorentz Model
2.4. Sellmeier Equation
2.5. Structural Design and Analysis
3. Results and Discussion
3.1. Dispersion Relation and Mode Field Distribution
3.2. Discussion on the Varying of Λ, and d1
3.3. Discussion on the Varying Thicknesses of the Gold Layer
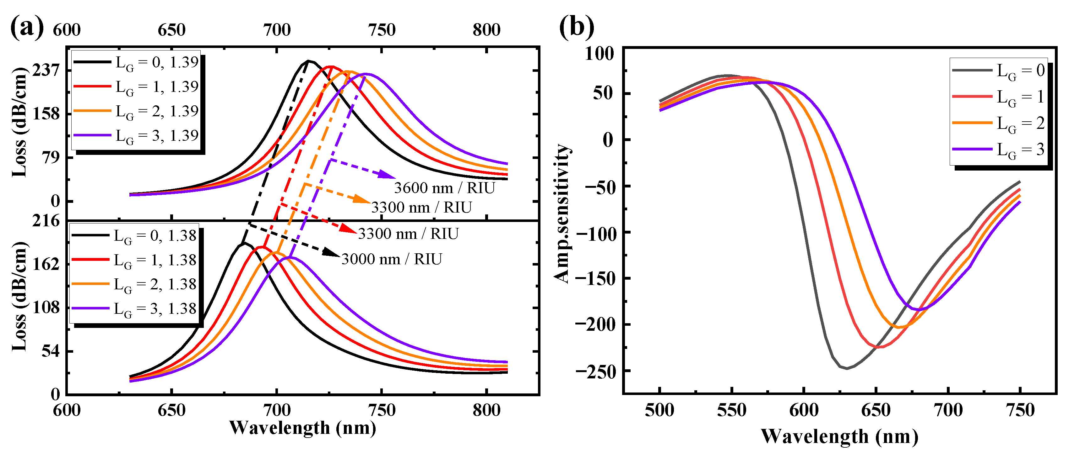
3.4. Discussion on the Varying Layers of Graphene
3.5. Discussion on the Varying of Sample RI (na)
4. Conclusions
Author Contributions
Funding
Institutional Review Board Statement
Informed Consent Statement
Data Availability Statement
Conflicts of Interest
References
- Rifat, A.A.; Mahdiraji, G.A.; Ahmed, R.; Chow, D.M.; Sua, Y.; Shee, Y.; Adikan, F.M. Copper-Graphene-Based Photonic Crystal Fiber Plasmonic Biosensor. IEEE Photonics J. 2015, 8, 1–8. [Google Scholar] [CrossRef]
- Knight, J.C. Photonic Crystal Fibres. Nature 2003, 424, 847–851. [Google Scholar] [CrossRef] [PubMed]
- Hernández, A.L.; Casquel, R.; Holgado, M.; Cornago, I.; Fernández, F.; Ciaurriz, P.; Sanza, F.J.; Santamaría, B.; Maigler, M.V.; Laguna, M.F. Resonant Nanopillars Arrays for Label-Free Biosensing. Opt. Lett. 2016, 41, 5430–5433. [Google Scholar] [CrossRef] [PubMed]
- Jabbari, S.; Dabirmanesh, B.; Arab, S.S.; Amanlou, M.; Daneshjou, S.; Gholami, S.; Khajeh, K. A Novel Enzyme Based SPR-Biosensor to Detect Bromocriptine as an Ergoline Derivative Drug. Sens. Actuators B Chem. 2017, 240, 519–527. [Google Scholar] [CrossRef]
- Gollapalli, R.P. Enhanced Sensitivity in Graphene-Based SPR Biosensors Using Electrical Bias. Opt. Lett. 2020, 45, 2862–2865. [Google Scholar] [CrossRef]
- Yablonovitch, E. Inhibited Spontaneous Emission in Solid-State Physics and Electronics. Phys. Rev. Lett. 1987, 58, 2059–2062. [Google Scholar] [CrossRef]
- John, S. Strong Localization of Photons in Certain Disordered Dielectric Superlattices. Phys. Rev. Lett. 1987, 58, 2486–2489. [Google Scholar] [CrossRef]
- Yang, J.; Zhou, L.; Che, X.; Huang, J.; Li, X.; Chen, W. Photonic Crystal Fiber Methane Sensor Based on Modal Interference with an Ultraviolet Curable Fluoro-Siloxane Nano-Film Incorporating Cryptophane A. Sens. Actuators B Chem. 2016, 235, 717–722. [Google Scholar] [CrossRef]
- Cheng, T.; Duan, Z.; Liao, M.; Gao, W.; Deng, D.; Suzuki, T.; Ohishi, Y. A Simple All-Solid Tellurite Microstructured Optical Fiber. Opt. Express 2013, 21, 3318–3323. [Google Scholar] [CrossRef]
- Wong, W.C.; Chan, C.C.; Chen, L.H.; Li, T.; Lee, K.X.; Leong, K.C. Polyvinyl Alcohol Coated Photonic Crystal Optical Fiber Sensor for Humidity Measurement. Sens. Actuators B Chem. 2012, 174, 563–569. [Google Scholar] [CrossRef]
- Verma, R.; Gupta, B.D.; Jha, R. Sensitivity Enhancement of a Surface Plasmon Resonance Based Biomolecules Sensor Using Graphene and Silicon Layers. Sens. Actuators B Chem. 2011, 160, 623–631. [Google Scholar] [CrossRef]
- Rifat, A.A.; Ahmed, R.; Yetisen, A.K.; Butt, H.; Sabouri, A.; Mahdiraji, G.A.; Yun, S.H.; Adikan, F.R.M. Photonic Crystal Fiber Based Plasmonic Sensors. Sens. Actuators B Chem. 2017, 243, 311–325. [Google Scholar] [CrossRef]
- Chen, M.; Lang, T.; Cao, B.; Yu, Y.; Shen, C. D-Type Optical Fiber Immunoglobulin G Sensor Based on Surface Plasmon Resonance. Opt. Laser Technol. 2020, 131, 106445. [Google Scholar] [CrossRef]
- Weng, S.; Pei, L.; Wang, J.; Ning, T.; Li, J. High Sensitivity D-Shaped Hole Fiber Temperature Sensor Based on Surface Plasmon Resonance with Liquid Filling. Photonics Res. 2017, 5, 103–107. [Google Scholar] [CrossRef]
- Xie, Q.; Chen, Y.; Li, X.; Yin, Z.; Wang, L.; Geng, Y.; Hong, X. Characteristics of D-Shaped Photonic Crystal Fiber Surface Plasmon Resonance Sensors with Different Side-Polished Lengths. Appl. Opt. 2017, 56, 1550–1555. [Google Scholar] [CrossRef]
- Luan, N.; Wang, R.; Lv, W.; Yao, J. Surface Plasmon Resonance Sensor Based on D-Shaped Microstructured Optical Fiber with Hollow core. Opt. Express 2015, 23, 8576–8582. [Google Scholar] [CrossRef]
- Hasan, M.R.; Akter, S.; Rifat, A.A.; Rana, S.; Ali, S. A Highly Sensitive Gold-Coated Photonic Crystal Fiber Biosensor Based on Surface Plasmon Resonance. Photonics 2017, 4, 18. [Google Scholar] [CrossRef]
- Quan, M.; Tian, J.; Yao, Y. Ultra-High Sensitivity Fabry-Perot Interferometer Gas Refractive Index Fiber Sensor Based on Photonic Crystal Fiber and Vernier Effect. Opt. Lett. 2015, 40, 4891–4894. [Google Scholar] [CrossRef]
- Verma, R.; Gupta, B.D. A Novel Approach for Simultaneous Sensing of Urea and Glucose by SPR Based Optical Fiber Multianalyte Sensor. Analyst 2014, 139, 1449–1455. [Google Scholar] [CrossRef]
- Novoselov, K.S.; Geim, A.K.; Morozov, S.V.; Jiang, D.; Zhang, Y.; Dubonos, S.V.; Grigorieva, I.V.; Firsov, A.A. Electric Field Effect in Atomically Thin Carbon Films. Science 2004, 306, 666–669. [Google Scholar] [CrossRef]
- Pearce, R.; Iakimov, T.; Andersson, M.; Hultman, L.; Spetz, A.L.; Yakimova, R. Epitaxially Grown Graphene Based Gas Sensors for Ultra Sensitive NO2 Detection. Sens. Actuators B Chem. 2011, 155, 451–455. [Google Scholar] [CrossRef]
- He, Q.; Wu, S.; Yin, Z.; Zhang, H. Graphene-Based Electronic Sensors. Chem. Sci. 2012, 3, 1764–1772. [Google Scholar] [CrossRef]
- Yavari, F.; Koratkar, N. Graphene-Based Chemical Sensors. J. Phys. Chem. Lett. 2012, 3, 1746–1753. [Google Scholar] [CrossRef] [PubMed]
- Bao, Q.; Loh, K.P. Graphene Photonics, Plasmonics, and Broadband Optoelectronic Devices. ACS Nano 2012, 6, 3677–3694. [Google Scholar] [CrossRef]
- Jiang, Y.; Miao, L.; Jiang, G.; Chen, Y.; Qi, X.; Jiang, X.-f.; Zhang, H.; Wen, S. Broadband and Enhanced Nonlinear Optical Response of MoS2/Graphene Nanocomposites for Ultrafast Photonics Applications. Sci. Rep. 2015, 5, 16372. [Google Scholar] [CrossRef]
- Wu, L.; Chu, H.; Koh, W.; Li, E. Highly Sensitive Graphene Biosensors Based on Surface Plasmon Resonance. Opt. Express 2010, 18, 14395–14400. [Google Scholar] [CrossRef]
- Xia, F.; Wang, H.; Xiao, D.; Dubey, M.; Ramasubramaniam, A.J.N.P. Two-Dimensional Material Nanophotonics. Nat. Photonics 2014, 8, 899–907. [Google Scholar] [CrossRef]
- Llatser, I.; Kremers, C.; Cabellos-Aparicio, A.; Jornet, J.M.; Alarcón, E.; Chigrin, D.N.J.P. Graphene-Based Nano-Patch Antenna for Terahertz Radiation. Photonics Nanostructures-Fundamentals. Appl. 2012, 10, 353–358. [Google Scholar] [CrossRef]
- Jiang, X.Q.; Liu, Z.B.; Tian, J.G. Progress in Optical Properties and Applications of Graphene. Prog. Phys. 2017, 37, 22–36. [Google Scholar]
- Wang, F.; Zhang, Y.; Tian, C.; Girit, C.; Zettl, A.; Crommie, M.; Shen, Y.R. Gate-Variable Optical Transitions in Graphene. Science 2008, 320, 206–209. [Google Scholar] [CrossRef]
- Li, Z.; Henriksen, E.A.; Jiang, Z.; Hao, Z.; Martin, M.C.; Kim, P.; Stormer, H.; Basov, D.N. Dirac Charge Dynamics in Graphene by Infrared Spectroscopy. Nat. Phys. 2008, 4, 532–535. [Google Scholar] [CrossRef]
- Jiao, S.; Gu, S.; Yang, H.; Fang, H.; Xu, S. Highly Sensitive Dual-Core Photonic Crystal Fiber Based on a Surface Plasmon Resonance Sensor with a Silver Nano-Continuous Grating. Appl. Opt. 2018, 57, 8350–8358. [Google Scholar] [CrossRef] [PubMed]
- Falkovsky, L.; Pershoguba, S. Optical Far-Infrared Properties of a Graphene Monolayer and Multilayer. Phys. Rev. B 2007, 76, 153410. [Google Scholar] [CrossRef]
- Gusynin, V.; Sharapov, S. Transport of Dirac Quasiparticles in Graphene: Hall and Optical Conductivities. Phys. Rev. B 2006, 73, 245411. [Google Scholar] [CrossRef]
- Xiao, G.L.; Yang, X.H.; Yang, H.Y.; Dou, W.Y.; Xu, J.; Wei, Q.; Li, H.; Zhang, F.; Li, Q.; Chen, Y.; et al. Plasma Refractive Index Sensor with Tunable Cross Tie-Shaped Graphene Array Structure. Acta Opt. Sin. 2019, 39, 0728011. [Google Scholar] [CrossRef]
- He, S.; Zhang, X.; He, Y. Graphene Nano-Ribbon Waveguides of Record-Small Mode Area and Ultra-High Effective Refractive Indices for Future VLSI. Opt. Express 2013, 21, 30664–30673. [Google Scholar] [CrossRef] [PubMed]
- Bo, Y.; Xin-Xin, Y.; Jing-Yue, F.; Yong-Dan, H.; Hua, Q.; Shi-Qiao, Q. Tunable Terahertz Plasmon in Grating-Gate Coupled Graphene with a Resonant Cavity. Chinese Phys. B 2015, 24, 015203. [Google Scholar]
- Nair, R.R.; Blake, P.; Grigorenko, A.N.; Novoselov, K.S.; Booth, T.J.; Stauber, T.; Peres, N.M.; Geim, A.K. Fine Structure Constant Defines Visual Transparency of Graphene. Science 2008, 320, 1308. [Google Scholar] [CrossRef]
- Bruna, M.; Borini, S. Optical Constants of Graphene Layers in the Visible Range. Appl. Phys. Lett. 2009, 94, 666. [Google Scholar] [CrossRef]
- Vial, A.; Grimault, A.-S.; Macías, D.; Barchiesi, D.; De La Chapelle, M.L. Improved Analytical Fit of Gold Dispersion: Application to the Modeling of Extinction Spectra with a Finite-Difference Time-Domain Method. Phys. Rev. B 2005, 71, 085416. [Google Scholar] [CrossRef]
- Birks, T.; Atkin, D.; Wylangowski, G.; Russell, P.S.; Roberts, P. 2D Photonic Band Gap Structures in Fibre Form. In Photonic Band Gap Materials; Springer: Berlin, Germany, 1996; pp. 437–444. [Google Scholar]
- Rifat, A.A.; Hasan, M.R.; Ahmed, R.; Butt, H. Photonic Crystal Fiber-Based Plasmonic Biosensor with External SENSING approach. J. Nanophotonics 2017, 12, 012503. [Google Scholar] [CrossRef]
- Hautakorpi, M.; Mattinen, M.; Ludvigsen, H. Surface-Plasmon-Resonance Sensor Based on Three-Hole Microstructured Optical Fiber. Opt. Express 2008, 16, 8427–8432. [Google Scholar] [CrossRef] [PubMed]
- Mahfuz, M.A.; Hossain, M.; Haque, E.; Hai, N.H.; Namihira, Y.; Ahmed, F. A Bimetallic-Coated, Low Propagation Loss, Photonic Crystal Fiber Based Plasmonic Refractive Index Sensor. Sensors 2019, 19, 3794. [Google Scholar] [CrossRef] [PubMed]
- Al Mahfuz, M.; Hasan, M.R.; Momota, M.R.; Masud, A.; Akter, S. Asymmetrical Photonic Crystal Fiber Based Plasmonic Sensor Using the Lower Birefringence Peak Method. OSA Contin. 2019, 2, 1713–1725. [Google Scholar] [CrossRef]
- Islam, M.S.; Cordeiro, C.M.; Sultana, J.; Aoni, R.A.; Feng, S.; Ahmed, R.; Dorraki, M.; Dinovitser, A.; Ng, B.W.-H.; Abbott, D. A Hi-Bi Ultra-Sensitive Surface Plasmon Resonance Fiber Sensor. IEEE Access 2019, 7, 79085–79094. [Google Scholar] [CrossRef]
- Akjouj, A.; Mir, A. Design of Silver Nanoparticles with Graphene Coatings Layers Used for LSPR Biosensor Applications. Vacuum 2020, 180, 109497. [Google Scholar]
- Zhan, Y.; Li, Y.; Wu, Z.; Hu, S.; Li, Z.; Liu, X.; Yu, J.; Huang, Y.; Jing, G.; Lu, H. Surface Plasmon Resonance-Based Microfiber Sensor with Enhanced Sensitivity by Gold Nanowires. Opt. Mater. Express 2018, 8, 3927–3940. [Google Scholar] [CrossRef]
- Yang, X.; Lu, Y.; Liu, B.; Yao, J. Analysis of Graphene-Based Photonic Crystal Fiber Sensor Using Birefringence and Surface Plasmon Resonance. Plasmonics 2017, 12, 489–496. [Google Scholar] [CrossRef]








| (THz) | (THz) | (THz) | (THz) | ||||
| Drude-Lorentz | 5.9673 | 2113.6 | 15.92 | 650.07 | 104.86 | 1.09 | 14.521 |
| Gold Film Thickness (nm) | FWHM (nm) | S (nm/RIU) | FOM (RIU−1) |
|---|---|---|---|
| 35 | 61 | 1500 | 24.6 |
| 40 | 59 | 2000 | 33.9 |
| 45 | 65 | 2000 | 30.8 |
| 50 | 64 | 2000 | 31.3 |
Publisher’s Note: MDPI stays neutral with regard to jurisdictional claims in published maps and institutional affiliations. |
© 2021 by the authors. Licensee MDPI, Basel, Switzerland. This article is an open access article distributed under the terms and conditions of the Creative Commons Attribution (CC BY) license (http://creativecommons.org/licenses/by/4.0/).
Share and Cite
Yang, H.; Liu, M.; Chen, Y.; Guo, L.; Xiao, G.; Liu, H.; Li, J.; Yuan, L. Highly Sensitive Graphene-Au Coated Plasmon Resonance PCF Sensor. Sensors 2021, 21, 818. https://doi.org/10.3390/s21030818
Yang H, Liu M, Chen Y, Guo L, Xiao G, Liu H, Li J, Yuan L. Highly Sensitive Graphene-Au Coated Plasmon Resonance PCF Sensor. Sensors. 2021; 21(3):818. https://doi.org/10.3390/s21030818
Chicago/Turabian StyleYang, Hongyan, Mengyin Liu, Yupeng Chen, Ling Guo, Gongli Xiao, Houquan Liu, Jianqing Li, and Libo Yuan. 2021. "Highly Sensitive Graphene-Au Coated Plasmon Resonance PCF Sensor" Sensors 21, no. 3: 818. https://doi.org/10.3390/s21030818
APA StyleYang, H., Liu, M., Chen, Y., Guo, L., Xiao, G., Liu, H., Li, J., & Yuan, L. (2021). Highly Sensitive Graphene-Au Coated Plasmon Resonance PCF Sensor. Sensors, 21(3), 818. https://doi.org/10.3390/s21030818

