A Coupled Piezoelectric Sensor for MMG-Based Human-Machine Interfaces
Abstract
1. Introduction
2. Materials and Methods
2.1. Evaluation of the Sensor Performance during Step and Ramp Isometric Contractions
- EMG signals were high-pass (HP) filtered at the pre-amplification stage followed by an AC coupling, resulting in a 2nd order filter with 2.44 Hz cut-off frequency; the low-pass (LP) filtering was introduced with a 2nd order Sallen-Key topology with 245 Hz cut-off frequency;
- MMG signals were HP filtered with an AC coupling, which provided 1st order filter with 1.54 Hz cut-off frequency; the LP filter design was the same as for EMG signals, i.e., a 2nd order filter with 245 Hz cut-off frequency.
2.2. Classification Task
3. Results
3.1. Evaluation of the Sensor Performance during Step and Ramp Isometric Contractions
3.2. Classification Task
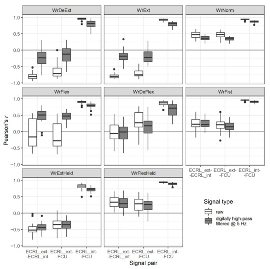
- WrDeExt and WrExt gestures, where absolute r values are diminished significantly;
- WrFlex gesture, where the distributions of r values are narrowed and shifted to the positive values.
4. Discussion
4.1. Evaluation of the Sensor Performance during Step and Ramp Isometric Contractions
4.2. Classification Task
4.3. Observations on the Sensor Application
4.4. Limitations of the Study
5. Conclusions
Author Contributions
Funding
Institutional Review Board Statement
Informed Consent Statement
Data Availability Statement
Conflicts of Interest
References
- Islam, M.A.; Sundaraj, K.; Ahmad, R.; Ahamed, N.; Ali, M.A. Mechanomyography Sensor Development, Related Signal Processing, and Applications: A Systematic Review. IEEE Sens. J. 2013, 13, 2499–2516. [Google Scholar] [CrossRef]
- Beck, T.; Housh, T.; Cramer, J.; Weir, J.; Johnson, G.; Coburn, J.; Moh, H.; Mielke, M. Mechnomyographic amplitude and frequency responses during dynamic muscle actions: A comprehensive review. Biomed. Eng. Online 2005, 4, 67. [Google Scholar] [CrossRef]
- Orizio, C. Muscle sound: Bases for the introduction of a mechanomyographic signal in muscle studies. Crit. Rev. Biomed. Eng. 1993, 21, 201–243. [Google Scholar] [PubMed]
- Krueger, E.; Scheeren, E.M.; Nogueira-Neto, G.N.; da Silveira Nantes Button, V.L.; Nohama, P. Advances and perspectives of mechanomyography. Braz. J. Biom. Eng. 2014, 8, 384–401. [Google Scholar] [CrossRef][Green Version]
- Wolczowski, A.; Błędowski, M.; Witkowski, J. The System for EMG and MMG Singals Recording for the Bioprosthetic Hand Control. J. Autom. Mob. Robot. Intell. Syst. 2017, 11, 22–29. [Google Scholar] [CrossRef]
- Geng, Y.; Chen, L.; Tian, L.; Li, P. Comparison of electromyography and mechanomyogram in control of prosthetic system in multiple limb positions. In Proceedings of the IEEE-EMBS International Conference on Biomedical and Health Informatics (BHI 2012), Hong Kong, China, 5–7 January 2012. [Google Scholar] [CrossRef]
- Rajamani, Y.; Lam, C.K.; Sundaraj, K.; Zulkefli, N.F.B. Analysis and Classification of Multiple Hand Gestures using MMG Signals. J. Telecommun. Electron. Comput. Eng. 2018, 10, 67–71. [Google Scholar]
- Donnarumma, M.; Caramiaux, B.; Tanaka, A. Muscular Interactions Combining EMG and MMG sensing for musical practice. In Proceedings of the International Conference on New Interfaces for Musical Expression, Daejeon, Korea, 27–30 May 2013. [Google Scholar]
- Prociow, P.; Wolczowski, A.; Amaral, T.; Dias, O.; Filipe, J. Identification of Hand Movements based on MMG and EMG Signals. In Proceedings of the 1st International Conference on Bio-inspired Systems and Signal Processing, Funchal, Madeira, Portugal, 28–31 January 2008; Volume 2, pp. 534–539. [Google Scholar]
- Talib, I.; Sundaraj, K.; Lam, C.K.; Sundaraj, S. A systematic review of muscle activity assessment of the biceps brachii muscle using mechanomyography. J. Musculoskelet. Neuronal Interact. 2018, 18, 446–462. [Google Scholar] [PubMed]
- Ibitoye, M.; Hamzaid, N.; Zuniga, J.; Hasnan, N.; Abdul Wahab, A. Mechanomyographic Parameter Extraction Methods: An Appraisal for Clinical Applications. Sensors 2014, 14, 22940–22970. [Google Scholar] [CrossRef] [PubMed]
- Guo, J.Y.; Zheng, Y.P.; Xie, H.B.; Chen, X. Continuous monitoring of electromyography (EMG), mechanomyography (MMG), sonomyography (SMG) and torque output during ramp and step isometric contractions. Med. Eng. Phys. 2010, 32, 1032–1042. [Google Scholar] [CrossRef]
- Meagher, C.; Franco, E.; Turk, R.; Wilson, S.; Steadman, N.; McNicholas, L.; Vaidyanathan, R.; Burridge, J.; Stokes, M. New advances in mechanomyography sensor technology and signal processing: Validity and intrarater reliability of recordings from muscle. J. Rehabil. Assist. Technol. Eng. 2020, 7, 2055668320916116. [Google Scholar] [CrossRef]
- Islam, M.A.; Sundaraj, K.; Ahmad, R.; Ahamed, N. Mechanomyogram for Muscle Function Assessment: A Review. PLoS ONE 2013, 8, e58902. [Google Scholar] [CrossRef] [PubMed]
- Herda, T.J.; Housh, T.J.; Fry, A.C.; Weir, J.P.; Schilling, B.K.; Ryan, E.D.; Cramer, J.T. A noninvasive, log-transform method for fiber type discrimination using mechanomyography. J. Electromyogr. Kinesiol. 2010, 20, 787–794. [Google Scholar] [CrossRef] [PubMed]
- Beck, T.W.; Housh, T.J.; Fry, A.C.; Cramer, J.T.; Weir, J.P.; Schilling, B.K.; Falvo, M.J.; Moore, C.A. The influence of muscle fiber type composition on the patterns of responses for electromyographic and mechanomyographic amplitude and mean power frequency during a fatiguing submaximal isometric muscle action. Electromyogr. Clin. Neurophysiol. 2007, 47, 221–232. [Google Scholar]
- Castillo, C.S.M.; Wilson, S.; Vaidyanathan, R.; Atashzar, S.F. Wearable MMG-Plus-One Armband: Evaluation of Normal Force on Mechanomyography (MMG) to Enhance Human-Machine Interfacing. IEEE Trans. Neural Syst. Rehabil. Eng. 2021, 29, 196–205. [Google Scholar] [CrossRef]
- Santos, E.; de Fatima Fernandes Vara, M.; Ranciaro, M.; Strasse, W.; Nunes Nogueira Neto, G.; Nohama, P. Influence of sensor mass and adipose tissue on the mechanomyography signal of elbow flexor muscles. J. Biomech. 2021, 122, 110456. [Google Scholar] [CrossRef] [PubMed]
- Szumilas, M.; Lewenstein, K.; Ślubowska, E. Verification of the functionality of device for monitoring human tremor. Biocybern. Biomed. Eng. 2015, 35, 240–246. [Google Scholar] [CrossRef]
- Islam, M.A.; Ahamed, N. Mechanomyography Sensors for Muscle Assessment: A Brief Review. J. Phys. Ther. Sci. 2012, 24, 1359–1365. [Google Scholar] [CrossRef]
- Rodriguez-Labra, J.I.; Narakathu, B.B.; Atashbar, M.Z. Development of a Wireless Robotic Arm Control System Using Piezoelectric Sensors and Neural Networks. In Proceedings of the 2019 IEEE SENSORS, Montreal, QC, Canada, 27–30 October 2019; pp. 1–4. [Google Scholar] [CrossRef]
- Booth, R.; Goldsmith, P. A Wrist-Worn Piezoelectric Sensor Array for Gesture Input. J. Med Biol. Eng. 2017, 38, 284–295. [Google Scholar] [CrossRef]
- Watakabe, M.; Itoh, Y.; Mita, K.; Akataki, K. Technical aspects of mechnomyography recording with piezoelectric contact sensor. Med Biol. Eng. Comput. 1998, 36, 557. [Google Scholar] [CrossRef] [PubMed]
- Bolton, C.F.; Parkes, A.; Thompson, T.R.; Clark, M.R.; Sterne, C.J. Recording sound from human skeletal muscle: Technical and physiological aspects. Muscle Nerve 1989, 12, 126–134. [Google Scholar] [CrossRef]
- Ahmadizadeh, C.; Pousett, B.; Menon, C. Investigation of Channel Selection for Gesture Classification for Prosthesis Control Using Force Myography: A Case Study. Front. Bioeng. Biotechnol. 2019, 7, 331. [Google Scholar] [CrossRef] [PubMed]
- Silva, J.; Chau, T. Coupled microphone-accelerometer sensor pair for dynamic noise reduction in MMG signal recording. Electron. Lett. 2003, 39, 1496–1498. [Google Scholar] [CrossRef]
- Gregori, B.; Galié, E.; Accornero, N. Surface electromyography and mechanomyography recording: A new differential composite probe. Med. Biol. Eng. Comput. 2003, 41, 665–669. [Google Scholar] [CrossRef] [PubMed]
- Fukuhara, S.; Oka, H. A Simplified Analysis of Real-time Monitoring of Muscle Contraction during Dynamic Exercise Using an MMG/EMG Hybrid Transducer System. Adv. Biomed. Eng. 2019, 8, 185–192. [Google Scholar] [CrossRef]
- Zhang, X.; Li, X.; Samuel, O.W.; Huang, Z.; Fang, P.; Li, G. Improving the Robustness of Electromyogram-Pattern Recognition for Prosthetic Control by a Postprocessing Strategy. Front. Neurorobotics 2017, 11, 51. [Google Scholar] [CrossRef] [PubMed]
- Asheghabadi, A.S.; Moqadam, S.B.; Xu, J. Multichannel Finger Pattern Recognition Using Single-Site Mechanomyography. IEEE Sens. J. 2021, 21, 8184–8193. [Google Scholar] [CrossRef]
- Esposito, D.; Andreozzi, E.; Gargiulo, G.D.; Fratini, A.; D’Addio, G.; Naik, G.R.; Bifulco, P. A Piezoresistive Array Armband With Reduced Number of Sensors for Hand Gesture Recognition. Front. Neurorobotics 2020, 13, 114. [Google Scholar] [CrossRef]
- R Core Team. R: A Language and Environment for Statistical Computing; R Foundation for Statistical Computing: Vienna, Austria, 2018. [Google Scholar]
- Abadi, M.; Barham, P.; Chen, J.; Chen, Z.; Davis, A.; Dean, J.; Devin, M.; Ghemawat, S.; Irving, G.; Isard, M.; et al. TensorFlow: A system for large-scale machine learning. arXiv 2016, arXiv:1605.08695. [Google Scholar]
- Allaire, J.; Chollet, F. Keras: R Interface to ’Keras’; R Package Version 2.4.0. 2021. Available online: https://keras.rstudio.com/ (accessed on 15 December 2021).
- Beck, T.W.; Housh, T.J.; Fry, A.C.; Cramer, J.T.; Weir, J.P.; Schilling, B.K.; Falvo, M.J.; Moore, C.A. The influence of myosin heavy chain isoform composition and training status on the patterns of responses for mechanomyographic amplitude versus isometric torque. J. Strength Cond. Res. 2008, 22, 818–825. [Google Scholar] [CrossRef] [PubMed]
- Trevino, M.A.; Herda, T.J.; Fry, A.C.; Gallagher, P.M.; Vardiman, J.P.; Mosier, E.M.; Miller, J.D. The influence of myosin heavy chain isoform content on mechanical behavior of the vastus lateralis in vivo. J. Electromyogr. Kinesiol. 2016, 28, 143–151. [Google Scholar] [CrossRef] [PubMed]
- Ke, A.; Huang, J.; Chen, L.; Gao, Z.; He, J. An Ultra-Sensitive Modular Hybrid EMG–FMG Sensor with Floating Electrodes. Sensors 2020, 20, 4775. [Google Scholar] [CrossRef] [PubMed]













| Motion | Label |
|---|---|
| Positions: | |
| Normal wrist and hand position | WrNorm |
| Extended wrist | WrExtHeld |
| Flexed wrist | WrFlexHeld |
| Clenched fist | WrFist |
| Gestures: | |
| From normal position to extended wrist | WrExt |
| From extended wrist to normal position | WrDeExt |
| From normal position to a flexed wrist | WrFlex |
| From flexed wrist to normal position | WrDeFlex |
| Signal Set | Cross-Validated Training Epochs | Overall Test Accuracy |
|---|---|---|
| ECRL_ext, ECRL_int, FCU | 35 | 97.7% |
| ECRL_ext, ECRL_int | 35 | 94.3% |
| ECRL_int, FCU | 38 | 97.7% |
| ECRL_ext, FCU | 35 | 94.3% |
| ECRL_ext | 24 | 75.0% |
| ECRL_int | 33 | 84.1% |
| FCU | 39 | 89.8% |
Publisher’s Note: MDPI stays neutral with regard to jurisdictional claims in published maps and institutional affiliations. |
© 2021 by the authors. Licensee MDPI, Basel, Switzerland. This article is an open access article distributed under the terms and conditions of the Creative Commons Attribution (CC BY) license (https://creativecommons.org/licenses/by/4.0/).
Share and Cite
Szumilas, M.; Władziński, M.; Wildner, K. A Coupled Piezoelectric Sensor for MMG-Based Human-Machine Interfaces. Sensors 2021, 21, 8380. https://doi.org/10.3390/s21248380
Szumilas M, Władziński M, Wildner K. A Coupled Piezoelectric Sensor for MMG-Based Human-Machine Interfaces. Sensors. 2021; 21(24):8380. https://doi.org/10.3390/s21248380
Chicago/Turabian StyleSzumilas, Mateusz, Michał Władziński, and Krzysztof Wildner. 2021. "A Coupled Piezoelectric Sensor for MMG-Based Human-Machine Interfaces" Sensors 21, no. 24: 8380. https://doi.org/10.3390/s21248380
APA StyleSzumilas, M., Władziński, M., & Wildner, K. (2021). A Coupled Piezoelectric Sensor for MMG-Based Human-Machine Interfaces. Sensors, 21(24), 8380. https://doi.org/10.3390/s21248380

