A MIMO Radar Signal Processing Algorithm for Identifying Chipless RFID Tags
Abstract
:1. Introduction
2. Theoretical Basis
3. Algorithm
3.1. Received Signal
3.2. MIMO Signal Processing
3.3. Azimuth Estimation
3.4. Algorithm Flowchart
4. Simulation and Discussion
4.1. Performance Analysis
4.1.1. SNR
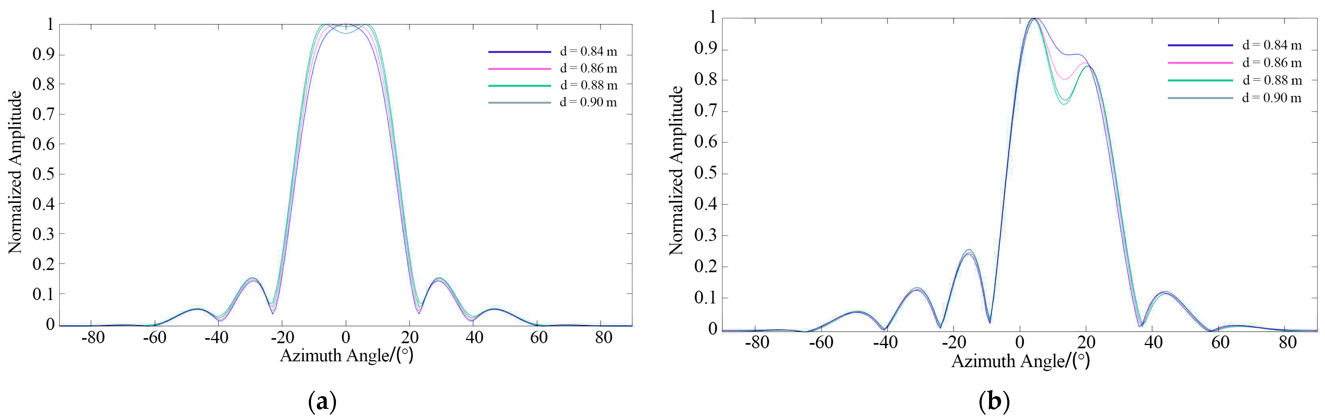
4.1.2. Azimuth Resolution
4.2. Simulation
4.2.1. Single-Tag Test
4.2.2. Noise Suppression Ability Test
4.2.3. Comparison and Analysis
4.2.4. Multi-Tag Test
5. Conclusions
Author Contributions
Funding
Institutional Review Board Statement
Informed Consent Statement
Acknowledgments
Conflicts of Interest
References
- Shrestha, S.; Balachandran, M.; Agarwal, M.; Phoha, V.; Varahramyan, K. A Chipless RFID Sensor System for Cyber Centric Monitoring Applications. IEEE Trans. Microw. Theory Tech. 2009, 57, 1303–1309. [Google Scholar] [CrossRef]
- Preradovic, S.; Balbin, I.; Karmakar, N.; Swiegers, G.F. Multiresonator-Based Chipless RFID System for Low-Cost Item Tracking. IEEE Trans. Microw. Theory Tech. 2009, 57, 1411–1419. [Google Scholar] [CrossRef] [Green Version]
- Preradovic, S.; Karmakar, N. Chipless RFID: Bar Code of the Future. IEEE Microw. Mag. 2010, 11, 87–97. [Google Scholar] [CrossRef]
- Nijas, C.M.; Dinesh, R.; Deepak, U.; Rasheed, A.; Mridula, S.; Vasudevan, K.; Mohanan, P. Chipless RFID Tag Using Multiple Microstrip Open Stub Resonators. IEEE Trans. Antennas Propag. 2012, 60, 4429–4432. [Google Scholar] [CrossRef]
- Rezaiesarlak, R.; Manteghi, M. Complex-Natural-Resonance-Based Design of Chipless RFID Tag for High-Density Data. IEEE Trans. Antennas Propag. 2014, 62, 898–904. [Google Scholar] [CrossRef]
- Rezaiesarlak, R.; Manteghi, M. Short-Time Matrix Pencil Method for Chipless RFID Detection Applications. IEEE Trans. Antennas Propag. 2013, 61, 2801–2806. [Google Scholar] [CrossRef]
- Kalansuriya, P.; Karmakar, N.C.; Viterbo, E. On the Detection of Frequency-Spectra-Based Chipless RFID Using UWB Impulsed Interrogation. IEEE Trans. Microw. Theory Tech. 2012, 60, 4187–4197. [Google Scholar] [CrossRef] [Green Version]
- Rezaiesarlak, R.; Manteghi, M. A Space–Time–Frequency Anticollision Algorithm for Identifying Chipless RFID Tags. IEEE Trans. Antennas Propag. 2014, 62, 1425–1432. [Google Scholar] [CrossRef]
- Marrocco, G.; Mattioni, L.; Calabrese, C. Multiport Sensor RFIDs for Wireless Passive Sensing of Objects—Basic Theory and Early Results. IEEE Trans. Antennas Propag. 2008, 56, 2691–2702. [Google Scholar] [CrossRef] [Green Version]
- Finkenzeller, K. Frequency Ranges. Radio Licensing Regulations. In RFID Handbook: Fundamentals and Applications in Contactless Smart Cards, Radio Frequency Identification and Near-Field Communication, 3rd ed.; John Wiley & Sons: Mississauga, ON, USA, 2010; pp. 155–178. [Google Scholar]
- Tang, Z.; He, Y. Research of Multi-access and Anti-collision Protocols in RFID Systems. In Proceedings of the International Workshop on Anti-Counterfeiting, Security and Identification (ASID), Xiamen, China, 16–18 April 2007; pp. 377–380. [Google Scholar]
- El-Hadidy, M.; El-Awamry, A.; Fawky, A.; Khaliel, M.; Kaiser, T. Real-world testbed for multi-tag UWB chipless RFID system based on a novel collision avoidance MAC protocol. Trans. Emerg. Tel. Tech. 2016, 1–8. [Google Scholar] [CrossRef]
- Abderrazak, H.; Slaheddine, B.; Ridha, B. A Transponder Anti-Collision Algorithm Based on a Multi-Antenna RFID Reader. In Proceedings of the 2nd International Conference on Information & Communication Technology from Theory to Application (ICTTA2006), Damascus, Syria, 24–28 April 2006; pp. 2684–2688. [Google Scholar]
- Liu, Z.; Zhang, C.; Li, Y.; Wang, Z.; Songtan, E. A novel passive UHF RFID transponder with space division Anti-collision Algorithm. In Proceedings of the 7th International Conference on ASIC, (ASICON2007), Guilin, China, 22–25 October 2007; pp. 878–881. [Google Scholar]
- Hua, Z.; Xiaojun, J.; Wenkang, S.; Shaochuan, C. Research on application of smart antenna technology to the identification of multiple SAW tags. Chin. J. Sci. Instrum. 2007, 28, 1387–1392. [Google Scholar]
- Yu, J.; Liu, K.H.; Huang, X.; Yan, G. An anti-collision algorithm based on smart antenna in RFID system. In Proceedings of the International Conference on Microwave and Millimeter Wave Technology Proceedings, (ICMMT2008), Nanjing, China, 21–24 April 2008; pp. 1149–1152. [Google Scholar]
- Boyer, C.; Roy, S. Backscatter Communication and RFID: Coding, Energy, and MIMO Analysis. IEEE Trans. Commun. 2014, 62, 770–785. [Google Scholar] [CrossRef]
- Das, R. Chip-Less RFID—The End Game. Available online: http://www.idtechex.com/products/en/articles/00000435.asp (accessed on 20 February 2006).
- Ramos, A.; Girbau, D.; Lazaro, A.; Rima, S. IR-UWB radar system and tag design for time-coded chipless RFID. In Proceedings of the 6th European Antennas Propagation Conference, (EUCAP2012), Prague, Czech Republic, 26–30 March 2012; pp. 2491–2494. [Google Scholar]
- Jan, M.; Milan, P.; Milan, S.; Jaroslav, H. Frequency-domain chipless RFID transponders: Improvement the reading response. In Proceedings of the 22nd International Microwave and Radar Conference, (MIKON), Poznan, Poland, 14–17 May 2018. [Google Scholar] [CrossRef]
- Balbin, I.; Karmakar, N. Phase-Encoded Chipless RFID Transponder for Large-Scale Low-Cost Applications. IEEE Microw. Wirel. Compon. Lett. 2009, 19, 509–511. [Google Scholar] [CrossRef]
- Preradovic, S.; Karmakar, N.C. Design of fully printable planar chipless RFID transponder with 35-bit data capacity. In Proceedings of the European Microwave Conference, (EuMC2009), Rome, Italy, 29 September–1 October 2009; pp. 013–016. [Google Scholar]
- Balbin, I.; Karmakar, N. Radio Frequency Transponder System. Australian Provisional Patent DCC, 20 October 2008. [Google Scholar]
- Islam, M.A.; Karmakar, N.C. A novel compact printable dualpolarized chipless RFID system. IEEE Trans. Microw. Theory Tech. 2012, 60, 2142–2151. [Google Scholar] [CrossRef]
- Byun, J.-K.; Choi, N.-S.; Kim, D.-H. Optimal design of a RFID tag antenna based on planewave incidence. IEEE Trans. Magn. 2012, 48, 795–798. [Google Scholar] [CrossRef]
- Jalaly, I.; Robertson, I.D. RF bar codes using multiple frequency bands. In Proceedings of the IEEE MTT-S International Microwave Symposium, Phoenix, AZ, USA, 17–22 May 2015; pp. 4–7. [Google Scholar]
- Vena, A.; Perret, E.; Tedjini, S. High-Capacity Chipless RFID Tag Insensitive to the Polarization. IEEE Trans. Antennas Propag. 2012, 60, 4509–4515. [Google Scholar] [CrossRef]
- Huang, H.; Su, L. A Compact Dual-Polarized Chipless RFID Tag by Using Nested Concentric Square Loops. IEEE Antennas Wirel. Propag. Lett. 2017, 16, 1036–1039. [Google Scholar] [CrossRef]
- Feng, Z.; Chuanyun, Z.; Lei, X.; Yi, H. Design of a printable chipless RFID tag based on multi-resonator. Chin. Commun. Netw. 2018, 44, 113–116. [Google Scholar]
- Lu, Y.; Tang, Y. A study of cross array with MIMO DBF. In Proceedings of the IEEE Antennas and Propagation Society International Symposium, Memphis, TN, USA, 6–11 July 2014; pp. 482–483. [Google Scholar] [CrossRef]
- Xu, Y.; Kim, Y.; Tentzeris, M.M.; Lim, S. Bi-Directional Loop Antenna Array Using Magic Cube Origami. Sensors 2019, 19, 3911. [Google Scholar] [CrossRef] [PubMed] [Green Version]














| Symbol | Value | Unit | Description |
|---|---|---|---|
| 8 | - | Number of antenna array elements | |
| 3.25 | GHz | Center frequency | |
| 0.0922 | m | Wavelength | |
| 2.5 | GHz | Bandwidth | |
| 100 | μs | Pulse width | |
| 3 | m | Distance between tag and MIMO radar | |
| 0, 5 | degree | Azimuth angle of the tag to the MIMO radar reference point | |
| 0.25314 | rad | MIMO radar main beam width | |
| 0.763 | m | Azimuthal resolution |
| SNR | MIMO Method Results Variance | SISO Method Results Variance |
|---|---|---|
| 0 dB | ||
| −10 dB | ||
| −20 dB |
Publisher’s Note: MDPI stays neutral with regard to jurisdictional claims in published maps and institutional affiliations. |
© 2021 by the authors. Licensee MDPI, Basel, Switzerland. This article is an open access article distributed under the terms and conditions of the Creative Commons Attribution (CC BY) license (https://creativecommons.org/licenses/by/4.0/).
Share and Cite
Su, C.; Zou, C.; Jiao, L.; Zhang, Q. A MIMO Radar Signal Processing Algorithm for Identifying Chipless RFID Tags. Sensors 2021, 21, 8314. https://doi.org/10.3390/s21248314
Su C, Zou C, Jiao L, Zhang Q. A MIMO Radar Signal Processing Algorithm for Identifying Chipless RFID Tags. Sensors. 2021; 21(24):8314. https://doi.org/10.3390/s21248314
Chicago/Turabian StyleSu, Chen, Chuanyun Zou, Liangyu Jiao, and Qianglin Zhang. 2021. "A MIMO Radar Signal Processing Algorithm for Identifying Chipless RFID Tags" Sensors 21, no. 24: 8314. https://doi.org/10.3390/s21248314
APA StyleSu, C., Zou, C., Jiao, L., & Zhang, Q. (2021). A MIMO Radar Signal Processing Algorithm for Identifying Chipless RFID Tags. Sensors, 21(24), 8314. https://doi.org/10.3390/s21248314

