A Hollow-Core Photonic-Crystal Fiber-Optic Gyroscope Based on a Parallel Double-Ring Resonator
Abstract
:1. Introduction
2. The PDHC-RFOG System
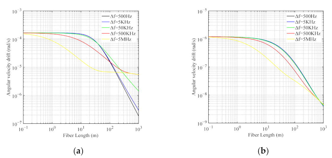
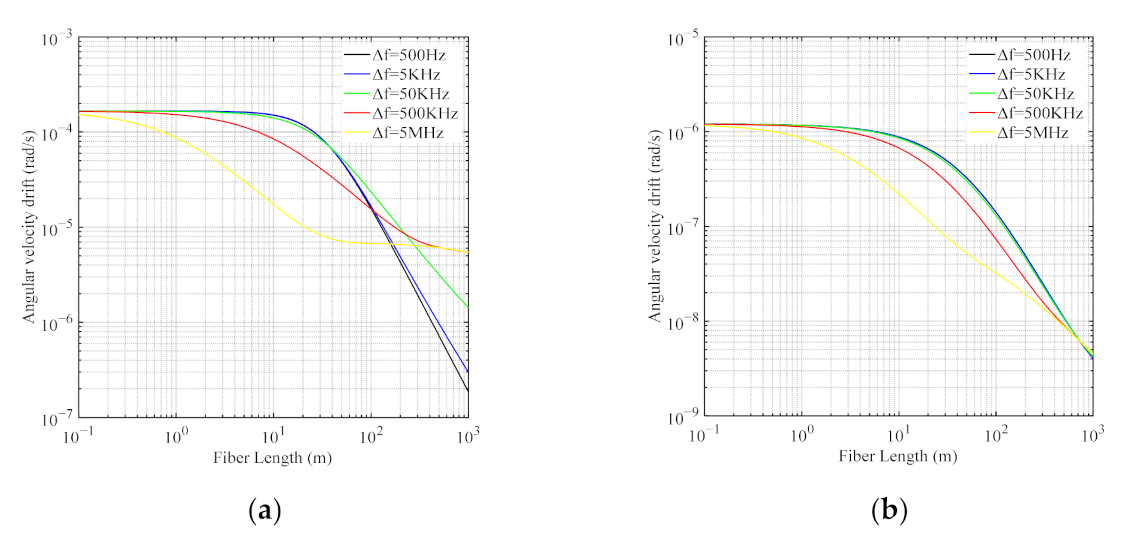
3. Suppression of the Rayleigh Backscattering Noise by the PDHC-RFOG
4. Suppression of the Kerr-Effect-Induced Drift by the PDHC-RFOG
5. Conclusions
Author Contributions
Funding
Acknowledgments
Conflicts of Interest
References
- Lefèvre, H. The Fiber-Optic Gyroscope; The Artech House Optoelectronics Library: Boston, MA, USA, 1993; ISBN 978-0-89006-537-2. [Google Scholar]
- Meyer, R.E.; Ezekiel, S.; Stowe, D.W.; Tekippe, V.J. Passive Fiber-Optic Ring Resonator for Rotation Sensing. Opt. Lett. 1983, 8, 644. [Google Scholar] [CrossRef]
- Iwatsuki, K.; Hotate, K.; Higashiguchi, M. Effect of Rayleigh Backscattering in an Optical Passive Ring-Resonator Gyro. Appl. Opt. 1984, 23, 3916. [Google Scholar] [CrossRef]
- Iwatsuki, K.; Hotate, K.; Higashiguchi, M. Kerr Effect in an Optical Passive Ring-Resonator Gyro. J. Light. Technol. 1986, 4, 645–651. [Google Scholar] [CrossRef]
- Watsuki, K.; Hotate, K.; Higashiguchi, M. Eigenstate of Polarization in a Fiber Ring Resonator and Its Effect in an Optical Passive Ring-Resonator Gyro. Appl. Opt. 1986, 25, 2606. [Google Scholar] [CrossRef] [PubMed]
- Zhang, C.; Pan, Z.; Zheng, Y.; An, P.; Tang, J.; Liu, J. Suppression of Residual Intensity Modulation Noise in Resonator Integrated Optic Gyro. Opt. Commun. 2019, 430, 358–363. [Google Scholar] [CrossRef]
- Ma, H.; Zhang, J.; Wang, L.; Jin, Z. Development and Evaluation of Optical Passive Resonant Gyroscopes. J. Light. Technol. 2017, 35, 3546–3554. [Google Scholar] [CrossRef]
- Zhang, Y.; Feng, L.; Li, H.; Jiao, H.; Liu, N.; Zhang, C. Resonant Fiber Optic Gyroscope with Three-Frequency Differential Detection by Sideband Locking. Opt. Express 2020, 28, 8423. [Google Scholar] [CrossRef] [PubMed]
- Strandjord, L.K.; Qiu, T.; Salit, M.; Narayanan, C.; Smiciklas, M.; Wu, J.; Sanders, G.A. Improved Bias Performance in Resonator Fiber Optic Gyros Using a Novel Modulation Method for Error Suppression. In Proceedings of the 26th International Conference on Optical Fiber Sensors, Lausanne, Switzerland, 24–28 September 2018; p. 3. [Google Scholar]
- Li, H.; Lin, Y.; Liu, L.; Ma, H.; Jin, Z. Signal Processing Improvement of Passive Resonant Fiber Optic Gyroscope Using a Reciprocal Modulation-Demodulation Technique. Opt. Express 2020, 28, 18103. [Google Scholar] [CrossRef] [PubMed]
- Ma, H.; Li, X.; Zhang, G.; Jin, Z. Reduction of Optical Kerr-Effect Induced Error in a Resonant Micro-Optic Gyro by Light-Intensity Feedback Technique. Appl. Opt. 2014, 53, 3465. [Google Scholar] [CrossRef]
- Yin, S.; Liu, W.; Xing, E.; Pan, Z.; Tao, Y.; Zhu, J.; Tang, J.; Liu, J. Suppression of Laser Intensity Fluctuation in Resonator Optical Gyro by a Simple Light Intensity Feedback Technique. Opt. Eng. 2020, 59, 1. [Google Scholar] [CrossRef]
- Gong, Y.; Bi, R.; Shen, H.; Zou, K.; Chen, K.; Shu, X. Influence of Intensity Noise on the Resonant Fiber Optic Gyroscope and Restraining. Opt. Commun. 2021, 495, 127074. [Google Scholar] [CrossRef]
- Wang, Z.; Wang, G.; Gao, W.; Cheng, Y. Suppression of Kerr-Effect Induced Error in Resonant Fiber Optic Gyro by a Resonator with Spun Fiber. Opt. Express 2021, 29, 19631. [Google Scholar] [CrossRef] [PubMed]
- Wang, X.; He, Z.; Hotate, K. Reduction of Polarization-Fluctuation Induced Drift in Resonator Fiber Optic Gyro by a Resonator with Twin 90° Polarization-Axis Rotated Splices. Opt. Express 2010, 18, 1677. [Google Scholar] [CrossRef] [PubMed]
- Jiao, H.; Feng, L.; Liu, N.; Yang, Z. Improvement of Long-Term Stability of Hollow-Core Photonic-Crystal Fiber Optic Gyro Based on Single-Polarization Resonator. Opt. Express 2018, 26, 8645. [Google Scholar] [CrossRef] [PubMed]
- Terrel, M.A.; Digonnet, M.J.F.; Fan, S. Resonant Fiber Optic Gyroscope Using an Air-Core Fiber. J. Light. Technol. 2012, 30, 931–937. [Google Scholar] [CrossRef]
- Sanders, G.A.; Taranta, A.A.; Narayanan, C.; Numkam Fokoua, E.; Abokhamis Mousavi, S.; Strandjord, L.K.; Smiciklas, M.; Bradley, T.D.; Hayes, J.; Jasion, G.T.; et al. Hollow-Core Resonator Fiber Optic Gyroscope Using Nodeless Anti-Resonant Fiber. Opt. Lett. 2021, 46, 46. [Google Scholar] [CrossRef] [PubMed]
- Sanders, G.A.; Strandjord, L.K.; Qiu, T. Hollow Core Fiber Optic Ring Resonator for Rotation Sensing. In Proceedings of the Optical Fiber Sensors, Cancún, Mexico, 23–27 October 2006; p. 6. [Google Scholar]
- Zhao, X.; Louveau, J.; Chamoun, J.; Digonnet, M.J.F. Thermal Sensitivity of the Birefringence of Air-Core Fibers and Implications for the RFOG. J. Light. Technol. 2014, 32, 2577–2581. [Google Scholar] [CrossRef]
- Kim, H.K.; Dangui, V.; Digonnet, M.; Kino, G. Fiber-Optic Gyroscope Using an Air-Core Photonic-Bandgap Fiber. In Proceedings of the 17th International Conference on Optical Fibre Sensors, Bruges, Belgium, 23 May 2005; p. 198. [Google Scholar]
- Ravaille, A.; Feugnet, G.; Fsaifes, I.; Baz, A.; Debord, B.; Gerome, F.; Humbert, G.; Benabid, F.; Bretenaker, F. In-Situ Measurement of Backscattering in Hollow-Core Fiber Based Resonant Cavities. IEEE Photonics J. 2017, 9, 1–7. [Google Scholar] [CrossRef]
- Suo, X.; Yu, H.; Li, J.; Wu, X. Transmissive Resonant Fiber-Optic Gyroscope Employing Kagome Hollow-Core Photonic Crystal Fiber Resonator. Opt. Lett. 2020, 45, 2227. [Google Scholar] [CrossRef] [PubMed]
- Jin, Z.; Yu, X.; Ma, H. Closed-Loop Resonant Fiber Optic Gyro with an Improved Digital Serrodyne Modulation. Opt. Express 2013, 21, 26578. [Google Scholar] [CrossRef]
- Ying, D.; Demokan, M.S.; Zhang, X.; Jin, W. Sensitivity Analysis of a Fiber Ring Resonator Based on an Air-Core Photonic-Bandgap Fiber. Opt. Fiber Technol. 2010, 16, 217–221. [Google Scholar] [CrossRef]
- Huilian, M.; Huiquiang, B.; Zhonghe, J. Backscattering in a Silica Optical Waveguide Ring Resonator. Chin. J. Lasers 2010, 37, 105–109. [Google Scholar] [CrossRef]
- Agrawal, G.P. Nonlinear Fiber Optics, 5th ed.; Elsevier/Academic Press: Amsterdam, The Netherlands, 2013; ISBN 978-0-12-397023-7. [Google Scholar]
- Xiujuan, Y.; Yanbiao, L.; Min, Z.; Youlong, Y.; Dejie, L. Kerr Effect in an Optical Passive Ring-Resonator Gyro Using a Hollow-Core Photonic Band-Gap Fiber. Chin. J. Lasers 2008, 35, 430–435. [Google Scholar] [CrossRef]






| Parameter | PDHC-RFOG |
|---|---|
| λ | 1550 nm |
| L | 10 m |
| D | 0.1 m |
| n0 | 1 |
| αBS | 2.5 × 10−5 |
| Cbar | |
| Ccross | |
| αc | 1 dB |
| αf | 20 dB/km * |
| I0 | 1 mW |
| η | 0.85 |
| ti | 1 s |
| Parameter | SMF-RFOG | PDHC-RFOG |
|---|---|---|
| n0 | 1.45 | 1 |
| fm | 50 kHz | 50 kHz |
| M | 2.405 | 2.405 |
| αc | 0.5 dB | 1 dB |
| αf | 0.2 dB/km ** | 20 dB/km * |
| Z | 259.81 ** | 380.53 * |
| n2 | 2.6 × 10−20 m2/W ** | 2.89 × 10−22 m2/W * |
| Aeff | 8.5 × 10−11 m2 ** | 6.3 × 10−11 m2 * |
Publisher’s Note: MDPI stays neutral with regard to jurisdictional claims in published maps and institutional affiliations. |
© 2021 by the authors. Licensee MDPI, Basel, Switzerland. This article is an open access article distributed under the terms and conditions of the Creative Commons Attribution (CC BY) license (https://creativecommons.org/licenses/by/4.0/).
Share and Cite
Shen, H.; Chen, K.; Zou, K.; Gong, Y.; Bi, R.; Shu, X. A Hollow-Core Photonic-Crystal Fiber-Optic Gyroscope Based on a Parallel Double-Ring Resonator. Sensors 2021, 21, 8317. https://doi.org/10.3390/s21248317
Shen H, Chen K, Zou K, Gong Y, Bi R, Shu X. A Hollow-Core Photonic-Crystal Fiber-Optic Gyroscope Based on a Parallel Double-Ring Resonator. Sensors. 2021; 21(24):8317. https://doi.org/10.3390/s21248317
Chicago/Turabian StyleShen, Heliang, Kan Chen, Kang Zou, Yijia Gong, Ran Bi, and Xiaowu Shu. 2021. "A Hollow-Core Photonic-Crystal Fiber-Optic Gyroscope Based on a Parallel Double-Ring Resonator" Sensors 21, no. 24: 8317. https://doi.org/10.3390/s21248317
APA StyleShen, H., Chen, K., Zou, K., Gong, Y., Bi, R., & Shu, X. (2021). A Hollow-Core Photonic-Crystal Fiber-Optic Gyroscope Based on a Parallel Double-Ring Resonator. Sensors, 21(24), 8317. https://doi.org/10.3390/s21248317

