Design and Processing Method for Doppler-Tolerant Stepped-Frequency Waveform Using Staggered PRF
Abstract
1. Introduction
2. Signal Model and Analysis
2.1. Generalized Echo Model of the SFW and SSFW
2.2. Analysis of Doppler Sensitivity for CPRF Waveforms
3. Design and Processing Method of SPRF Waveforms for High Doppler Tolerance
3.1. Waveform Design Method
3.2. Synthetic HRRP and Motion Compensation Process
4. Experiment and Discussion
4.1. Experiment I: SPRF-SFW
4.2. Experiment II: SPRF-SSFW
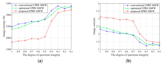
4.3. Experiment III: Different Conditions
5. Conclusions
Author Contributions
Funding
Institutional Review Board Statement
Informed Consent Statement
Data Availability Statement
Conflicts of Interest
References
- Yang, T.; Dong, Q.; Huang, Q. A Novel Echo-Based Error Estimation and Ripple Elimination Method for Stepped Frequency Chirp SAR Signal. IEEE Access 2019, 7, 182839–182845. [Google Scholar] [CrossRef]
- Phelan, B.R.; Ranney, K.I.; Gallagher, K.A.; Clark, J.T.; Sherbondy, K.D.; Narayanan, R.M. Design of ultrawideband stepped-frequency radar for imaging of obscured targets. IEEE Sens. J. 2016, 17, 4435–4446. [Google Scholar] [CrossRef]
- Schweizer, B.; Knill, C.; Schindler, D.; Waldschmidt, C. Stepped-carrier OFDM-radar processing scheme to retrieve high-resolution range-velocity profile at low sampling rate. IEEE Trans. Microl. Theory Tech. 2017, 66, 1610–1618. [Google Scholar] [CrossRef]
- Mao, Z.; Wei, Y. Interpulse-frequency-agile and intrapulse-phase-coded waveform optimization for extend-range correlation sidelobe suppression. IET Radar Sonar Navig. 2017, 11, 1530–1539. [Google Scholar] [CrossRef]
- Chua, M.Y.; Koo, V.C.; Lim, H.S.; Sumantyo, J.T.S. Phase coded stepped frequency linear frequency modulated waveform synthesis technique for low altitude ultra-wideband synthetic aperture radar. IEEE Access 2017, 5, 11391–11403. [Google Scholar] [CrossRef]
- Axelsson, S.R.J. Analysis of Random Step Frequency Radar and Comparison with Experiments. IEEE Trans. Geosci. Remote Sens. 2007, 45, 890–904. [Google Scholar] [CrossRef]
- Liao, Z.; Lu, D.; Hu, J.; Zhang, J. A novel range profile synthesis method for random hopping frequency radar. In Proceedings of the IEEE International Conference Digital Signal Processing, Beijing, China, 16–18 October 2016; pp. 12–18. [Google Scholar]
- Wang, X.; Wang, R.; Deng, Y.; Wang, P.; Li, N.; Yu, W.; Wang, W. Precise calibration of channel imbalance for very high-resolution SAR with stepped frequency. IEEE Trans. Geosci. Remote Sens. 2017, 55, 4252–4261. [Google Scholar] [CrossRef]
- Ding, Z.; Gao, W.; Liu, J.; Zeng, T.; Long, T. A Novel Range Grating Lobe Suppression Method Based on the Stepped-Frequency SAR Image. IEEE Geosci. Remote Sens. Lett. 2014, 12, 606–610. [Google Scholar] [CrossRef]
- Aubry, A.; Carotenuto, V.; De Maio, A.; Pallotta, L. High range resolution profile estimation via a cognitive stepped frequency technique. IEEE Trans. Aerosp. Electron. Syst. 2019, 55, 444–458. [Google Scholar] [CrossRef]
- Liu, X.; Sun, C.; Yang, Y.; Zhuo, J. Low Sidelobe Range Profile Synthesis for Sonar Imaging Using Stepped-Frequency Pulses. IEEE Geosci. Remote Sens. Lett. 2016, 14, 218–221. [Google Scholar] [CrossRef]
- Wang, L.; Huang, T.; Liu, Y. Phase Compensation and Image Autofocusing for Randomized Stepped Frequency ISAR. IEEE Sens. J. 2019, 19, 3784–3796. [Google Scholar] [CrossRef]
- Huang, P.; Dong, S.; Liu, X.; Jiang, X.; Liao, G.; Xu, H.; Sun, S. A Coherent Integration Method for Moving Target Detection Using Frequency Agile Radar. IEEE Geosci. Remote Sens. Lett. 2019, 16, 206–210. [Google Scholar] [CrossRef]
- Liu, Y.; Huang, T.; Meng, H.; Wang, X. Fundamental Limits of HRR Profiling and Velocity Compensation for Stepped-Frequency Waveforms. IEEE Trans. Signal Process. 2014, 62, 4490–4504. [Google Scholar] [CrossRef]
- Zhang, L.; Qiao, Z.-J.; Xing, M.; Li, Y.; Bao, Z. High-Resolution ISAR Imaging with Sparse Stepped-Frequency Waveforms. IEEE Trans. Geosci. Remote Sens. 2011, 49, 4630–4651. [Google Scholar] [CrossRef]
- Yang, J.; Thompson, J.; Huang, X.; Jin, T.; Zhou, Z. Random-Frequency SAR Imaging Based on Compressed Sensing. IEEE Trans. Geosci. Remote Sens. 2012, 51, 983–994. [Google Scholar] [CrossRef]
- Wei, S.; Zhang, L.; Ma, H.; Liu, H. Sparse Frequency Waveform Optimization for High-Resolution ISAR Imaging. IEEE Trans. Geosci. Remote Sens. 2019, 58, 546–566. [Google Scholar] [CrossRef]
- Huang, L.; Zong, Z.; Huang, L.; Shu, Z. Off-grid sparse stepped-frequency SAR imaging with adaptive basis. In Proceedings of the IEEE International Geoscience Remote Sensing Symposium, Yokohama, Japan, 28 July–2 August 2019; pp. 1–4. [Google Scholar]
- Zhu, F.; Zhang, Q.; Lei, Q.; Luo, Y. Reconstruction of Moving Target’s HRRP Using Sparse Frequency-Stepped Chirp Signal. IEEE Sens. J. 2011, 11, 2327–2334. [Google Scholar] [CrossRef]
- Xia, G.; Su, H.; Huang, P. Velocity compensation methods for LPRF modulated frequency stepped-frequency (MFSF) radar. J. Syst. Eng. Electron. 2010, 21, 746–751. [Google Scholar] [CrossRef][Green Version]
- Liu, Y.; Meng, H.; Li, G.; Wang, X. Velocity Estimation and Range Shift Compensation for High Range Resolution Profiling in Stepped-Frequency Radar. IEEE Geosci. Remote Sens. Lett. 2010, 7, 791–795. [Google Scholar] [CrossRef]
- Kang, M.S.; Lee, S.J.; Lee, S.H.; Kim, K.T. ISAR imaging of high-speed maneuvering target using gapped stepped-frequency waveform and compressive sensing. IEEE Trans. Image Process. 2017, 26, 5043–5056. [Google Scholar] [CrossRef]
- Shao, S.; Zhang, L.; Liu, H. High-Resolution ISAR Imaging and Motion Compensation With 2-D Joint Sparse Reconstruction. IEEE Trans. Geosci. Remote Sens. 2020, 58, 6791–6811. [Google Scholar] [CrossRef]
- Wang, S.; Bao, Q.; Chen, Z. Range migration compensation for moving targets in chirp radars with stepped frequency. J. Eng. 2019, 19, 5553–5557. [Google Scholar]
- Liao, Z.; Hu, J.; Lu, D.; Zhang, J. Motion Analysis and Compensation Method for Random Stepped Frequency Radar Using the Pseudorandom Code. IEEE Access 2018, 6, 57643–57654. [Google Scholar] [CrossRef]
- Chen, H.-Y.; Liu, Y.-X.; Jiang, W.-D.; Guo, G.-R. A New Approach for Synthesizing the Range Profile of Moving Targets via Stepped-Frequency Waveforms. IEEE Geosci. Remote Sens. Lett. 2006, 3, 406–409. [Google Scholar] [CrossRef]
- Wang, S.L.; Xu, Z.-H.; Liu, X.; Dong, W.; Wang, G. A Novel Scheme for Detection and Estimation of Unresolved Targets With Stepped-Frequency Waveform. IEEE Access 2019, 7, 129018–129028. [Google Scholar] [CrossRef]
- Wang, F.; Pang, C.; Wu, H.; Li, Y.; Wang, X. Designing Constant Modulus Complete Complementary Sequence with High Doppler Tolerance for Simultaneous Polarimetric Radar. IEEE Signal. Process. Lett. 2019, 26, 1837–1841. [Google Scholar] [CrossRef]
- Qazi, F.A.; Fam, A.T. Doppler tolerant and detection capable polyphase code sets. IEEE Trans. Aerosp. Electron. Syst. 2015, 51, 1123–1135. [Google Scholar] [CrossRef]
- Gao, C.; Teh, K.C.; Liu, A. Frequency coding waveform with segment LFM. In Proceedings of the IEEE 5th Asia-Pacific Conference on Synthetic Apperture Radar (APSAR), Singapore, 2 September 2015; pp. 507–510. [Google Scholar]
- Zhou, W.; Yeh, C.-M.; Jin, K.; Yang, J.; Lu, Y.-B. ISAR Imaging Based on the Wideband Hyperbolic Frequency-ModulationWaveform. Sensors 2015, 15, 23188–23204. [Google Scholar] [CrossRef]
- Venkatesh, V.; Li, L.; McLinden, M.; Coon, M.; Heymsfield, G.M.; Tanelli, S.; Hovhannisyan, H. A Frequency Diversity Algorithm for Extending the Radar Doppler Velocity Nyquist Interval. IEEE Trans. Aerosp. Electron. Syst. 2020, 56, 2462–2470. [Google Scholar] [CrossRef]
- Tien, V.V.; Hop, T.V.; Nhu, N.; Hoang, D.X.; Van Loi, N. A staggered PRF coherent integration for resolving range-Doppler ambiguity in pulse-Doppler radar. In Proceedings of the International Radar Symposium, Ulm, Germany, 26–28 June 2019; pp. 1–7. [Google Scholar]
- Long, X.; Li, K.; Tian, J.; Wang, J.; Wu, S. Ambiguity Function Analysis of Random Frequency and PRI Agile Signals. IEEE Trans. Aerosp. Electron. Syst. 2021, 57, 382–396. [Google Scholar] [CrossRef]
- Wei, S.; Zhang, L.; Liu, H. Joint Frequency and PRF Agility Waveform Optimization for High-Resolution ISAR Imaging. IEEE Trans. Geosci. Remote Sens. 2021, 1, 1–23. [Google Scholar] [CrossRef]
- Tao, J.-W.; Yang, C.-Z.; Xu, C.-W. Estimation of PRI Stagger in Case of Missing Observations. IEEE Trans. Geosci. Remote Sens. 2020, 58, 7982–8001. [Google Scholar] [CrossRef]
- He, Y.; Tong, N.; Hu, X. High resolution ISAR imaging via MMV based block sparse signal recovery. IET Radar Sonar Navig. 2019, 13, 208–212. [Google Scholar] [CrossRef]
- Hu, X.; Tong, N.; Zhang, Y.; Huang, D. MIMO radar imaging with non-orthogonal waveforms based on joint-block sparse recovery. IEEE Trans. Geosci. Remote Sens. 2018, 56, 5985–5996. [Google Scholar]
- Jung, D.-H.; Kang, H.-S.; Kim, C.-K.; Park, J.; Park, S.-O. Sparse Scene Recovery for High-Resolution Automobile FMCW SAR via Scaled Compressed Sensing. IEEE Trans. Geosci. Remote Sens. 2019, 57, 10136–10146. [Google Scholar] [CrossRef]
- Cheng, P.; Wang, X.; Zhao, J.; Cheng, J. A Fast and Accurate Compressed Sensing Reconstruction Algorithm for ISAR Imaging. IEEE Access 2019, 7, 157019–157026. [Google Scholar] [CrossRef]
- Huang, T.; Liu, Y.; Xu, X.; Eldar, Y.C.; Wang, X. Analysis of Frequency Agile Radar via Compressed Sensing. IEEE Trans. Signal. Process. 2018, 66, 6228–6240. [Google Scholar] [CrossRef]
- Jamil, S.; Rahman, M.; Ullah, A.; Badnava, S.; Forsat, M.; Mirjavadi, S.S. Malicious UAV detection using integrated audio and visual features for public safety applications. Sensors 2020, 20, 3923. [Google Scholar] [CrossRef]
- Zheng, J.; Chen, R.; Yang, T.; Liu, X.; Liu, H.; Su, T.; Wan, L. An Efficient Strategy for Accurate Detection and Localization of UAV Swarms. IEEE Internet Things J. 2021, 8, 15372–15381. [Google Scholar] [CrossRef]
- Zheng, J.; Yang, T.; Liu, H.; Su, T.; Wan, L. Accurate Detection and Localization of Unmanned Aerial Vehicle Swarms-Enabled Mobile Edge Computing System. IEEE Trans. Ind. Inform. 2021, 17, 5059–5067. [Google Scholar] [CrossRef]
- Berizzi, F.; Corsini, G. Autofocusing of inverse synthetic aperture radar images using contrast optimization. IEEE Trans. Aerosp. Electron. Syst. 1996, 32, 1185–1191. [Google Scholar] [CrossRef]



















| Parameters | Symbols | Value |
|---|---|---|
| Initial carrier frequency | 9 GHz | |
| Sub-pulse bandwidth | 20 MHz | |
| Sub-pulse width | 20 µs | |
| Synthesis bandwidth | 2 GHz | |
| Number of sub-pulses | 100 | |
| Burst duration | 20 ms | |
| Sampling rate | 40 MHz | |
| Azimuth bandwidth | 750 MHz |
Publisher’s Note: MDPI stays neutral with regard to jurisdictional claims in published maps and institutional affiliations. |
© 2021 by the authors. Licensee MDPI, Basel, Switzerland. This article is an open access article distributed under the terms and conditions of the Creative Commons Attribution (CC BY) license (https://creativecommons.org/licenses/by/4.0/).
Share and Cite
Zhang, Y.; Yeh, C.; Li, Z.; Lu, Y.; Chen, X. Design and Processing Method for Doppler-Tolerant Stepped-Frequency Waveform Using Staggered PRF. Sensors 2021, 21, 6673. https://doi.org/10.3390/s21196673
Zhang Y, Yeh C, Li Z, Lu Y, Chen X. Design and Processing Method for Doppler-Tolerant Stepped-Frequency Waveform Using Staggered PRF. Sensors. 2021; 21(19):6673. https://doi.org/10.3390/s21196673
Chicago/Turabian StyleZhang, Yan, Chunmao Yeh, Zhangfeng Li, Yaobing Lu, and Xuebin Chen. 2021. "Design and Processing Method for Doppler-Tolerant Stepped-Frequency Waveform Using Staggered PRF" Sensors 21, no. 19: 6673. https://doi.org/10.3390/s21196673
APA StyleZhang, Y., Yeh, C., Li, Z., Lu, Y., & Chen, X. (2021). Design and Processing Method for Doppler-Tolerant Stepped-Frequency Waveform Using Staggered PRF. Sensors, 21(19), 6673. https://doi.org/10.3390/s21196673

