A Study of Distributed Earth Observation Satellites Mission Scheduling Method Based on Game-Negotiation Mechanism
Abstract
1. Introduction
2. DEOS Mission Scheduling Model
2.1. Problem Description
- (1)
- The observation task involved in this paper refers to the observation of point targets on the ground by satellites using different types of payloads, and a target only needs to be observed once.
- (2)
- A single satellite carries only one payload. This paper considers two types of payloads, visible light and synthetic aperture radar (SAR). The satellite only executes one mission at one time. Once the mission starts, no interruption is considered.
- (3)
- Each satellite has computing and processing capabilities, and there is a real-time communication link between the satellites, which can meet the needs of mutual communication and information transmission at any time.
- (4)
- The situation of satellite orbit maneuver is not considered.
2.2. Scheduling Problem Modeling
2.2.1. Model Constrains
- (1)
- Visible window constraints. The satellite payload must be visible to target, and the window duration must not be less than the mission observation time.
- (2)
- Slew angle constraints. During task switch, the slew angle cannot exceed the maximum slew angle of satellite.
- (3)
- Task preparation time constraints. The interval between two tasks (the time interval from the end of the previous task to the beginning of the next task) must not be less than the payload preparation time.
- (4)
- Energy constraints. The accumulation of energy consumed by a single satellite to execute tasks and switch tasks cannot exceed the upper limit of the energy storage of the satellite.
- (5)
- Storage capacity constraints. The accumulation of storage consumed by a single satellite to execute tasks cannot exceed the upper limit of the storage capacity of satellite.
- (6)
- Lighting constraints. This paper mainly considers two types of payloads: visible light camera and synthetic aperture radar. SAR can be observed in the full orbital period, and visible light camera can only observe within a certain sun elevation angle. The sun elevation angle needs to meet the following formula.
- (7)
- Payload type constraints. The target must be observed by the payload of the required type.
- (8)
- Resolution constraints. The resolution of satellite observing the target should not be lower than the users’ requirement.
2.2.2. Scheduling Solution
2.3. Optimization Objective of Satellite Mission Scheduling
- (1)
- Sub-objective 1: Maximize the priority of the target observations.
- (2)
- Sub-objective 2: Maximize the number of target observations.
- (3)
- Sub-objective 3: Balance resource usage among satellites.
3. Distributed Mission Scheduling Model
3.1. Game Model of DEOS
3.2. DMSA Based on Nash Equilibrium
| Algorithm 1 DMSA |
| Input: Satellites Set S, Targets Set T, memory length L, Observation Windows Set W. Output: Overall Scheduling Plan Procedure: 1.for each round of Game, g = 1,2,3…, do 2. for each satellite si∈S, simultaneously do 3. Receive information from neighbors; 4. Calculate and select Ui, BRit by APSOA/ATSA; 5. Find received targets that haven’t been scheduled; 6. Send unscheduled targets to neighbors; 7. Update Memit of each si; 8. end for 9.end for |
3.3. APSOA for Single Satellite Scheduling
3.3.1. Solution Coding Scheme
3.3.2. APSOA Procedure
3.3.3. Static Scheduling Evaluation
3.4. ATSA for Dynamic Scheduling
3.4.1. Impact of Emergency on Initial Solution
New Mission Arrival
Change of Scheduling Plan
3.4.2. ATSA Procedure
3.4.3. Dynamic Scheduling Evaluation
3.5. Convergence Analysis for DMSA
4. Results and Discussion
4.1. Case Study for DMSA in Static Scheduling
4.1.1. Scenario Setting
4.1.2. Algorithm Parameters Initializing
4.1.3. Typical Algorithms for Comparison
4.1.4. Simulation Results Analysis
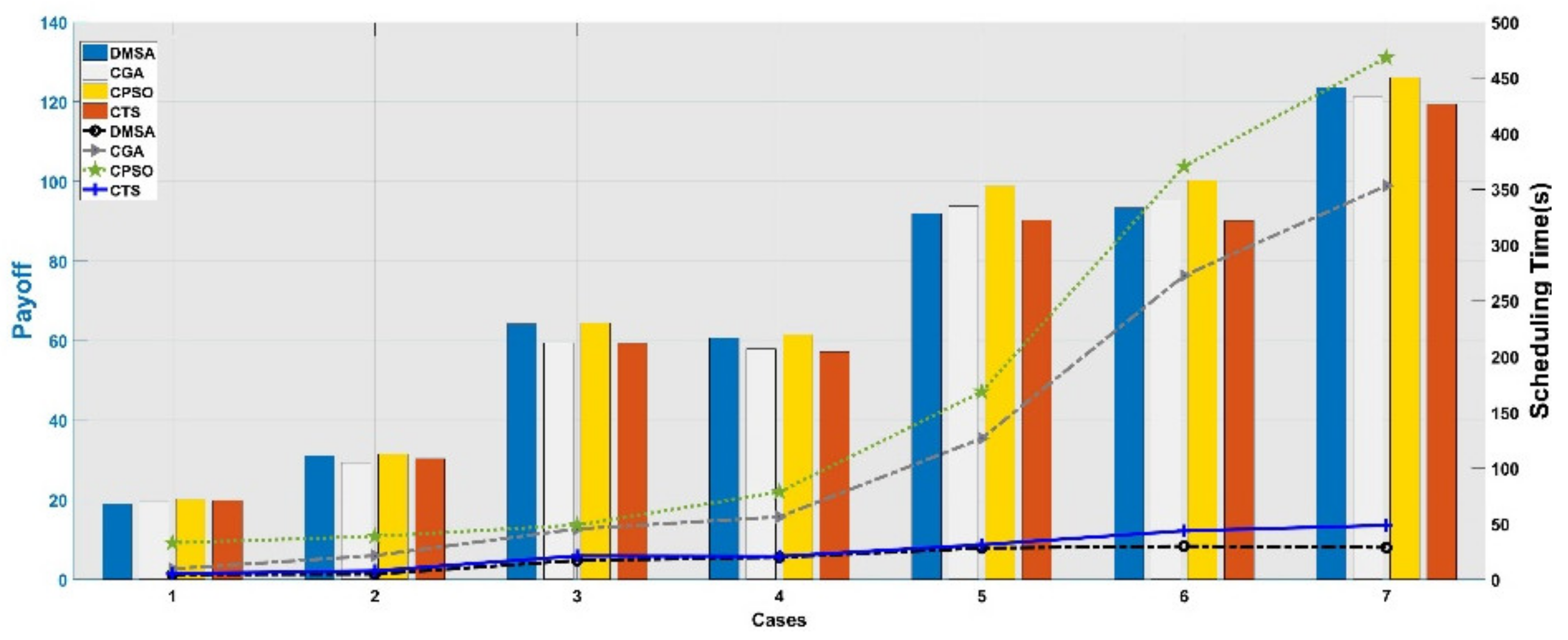
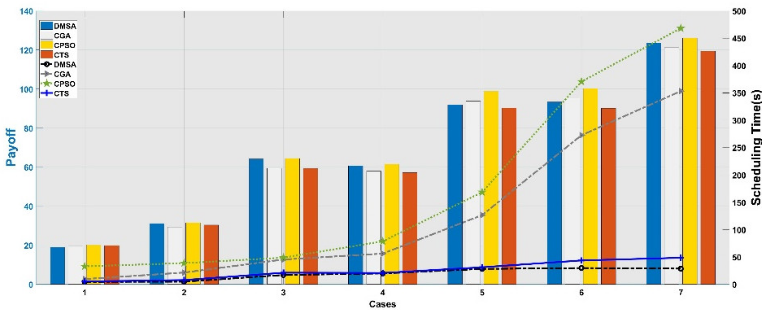
Comparison and Analysis for Performances of Optimization Algorithms
Comparison and Analysis for Scheduling Method
4.2. Case Study for DMSA in Dynamic Scheduling
4.2.1. Scenario Setting
4.2.2. Algorithm Parameters Initializing
4.2.3. Simulation Results Analysis
5. Conclusions and Future Work
Author Contributions
Funding
Institutional Review Board Statement
Informed Consent Statement
Data Availability Statement
Acknowledgments
Conflicts of Interest
Appendix A
| Algorithm A1 APSOA |
| Input: Targets Set Ti, acceleration coefficients c1,c2, inertia weighted parameters, last action ait−1, last payoff Uit−1, Output: Uit, BRit Procedure:1. Randomly generate current swarm according to Ti; 2. Insert last action ait−1 to current swarm; 3. for each iteration g = 1,2… do 4. for each particle p = 1,2… do 5. De-conflict and calculate the profit; 6. Compare and substitute the individual optimal and global optimal; 7. Update particle’s location and velocity in (16); 8. Boundary condition processing; 9. end for 10. end for 11. Compare the best Uit of swarm with Uit−1, and select a with higher Ui as BRit; |
Appendix B
| Algorithm A2 ATSA |
| Input: Targets Set Ti, neighborhood size Ca, termination parameters, last action ait−1,last payoff Uit−1, Output: Uit, BRit Procedure: 1. for each satellite s = 1,2… do 2. Find allocated but unscheduled targets and update solution structure; 3. for each global iteration g = 1,2… do 4. Initialize local iteration parameters, including tabu list length, localmaximum iteration number, etc.; 5. for each local iteration l = 1,2… do 6. Generate the neighborhood solution and calculate payoff respectively, and retain the solution with maximum as candidate solution; 7. Update the current solution with candidate solution and best solutionso far with the candidate solution if aspiration judgement is satisfied; 8. Update tabu-list; 9. end for 10. end for 11. end for 12. Compare the best Uit with Uit−1, and select a with higher Ui as BRit; |
References
- Araguz, C.; Llaveria, D.; Lancheros, E.; Bou-Balust, E.; Camps, A.; Alarcon, E.; Lluch, I.; Matevosyan, H.; Golkar, A.; Tonetti, S. Optimized Model-Based Design Space Exploration of Distributed Multi-Orbit Multi-Platform Earth Observation Spacecraft Architectures. IEEE: Big Sky, MT, USA, 2018; Volume 2008, pp. 1–16. [Google Scholar]
- Rajah, P.M.; Prokopenko, M.; Wang, P.; Price, D. On Decentralised Clustering in Self-Monitoring Networks. In Proceedings of the fourth International Joint Conference on Autonomous Agents & Multiagent Systems, New York, NY, USA, 25 July 2005; Volume 2005, pp. 1175–1176. [Google Scholar]
- Abbott, D.; Doyle, B.; Dunlop, J.; Farmer, T.; Hedley, M.; Herrmann, J.; James, G.; Johnson, M.; Joshi, B.; Poulton, G. Development and Evaluation of Sensor Concepts for Ageless Aerospace Vehicles: Development of Concepts for an Intelligent Sensing System; NASA STI Progarm: Langley, WA, USA, 2002. [Google Scholar]
- Prokopenko, M.; Wang, P.; Price, D. Towards Adaptive Clustering in Self-monitoring Multi-agent Networks. In Proceedings of the International Conference on Knowledge-Based Intelligent Information & Engineering Systems, Melbourne, Australia, 14–16 September 2005; Volume 2005. [Google Scholar]
- Araguz, C.; Bou-Balust, E.; Alarcon, E. Applying autonomy to distributed satellite systems: Trends, challenges, and future prospects. Syst. Eng. 2018, 21, 401–416. [Google Scholar] [CrossRef]
- Zhang, S.; Xiao, Y.; Yang, P.; Liu, Y.; Chang, W.; Zhou, S. An Effectiveness Evaluation Model for Satellite Observation and Data-Downlink Scheduling Considering Weather Uncertainties. Remote Sens. 2019, 11, 1621. [Google Scholar] [CrossRef]
- Sun, C.; Wang, X.; Liu, X. Distributed Satellite Mission Planning via Learning in Games. In Proceedings of the 2018 IEEE International Conference on Systems, Man, and Cybernetics (SMC), Miyazaki, Japan, 7–10 October 2018; Volume 2018. [Google Scholar]
- Iacopino, C.; Palmer, P.; Policella, N.; Donati, A.; Brewer, A. How ants can manage your satellites. Acta Futur. 2014, 9, 57–70. [Google Scholar]
- Kilic, S.; Ozkan, O. Ant colony optimization approach for satellite broadcast scheduling problem. In Proceedings of the 2017 8th International Conference on Recent Advances in Space Technologies (RAST), Istanbul, Turkey, 19–22 June 2017; pp. 273–277. [Google Scholar]
- Tripp, H.; Palmer, P. Stigmergy based behavioural coordination for satellite clusters. Acta Astronaut. 2010, 66, 1052–1071. [Google Scholar] [CrossRef]
- Wu, G.; Liu, J.; Ma, M.; Qiu, D. A two-phase scheduling method with the consideration of task clustering for earth observing satellites. Comput. Oper. Res. 2013, 40, 1884–1894. [Google Scholar] [CrossRef]
- Bunkheila, F.; Circi, C. Innovative Satellite Scheduling Method Based on Genetic Algorithms and Simulated Annealing and Related Mission Planner. EP Patent 3406531, 24 May 2018. [Google Scholar]
- Xhafa, F.; Sun, J.; Barolli, A.; Biberaj, A.; Barolli, L. Genetic algorithms for satellite scheduling problems. Mob. Inf. Syst. 2012, 8, 351–377. [Google Scholar] [CrossRef][Green Version]
- Greco, C.; Gentile, L.; Filippi, G.; Minisci, E.; Vasile, M.; Bartz-Beielstein, T. Autonomous generation of observation schedules for tracking satellites with structured-chromosome GA optimisation. In Proceedings of the 2019 IEEE Congress on Evolutionary Computation (CEC), Wellington, New Zealand, 10–13 June 2019; pp. 497–505. [Google Scholar]
- Mansour, M.A.; Dessouky, M.M. A genetic algorithm approach for solving the daily photograph selection problem of the SPOT5 satellite. Comput. Ind. Eng. 2010, 58, 509–520. [Google Scholar] [CrossRef]
- Cui, J.; Zhang, X. Application of a multi-satellite dynamic mission scheduling model based on mission priority in emergency response. Sensors 2019, 19, 1430. [Google Scholar] [CrossRef]
- Bianchessi, N.; Cordeau, J.-F.; Desrosiers, J.; Laporte, G.; Raymond, V. A heuristic for the multi-satellite, multi-orbit and multi-user management of earth observation satellites. Eur. J. Oper. Res. 2007, 177, 750–762. [Google Scholar] [CrossRef]
- Vasquez, M.; Hao, J.-K. A “logic-constrained” knapsack formulation and a tabu algorithm for the daily photograph scheduling of an earth observation satellite. Comput. Optim. Appl. 2001, 20, 137–157. [Google Scholar] [CrossRef]
- Ocon, J. Multi-agent frameworks for space applications. In Proceedings of the SpaceOps 2010 Conference Delivering on the Dream Hosted by NASA Marshall Space Flight Center and Organized by AIAA, Huntsville, AL, USA, 25–30 April 2010; p. 2069. [Google Scholar]
- Wang, C.; Li, J.; Jing, N.; Wang, J.; Chen, H. A Distributed Cooperative Dynamic Task Planning Algorithm for Multiple Satellites Based on Multi-agent Hybrid Learning-ScienceDirect. Chin. J. Aeronaut. 2011, 24, 493–505. [Google Scholar] [CrossRef]
- Bonnet, J.; Gleizes, M.P.; Kaddoum, E.; Rainjonneau, S.; Flandin, G. Multi-satellite mission planning using a self-adaptive multi-agent system. In Proceedings of the 2015 IEEE 9th International Conference on Self-Adaptive and Self-Organizing Systems, Cambridge, MA, USA, 21–25 September 2015. [Google Scholar]
- Hess, J.A.; Saunders, D.; Cobb, R.G.; Zagaris, C. Autonomous Cooperative Optimal Control of Multi-Agent Satellite Formations. In Proceedings of the 2020 AAS/AIAA Astrodynamics Specialist Virtual Lake Tahoe Conference, Lake Tahoe, CA, USA, 9–12 August 2020. [Google Scholar]
- Araguz, C.; Closa, M.; Bou-Balust, E.; Alarcon, E. A Design-Oriented Characterization Framework for Decentralized, Distributed, Autonomous Systems: The Nano-Satellite Swarm Case. In Proceedings of the 2019 IEEE International Symposium on Circuits and Systems (ISCAS), Sapporo, Japan, 26–29 May 2019. [Google Scholar]
- Kuhn, H.W. Classics in Game Theory; Princeton University Press: Princeton, NJ, USA, 1997. [Google Scholar]
- Başar, T. Game Theory: Historical Overview. In Encyclopedia of Systems and Control; Baillieul, J., Samad, T., Eds.; Springer: London, UK, 2013. [Google Scholar] [CrossRef]
- Nash, J.F. Non-Cooperative Games; Annals of Mathemtics; Princeton University: Princeton, NJ, USA, 1951; pp. 286–295. [Google Scholar]
- Kusyk, J.; Uyar, M.U.; Ma, K.; Samoylov, E.; Boksiner, J. Artificial intelligence and game theory controlled autonomous UAV swarms. Evol. Intell. 2020, 1–18. [Google Scholar] [CrossRef]
- Xing, G.; Chen, Y.; Hou, R.; Dong, M.; Ma, M. Game Theory-based Clustering Scheme for Energy Balancing in Underwater Acoustic Sensor Networks. IEEE Internet Things J. 2021, 8, 9005–9013. [Google Scholar] [CrossRef]
- Cintuglu, M.H.; Martin, H.; Mohammed, O.A. Real-Time Implementation of Multiagent-Based Game Theory Reverse Auction Model for Microgrid Market Operation. IEEE Trans. Smart Grid 2017, 6, 1064–1072. [Google Scholar] [CrossRef]
- Kasthurirathna, D.; Piraveenan, M. Emergence of scale-free characteristics in socio-ecological systems with bounded rationality. Sci. Rep. 2015, 5, 10448. [Google Scholar] [CrossRef] [PubMed]
- Kasthurirathna, D.; Piraveenan, M.; Uddin, S. Modeling networked systems using the topologically distributed bounded rationality framework. Complexity 2016, 21, 123–137. [Google Scholar] [CrossRef]
- Piraveenan, M. Applications of Game Theory in Project Management: A Structured Review and Analysis. Mathematics 2019, 7, 858. [Google Scholar] [CrossRef]
- Pemberton, J.C.; Greenwald, L. On the need for dynamic scheduling of imaging satellites. Int. Arch. Photogramm. Remote Sens. Spat. Inf. Sci. 2002, 34, 165–171. [Google Scholar]
- Bensana, E.; Lemaitre, M.; Verfaillie, G. Earth observation satellite management. Constraints 1999, 4, 293–299. [Google Scholar] [CrossRef]
- Gabrel, V.; Vanderpooten, D. Enumeration and interactive selection of efficient paths in a multiple criteria graph for scheduling an earth observing satellite. Eur. J. Oper. Res. 2002, 139, 533–542. [Google Scholar] [CrossRef]
- Dishan, Q.; Chuan, H.; Jin, L.; Manhao, M. A dynamic scheduling method of earth-observing satellites by employing rolling horizon strategy. Sci. World J. 2013, 2013, 1–11. [Google Scholar] [CrossRef] [PubMed]
- He, L.; Liu, X.-L.; Chen, Y.-W.; Xing, L.-N.; Liu, K. Hierarchical scheduling for real-time agile satellite task scheduling in a dynamic environment. Adv. Space Res. 2019, 63, 897–912. [Google Scholar] [CrossRef]
- Wang, J.; Zhu, X.; Yang, L.T.; Zhu, J.; Ma, M. Towards dynamic real-time scheduling for multiple earth observation satellites. J. Comput. Syst. Sci. 2015, 81, 110–124. [Google Scholar] [CrossRef]
- Jiang, A.X.; Leyton-Brown, K. A Tutorial on the Proof of the Existence of Nash Equilibria; University of British Columbia Technical Report TR-2007-25.pdf; University of British Columbia: Vancouver, BC, Canada, 2009; p. 14. [Google Scholar]
- Song, Y.J.; Wang, P.; Zhang, Z.S.; Xing, L.N.; Chen, Y.W. An Improved Genetic Algorithm for Multi-Satellite Mission Planning Problem; Control Theory & Applications: Guangzhou, China, 2019; pp. 1391–1397. [Google Scholar]
- Han, Y.; Luo, J.; Xu, X. On the Constellation Design of Multi-GNSS Reflectometry Mission Using the Particle Swarm Optimization Algorithm. Atmosphere 2019, 10, 807. [Google Scholar] [CrossRef]








| Notation | Definition | Notation | Definition |
|---|---|---|---|
| S | S = {s1, s2,…, sn,…}, where S represents the set of satellites, n represents the number of satellites. | Payl | Payl = {Payl1, Payl2…Payli,…}, where Payl represents set of payloads, i corresponding satellite serial number. |
| Durij | Durij represents the imaging duration time required when the i-th satellite executes the j–th task. | Preij | Preij represents the payload preparation time required to switch from last task when the i-th satellite executes the j–th task. |
| Pow | Pow = {pow1, pow2…powi,…}, where Pow represents the energy set of the satellite, i represents the corresponding satellite serial number. | Pij | Pij represents the energy consumed whenthe i-th satellite executes the j–th task, Pi is the total energy consumption of the i-th satellite. |
| Sto | Sto = {sto1, sto2…stoi,…}, where Sto represents the storage set of the satellite, i represents the corresponding satellite serial number. | Dij | Dij represents the storage consumed whenthe i-th satellite executes the j–th task. |
| SA | SA = {sa11, sa12…saij,…}, where SA represents the slew angle set of the satellite, saij represents the slew angle when the i-th satellite executes the j–th task, sai represents the maximum slew angle of the i-th satellite. | Pti | Pti represents the energy consumption per unit time of the i-th satellite during task execution. |
| Sasi | Sasi represents the slew angle change per unit time of the i-th satellite during task switch. | Psi | Psi represents the energy consumption per unit time of the i-th satellite during task switch. |
| W | W = {w1, w2… wk,…}, where W represents observation windows set, k represents the number of the windows, wk = [wbtk, wetk, wdtk], wk represents the k-th time window, wbtk represents the start time, wetk represents the end time, wdtk represents the duration. | St | St = {st1, st2… stk,…}, where St represents the time information set of satellites execution, m represents the number of tasks, stij = [sbtij,setij], where sttj represents the time information of the i-th satellite executing the j–th task, sbtij represents the execution start time after schedule, setij represents the end time. |
| T | T = {t1, t2…tm,…}, where T represents the set of targets, m represents the serial number of targets. | Req | Req = {req1, req2…reqj,…}, where Req represents the set of observation type requests, j represents the corresponding target serial number. |
| Num | Num = {num1, num2… numi,…}, where Num represents the number of tasks that are executed by the satellite, i represents the corresponding satellite serial number. | Prio | Prio = {prio1, prio2…priom,…}, where Prio represents the set of targets priority, m represents the serial number of targets. |
| Sun | Sun(l) represents the minimum sun elevation angle in l window period. | maxP | maxP is the initial power of a satellite. |
| TR | TR = {tr1, tr2…trm,…}, where TR represents the set of targets’ resolution requirement, m represents the serial number of targets. | SR | SR = {sr1, sr2…srn,…}, where SR represents the set of satellites’ resolution, n represents the serial number of targets. |
| X | Xij represents the decision variables of satellites, j represents corresponding target serial number, i represents corresponding satellite serial number. Value 1 denotes that target j has been observed by the i-th satellite, value 0 denotes that the target has not been scheduled. | SunAng | SunAngi represents the minimum sun elevation angle of the i-th satellite carrying an optical payload. |
| Parameters | Optical Payload | Parameters | SAR Payload |
|---|---|---|---|
| SensorType | SimpleConic | MinElevationAngle | 15.2° |
| FOV | 5° | MaxElevationAngle | 51.9° |
| SlewRange | −40~40° | ForwardExclusionAngle | 5.7° |
| Lighting | SunAng > 15° | AftExclusionAngle | 8.6° |
| Case No. | Case | DMSA | CGA | CPSOA | CTSA | |||||||||
|---|---|---|---|---|---|---|---|---|---|---|---|---|---|---|
| Sat | Tar | Profit | CR | RT(s) | Profit | CR | RT(s) | Profit | CR | RT(s) | Profit | CR | RT(s) | |
| No.1 | 6 | 30 | 19 | 0.93 | 4.6 | 19.8 | 0.97 | 9.6 | 20.2 | 0.97 | 32.9 | 20 | 0.95 | 5.3 |
| No.2 | 6 | 50 | 31.2 | 0.96 | 4.8 | 29.3 | 0.90 | 21.5 | 31.6 | 0.96 | 38.7 | 30.4 | 0.94 | 7.8 |
| No.3 | 6 | 100 | 64.2 | 0.99 | 17.1 | 59.4 | 0.96 | 45.4 | 64.5 | 1 | 48.8 | 59.3 | 0.91 | 21.2 |
| No.4 | 8 | 100 | 60.7 | 0.98 | 19.9 | 57.9 | 0.92 | 56.2 | 61.6 | 0.98 | 78.6 | 57.2 | 0.86 | 20.8 |
| No.5 | 8 | 150 | 91.9 | 0.87 | 28.2 | 93.8 | 0.89 | 126.6 | 98.9 | 0.96 | 168.5 | 90.3 | 0.85 | 31.2 |
| No.6 | 16 | 150 | 93.4 | 0.91 | 28.8 | 95.3 | 0.93 | 272.6 | 100.3 | 1 | 370.7 | 90.1 | 0.84 | 43.7 |
| No.7 | 16 | 200 | 123.6 | 0.93 | 29.7 | 121.2 | 0.91 | 353.3 | 126.2 | 1 | 468.2 | 119.4 | 0.87 | 48.6 |
| Target ID | Priority | Geographical Position | Observation Type | Resolution Requirement |
|---|---|---|---|---|
| Target1 | 4 | (113° W, 56° N) | microwave | 0.7 |
| Target2 | 4 | (176° W, 43° N) | microwave | 0.8 |
| Target3 | 4 | (121° W, 29° S) | visible light | 0.5 |
| Target4 | 3 | (40° W, 11° S) | microwave | 0.8 |
| Target5 | 4 | (113° E, 49° S) | microwave | 0.7 |
| Target6 | 5 | (160° W, 55° S) | visible light | 0.6 |
| Target7 | 4 | (32° E, 26° N) | microwave | 0.8 |
| Target8 | 2 | (89° E, 33° S) | microwave | 0.9 |
| Target 9 | 3 | (153° W, 27° S) | microwave | 0.9 |
| Target10 | 3 | (112° E, 12° S) | microwave | 0.9 |
| Target11 | 5 | (36° W, 19° S) | visible light | 0.4 |
| Target12 | 4 | (9° W, 60° N) | microwave | 0.8 |
| Target13 | 2 | (7° W, 47° N) | visible light | 0.5 |
| Target14 | 4 | (119° W, 51° N) | microwave | 0.8 |
| Target15 | 2 | (78° E, 43° N) | microwave | 0.9 |
| Target16 | 4 | (89° W, 9° N) | microwave | 0.8 |
| Target17 | 4 | (141° E, 2° S) | visible light | 0.5 |
| Target18 | 2 | (42° W, 32° N) | visible light | 0.4 |
| Target19 | 1 | (17° W, 49° N) | visible light | 0.6 |
| Target20 | 5 | (78° E, 37° S) | microwave | 0.7 |
| Target21 | 3 | (15° E, 18° N) | visible light | 0.5 |
| Target22 | 2 | (43° E, 28° N) | microwave | 0.7 |
| Target23 | 2 | (151° E, 4° N) | microwave | 0.9 |
| Target24 | 4 | (137° W, 18° N) | microwave | 0.8 |
| Target25 | 4 | (49° W, 44° N) | visible light | 0.5 |
| Target26 | 2 | (13° W, 44° S) | microwave | 0.9 |
| Target27 | 1 | (46° W, 45° N) | microwave | 0.8 |
| Target28 | 3 | (113° E, 19° N) | visible light | 0.3 |
| Target29 | 2 | (171° W, 44° S) | visible light | 0.3 |
| Target30 | 4 | (35° W, 58° N) | visible light | 0.4 |
| Target ID | Priority | Geographical Position | Observation Type | Resolution Requirement |
|---|---|---|---|---|
| Target31 | 5 | (102° W, 18° S) | visible light | 0.4 |
| Target32 | 5 | (45° W, 17° N) | microwave | 0.8 |
| Target33 | 5 | (7° E, 30° N) | microwave | 0.7 |
| Target34 | 5 | (110° E, 32° S) | microwave | 0.7 |
| Target35 | 5 | (86° W, 54° S) | visible light | 0.6 |
| S1 | S2 | S3 | S4 | S5 | S6 | |
|---|---|---|---|---|---|---|
| Type | Sar | Opt | Sar | Sar | Opt | Opt |
| Resolution | 0.5 | 0.3 | 0.7 | 0.7 | 0.5 | 0.3 |
| Target ID | Priority | Satellite ID | Start Time | End Time |
|---|---|---|---|---|
| Target1 | 4 | S4 | 0:33:27 | 0:37:36 |
| Target2 | 4 | S4 | 14:42:52 | 14:49:05 |
| Target3 | 4 | S5 | 22:48:53 | 22:51:50 |
| Target4 | 3 | S3 | 2:08:03 | 2:13:17 |
| Target5 | 4 | S3 | 17:52:24 | 17:58:03 |
| Target6 | 5 | S5 | 0:33:25 | 0:36:08 |
| Target7 | 4 | S1 | 10:22:50 | 10:29:23 |
| Target8 | 2 | S4 | 9:01:19 | 9:07:56 |
| Target9 | 3 | S4 | 12:48:30 | 12:54:09 |
| Target10 | 3 | S1 | 4:06:20 | 4:12:45 |
| Target11 | 5 | S6 | 17:23:42 | 17:26:11 |
| Target12 | 4 | S3 | 23:12:30 | 23:15:20 |
| Target13 | 2 | S5 | 16:01:22 | 16:04:26 |
| Target14 | 4 | S4 | 9:58:56 | 10:01:40 |
| Target15 | 2 | S1 | 17:45:33 | 17:51:46 |
| Target16 | 4 | S1 | 18:19:39 | 18:25:49 |
| Target17 | 4 | unscheduled | / | / |
| Target18 | 2 | S2 | 14:42:15 | 14:44:01 |
| Target19 | 1 | S6 | 17:05:26 | 17:07:41 |
| Target20 | 5 | S3 | 19:32:21 | 19:38:55 |
| Target21 | 3 | S2 | 11:32:14 | 11:33:18 |
| Target22 | 2 | S4 | 11:59:12 | 12:05:39 |
| Target23 | 2 | S3 | 13:29:07 | 13:35:10 |
| Target24 | 4 | S1 | 9:48:14 | 9:49:59 |
| Target25 | 4 | S6 | 18:43:41 | 18:46:45 |
| Target26 | 2 | S1 | 12:18:22 | 12:20:52 |
| Target27 | 1 | S3 | 2:21:50 | 2:24:20 |
| Target28 | 3 | S6 | 7:44:52 | 7:47:51 |
| Target29 | 2 | S2 | 22:53:34 | 22:56:37 |
| Target30 | 4 | S2 | 14:34:52 | 14:37:03 |
| Target ID | Priority | Satellite ID | Operation | Start Time | End Time |
|---|---|---|---|---|---|
| Target8 | 2 | S4→S1 | reschedule | 17:27:06 | 17:29:43 |
| Target12 | 4 | S3→S1 | reschedule | 11:52:48 | 11:56:00 |
| Target30 | 4 | S2→none | delete | / | / |
| Target31 | 5 | unscheduled | delete | / | / |
| Target32 | 5 | S3 | insert | 15:48:54 | 15:52:55 |
| Target33 | 5 | S4 | insert | 15:11:49 | 15:18:07 |
| Target34 | 5 | S4 | insert | 7:28:31 | 7:30:58 |
| Target35 | 5 | S2 | insert | 16:29:58 | 16:32:00 |
| Case No. | Satellite Number | Initial Targets Number | Malfunction Targets | Newly Arrived Targets | CR | PR | IR | ER | Run Time of Initial Plan(s) | Run Time of Dynamic Plan(s) | Evaluation Function |
|---|---|---|---|---|---|---|---|---|---|---|---|
| No.1 | 3 | 25 | 0 | 5 | 0.967 | 0.969 | 0 | 1 | 4.2 | 1.2 | 0.98 |
| No.2 | 6 | 50 | 5 | 10 | 0.950 | 0.974 | 0.102 | 0.867 | 5.3 | 1.5 | 0.92 |
| No.3 | 8 | 50 | 10 | 20 | 0.971 | 0.981 | 0.22 | 0.967 | 6.1 | 2.4 | 0.92 |
| No.4 | 8 | 100 | 15 | 30 | 0.915 | 0.932 | 0.196 | 0.911 | 18.7 | 3.7 | 0.89 |
| No.5 | 12 | 100 | 15 | 35 | 0.933 | 0.938 | 0.188 | 0.96 | 20.2 | 5.3 | 0.91 |
| No.6 | 16 | 200 | 20 | 40 | 0.979 | 0.981 | 0.12 | 0.983 | 31.4 | 8.1 | 0.96 |
Publisher’s Note: MDPI stays neutral with regard to jurisdictional claims in published maps and institutional affiliations. |
© 2021 by the authors. Licensee MDPI, Basel, Switzerland. This article is an open access article distributed under the terms and conditions of the Creative Commons Attribution (CC BY) license (https://creativecommons.org/licenses/by/4.0/).
Share and Cite
Liu, L.; Dong, Z.; Su, H.; Yu, D. A Study of Distributed Earth Observation Satellites Mission Scheduling Method Based on Game-Negotiation Mechanism. Sensors 2021, 21, 6660. https://doi.org/10.3390/s21196660
Liu L, Dong Z, Su H, Yu D. A Study of Distributed Earth Observation Satellites Mission Scheduling Method Based on Game-Negotiation Mechanism. Sensors. 2021; 21(19):6660. https://doi.org/10.3390/s21196660
Chicago/Turabian StyleLiu, Lihao, Zhenghong Dong, Haoxiang Su, and Dingzhan Yu. 2021. "A Study of Distributed Earth Observation Satellites Mission Scheduling Method Based on Game-Negotiation Mechanism" Sensors 21, no. 19: 6660. https://doi.org/10.3390/s21196660
APA StyleLiu, L., Dong, Z., Su, H., & Yu, D. (2021). A Study of Distributed Earth Observation Satellites Mission Scheduling Method Based on Game-Negotiation Mechanism. Sensors, 21(19), 6660. https://doi.org/10.3390/s21196660
