Industrial Masonry Chimney Geometry Analysis: A Total Station Based Evaluation of the Unmanned Aerial System Photogrammetry Approach
Abstract
:1. Introduction
2. Materials and Methods
2.1. Study Area
2.2. General Research Workflow
- Field data acquisition.
- 2.
- Data preprocessing.
- 3.
- Chimney geometry generation.
- 4.
- Result analysis.
2.3. Field Data Acquisition
2.3.1. GRN Survey
2.3.2. TS Reference Data
2.3.3. UAS Image Acquisition
2.4. Methods
2.4.1. GRN Adjustment and TS Data Processing
2.4.2. UAS Imagery Processing
2.4.3. Cross-Sectional Ellipse Modeling
2.4.4. Chimney Axis Modeling
- Line (1st degree polynomial—linear function, k = 1);
- Quadratic curve (2nd degree polynomial—quadratic function, k = 2);
- Cubic curve (3rd degree polynomial—cubic function, k = 3).
3. Results and Discussion
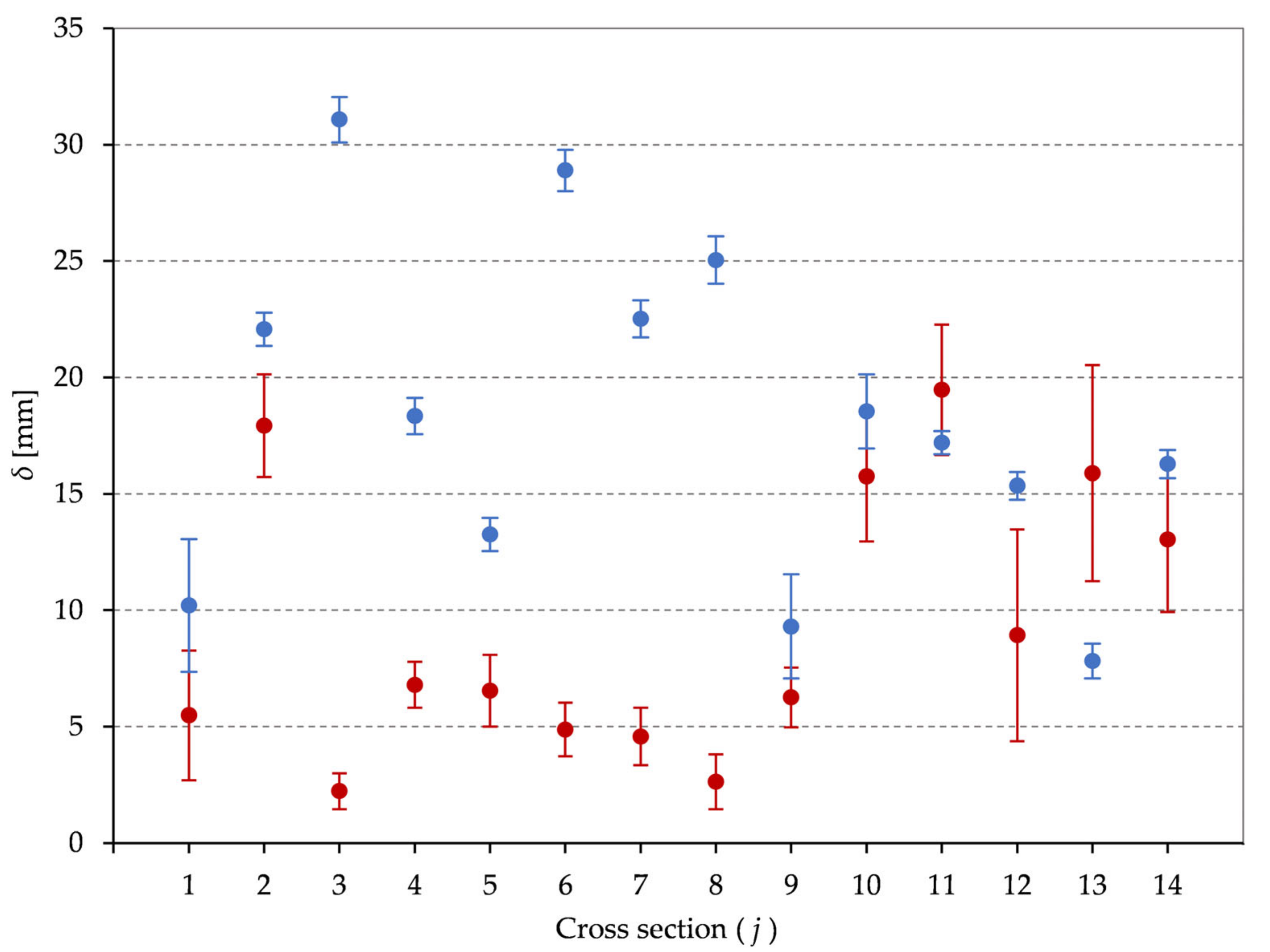
3.1. Cross-Sectional Modeling Results
3.2. Axis Modeling Results
- Weighted sum of squared residuals ;
- A posteriori standard deviation of unit weight ;
- Mean error distance .
4. Conclusions
Author Contributions
Funding
Institutional Review Board Statement
Informed Consent Statement
Data Availability Statement
Acknowledgments
Conflicts of Interest
References
- Barazzetti, L.; Previtali, M.; Roncoroni, F. The use of Terrestrial Laser Scanning Techniques to Evaluate Industrial Masonry Chimney Verticality. Int. Arch. Photogramm. Remote Sens. Spat. Inf. Sci. 2019, XLII-2/W11, 173–178. [Google Scholar] [CrossRef] [Green Version]
- Ivorra, S. Old industrial masonry chimneys: Repairing and maintenance. In Proceedings of the 9th International Conference on Structural Analysis of Historical Constructions, Mexico City, Mexico, 14–17 October 2014; pp. 1–13. [Google Scholar]
- Guedes, J.M.; Lopes, V.; Quelhas, B.; Costa, A.; Ilharco, T.; Coelho, F. Brick masonry industrial chimneys: Assessment, evaluation, and intervention. Philos. Trans. R. Soc. A 2019, 377, 20190012. [Google Scholar] [CrossRef] [Green Version]
- Francisco, J.P.; Salvador, I.; Luis, P.; Jose, M.A. State of the art of industrial masonry chimneys: A review from construction to strengthening. Constr. Build. Mater. 2011, 25, 4351–4361. [Google Scholar] [CrossRef]
- Dawood, A.O.; Sangoor, A.J.; Al-Rkaby, A.H.J. Behavior of tall masonry chimneys under wind loadings using CFD technique. Case Stud. Constr. Mater. 2020, 13, e00451. [Google Scholar] [CrossRef]
- Kocierz, R.; Ortyl, L. Using Reflectorless Total Station in Surveying of Industrial Chimney Inclination. Geomat. Environ. Eng. 2010, 4, 43–55. [Google Scholar]
- Zrinjski, M.; Barković, Đ.; Tupek, A.; Polović, A. Testing and Analysis of Chimney Verticality. Geod. List 2019, 73, 239–260. [Google Scholar]
- Zrinjski, M.; Tupek, A.; Barković, Đ.; Polović, A.; Novosel, T.; Vidoš, M. Determination and Analysis of Chimney Inclination. In Proceedings of the 8th International Conference on Engineering Surveying & 4th Symposium on Engineering Geodesy, Virtual Conference, 22–23 October 2020; Kopáčik, A., Kyrinovič, P., Erdélyi, J., Paar, R., Marendić, A., Eds.; Croatian Geodetic Society: Zagreb, Croatia, 2020; pp. 155–166. [Google Scholar]
- Marjetič, A.; Ambrožič, T.; Kogoj, D. Determination of the Nonverticality of High Chimneys. Geod. Vestn. 2011, 55, 701–712. [Google Scholar] [CrossRef]
- Zheng, S.; Ma, D.; Zhang, Z.; Hu, H.; Gui, L. A novel measurement method based on silhouette for chimney quasi-static deformation monitoring. Measurement 2012, 45, 226–234. [Google Scholar] [CrossRef]
- Bajtala, M.; Brunčák, P.; Kubinec, J.; Lipták, M.; Sokol, Š. Exploitation of Terrestrial Laser Scanning in Determining of Geometry of a Factory Chimney. In Proceedings of the 5th International Conference on Engineering Surveying, Brijuni, Croatia, 22–24 September 2011; Kopáčik, A., Kyrinovič, P., Roić, M., Eds.; University of Zagreb, Faculty of Geodesy: Zagreb, Croatia, 2011; pp. 77–82. [Google Scholar]
- Kregar, K.; Ambrožič, T.; Kogoj, D.; Vezočnik, R.; Marjetič, A. Determining the inclination of tall chimneys using the TPS and TLS approach. Measurement 2015, 75, 354–363. [Google Scholar] [CrossRef]
- Gražulis, Ž.; Krikštaponis, B.; Neseckas, A.; Popovas, D.; Putrimas, R.; Šlikas, D.; Zigmantienė, E. The Horizontal Deformation Analysis of High-rise Buildings. In Proceedings of the 10th International Conference, Environmental Engineering, Vilnius, Lithuania, 27–28 April 2017; pp. 1–7. [Google Scholar] [CrossRef]
- Marjetič, A.; Štebe, G. Determining the non-verticality of tall chimneys using the laser scanning approach. In Proceedings of the 7th International Conference on Engineering Surveying, Lisbon, Portugal, 18–20 October 2017; pp. 1–8. [Google Scholar]
- Muszynski, Z.; Milczarek, W. Application of Terrestrial Laser Scanning to Study the Geometry of Slender Objects. IOP Conf. Ser. Earth Environ. Sci. 2017, 95, 42069. [Google Scholar] [CrossRef] [Green Version]
- Daliga, K.; Kurałowicz, Z. Comparison of Different Measurement Techniques as Methodology for Surveying and Monitoring Stainless Steel Chimneys. Geosciences 2019, 9, 429. [Google Scholar] [CrossRef] [Green Version]
- Wrona, M.; Nykiel, G. GNSS Based Structural Health Monitoring System for High-Rise Concrete Chimneys. In Proceedings of the 14th International Multidisciplinary Scientific Geo-Conference SGEM2018, Albena, Bulgaria, 19–25 June 2014; pp. 293–300. [Google Scholar] [CrossRef]
- Górski, P. Dynamic characteristic of tall industrial chimney estimated from GPS measurement and frequency domain decomposition. Eng. Struct. 2017, 148, 277–292. [Google Scholar] [CrossRef]
- Yu, J.; Meng, X.; Yan, B.; Xu, B.; Fan, Q.; Xie, Y. Global Navigation Satellite System-based positioning technology for structural health monitoring: A review. Struct. Control Health Monit. 2020, 27, e2467. [Google Scholar] [CrossRef] [Green Version]
- Breuer, P.; Chmielewski, T.; Górski, P.; Konopka, E.; Tarczyński, L. The Stuttgart TV Tower—Displacement of the top caused by the effects of sun and wind. Eng. Struct. 2008, 30, 2771–2781. [Google Scholar] [CrossRef]
- Štroner, M.; Urban, R.; Reindl, T.; Seidl, J.; Brouček, J. Evaluation of the Georeferencing Accuracy of a Photogrammetric Model Using a Quadrocopter with Onboard GNSS RTK. Sensors 2020, 20, 2318. [Google Scholar] [CrossRef] [PubMed] [Green Version]
- Hallermann, N.; Morgenthal, G. Unmanned Aerial Vehicles (UAV) for the Assessment of Existing Structures. In Proceedings of the IABSE Symposium, Kolkata, India, 24–27 September 2013; pp. 1–8. [Google Scholar] [CrossRef]
- Martín-Béjar, S.; Claver, J.; Sebastián, M.A.; Sevilla, L. Graphic Applications of Unmanned Aerial Vehicles (UAVs) in the Study of Industrial Heritage Assets. Appl. Sci. 2020, 10, 8821. [Google Scholar] [CrossRef]
- Leon, I.; Pérez, J.J.; Senderos, M. Advanced Techniques for Fast and Accurate Heritage Digitisation in Multiple Case Studies. Sustainability 2020, 12, 6068. [Google Scholar] [CrossRef]
- Morgenthal, G.; Hallermann, N. Quality Assessment of Unmanned Aerial Vehicle (UAV) Based Visual Inspection of Structures. Adv. Struct. Eng. 2014, 17, 289–302. [Google Scholar] [CrossRef]
- Jain, K.; Mishra, V. Analysis of Survey Approach Using UAV Images and Lidar for a Chimney Study. J. Indian Soc. Remote Sens. 2021, 49, 613–618. [Google Scholar] [CrossRef]
- European Committee for Standardization. EN 1996-1-1:2005—Eurocode 6—Design of Masonry Structures—Part 1-1: General Rules for Reinforced and Unreinforced Masonry Structures; European Committee for Standardization: Brussels, Belgium, 2005. [Google Scholar]
- Polović, A. Testing and Analysis of Chimney Verticality. Master’s Thesis, Faculty of Geodesy, University of Zagreb, Zagreb, Croatia, 20 September 2019. [Google Scholar]
- Jecić, Z. (Ed.) Povijest hrvatske industrije: Pamučna industrija Duga Resa. Kem. Ind. 2020, 69, 225–226. [Google Scholar]
- Leica Geosystems. Leica TPS1200 User Manual; Leica Geosystems AG: Heerbrugg, Switzerland, 2006. [Google Scholar]
- International Organization for Standardization. ISO 17123-3:2001—Optics and Optical Instruments—Field Procedures for Testing Geodetic and Surveying Instruments—Part 3: Theodolites; International Organization for Standardization: Geneva, Switzerland, 2001. [Google Scholar]
- International Organization for Standardization. ISO 17123-4:2012—Optics and Optical Instruments—Field Procedures for Testing Geodetic and Surveying Instruments—Part 4: Electro-Optical Distance Meters (EDM Measurements to Reflectors); International Organization for Standardization: Geneva, Switzerland, 2012. [Google Scholar]
- DJI Phantom 4 Pro. Available online: https://www.dji.com/hr/phantom-4-pro/info (accessed on 10 June 2021).
- Sanz-Ablanedo, E.; Chandler, J.H.; Rodríguez-Pérez, J.R.; Ordóñez, C. Accuracy of Unmanned Aerial Vehicle (UAV) and SfM Photogrammetry Survey as a Function of the Number and Location of Ground Control Points Used. Remote Sens. 2018, 10, 1606. [Google Scholar] [CrossRef] [Green Version]
- Ciddor, P.E. Refractive index of air: New equations for the visible and near infrared. Appl. Opt. 1996, 35, 1566–1573. [Google Scholar] [CrossRef] [PubMed]
- Zrinjski, M.; Barković, Đ.; Baričević, S. Precise Determination of Calibration Baseline Distances. J. Surv. Eng. 2019, 145, 05019005. [Google Scholar] [CrossRef]
- Caspary, W.F. Concepts of Network and Deformation Analysis, 3rd ed.; School of Geomatic Engineering, The University of New South Wales: Sydney, Australia, 2000. [Google Scholar]
- Ghilani, C.D.; Wolf, P.R. Adjustment Computations: Spatial Data Analysis, 4th ed.; John Wiley & Sons, Inc.: Hoboken, NJ, USA, 2006. [Google Scholar]
- Koch, K.R. Parameter Estimation and Hypothesis Testing in Linear Models, 2nd ed.; Springer GmbH: Berlin, Germany, 1999. [Google Scholar]
- Agisoft LLC. 2019: Agisoft Metashape Professional (Version 1.6.3). Available online: https://www.agisoft.com/downloads/installer/ (accessed on 11 July 2019).
- CloudCompare (Version 2.11.3). Available online: https://www.danielgm.net/cc/ (accessed on 21 January 2021).
- Gander, W.; Golub, G.H.; Strebel, R. Least-squares Fitting of Circles and Ellipses. BIT Numer. Math. 1994, 34, 558–578. [Google Scholar] [CrossRef]
- Ahn, S.J.; Rauh, W. Geometric Least Squares Fitting of Circle and Ellipse. Int. J. Pattern Recognit. Artif. Intell. 1999, 13, 987–996. [Google Scholar] [CrossRef]
- Ahn, S.J.; Rauh, W.; Hans-Jurgen, W. Least-squares orthogonal distance fitting of circle, sphere, ellipse, hyperbola, and parabola. Pattern Recognit. 2001, 34, 2283–2303. [Google Scholar] [CrossRef]
- Prasad, D.K.; Leung, M.K.H.; Quek, C. ElliFit: An unconstrained, non-iterative, least squares based geometric Ellipse Fitting method. Pattern Recognit. 2013, 46, 1449–1465. [Google Scholar] [CrossRef]
- Splett, J.; Koepke, A.; Jimenez, F. Estimating the Parameters of Circles and Ellipses Using Orthogonal Distance Regression and Bayesian Errors-in-Variables Regression. In Proceedings of the 2019 Joint Statistical Meetings, Denver, CO, USA, 27 July–1 August 2019; pp. 2134–2150. [Google Scholar]
- Huang, H.H.; Hsiao, C.K.; Huang, S.Y. Nonlinear Regression Analysis. In International Encyclopedia of Education, 3rd ed.; Peterson, P., Baker, E., McGaw, B., Eds.; Elsevier: Amsterdam, The Netherlands, 2010; pp. 339–346. [Google Scholar] [CrossRef]
- Magrenan, A.A.; Argyros, I. Gauss–Newton method. In A Contemporary Study of Iterative Methods, 1st ed.; Magrenan, A.A., Argyros, I., Eds.; Academic Press: Cambridge, MA, USA, 2018; pp. 61–67. [Google Scholar]
- Lancaster, P.; Šalkauskas, K. Curve and Surface Fitting: An Introduction, 1st ed.; Academic Press: London, UK, 1986. [Google Scholar]
- Snow, K.; Schaffrin, B. Line fitting in Euclidean 3D space. Studia Geophys. Geod. 2016, 60, 210–227. [Google Scholar] [CrossRef]
- Ostertagová, E. Modelling using polynomial regression. Procedia Eng. 2012, 48, 500–506. [Google Scholar] [CrossRef] [Green Version]
- Aigner, M.; Jüttler, B. Robust fitting of parametric curves. Proc. Appl. Math. Mech. 2007, 7, 1022201–1022202. [Google Scholar] [CrossRef]
- Grossman, M. Parametric curve fitting. Comput. J. 1971, 14, 169–172. [Google Scholar] [CrossRef]
- Rawlings, J.O.; Pantula, S.G.; Dickey, D.A. (Eds.) Applied Regression Analysis: A Research Tool, 2nd ed.; Polynomial Regression; Springer: New York, NY, USA, 1998; pp. 235–268. [Google Scholar]
- Zhang, B.; Zhu, X. Gauss–Markov and weighted least-squares estimation under a general growth curve model. Linear Algebra Appl. 2000, 321, 387–398. [Google Scholar] [CrossRef] [Green Version]
- Baksalary, J.K.; Puntanen, S. Weighted-least-squares estimation in the general Gauss–Markov model. In Statistical Data Analysis and Inference; Dodge, Y., Ed.; Elsevier: Amsterdam, The Netherlands, 1989; pp. 355–368. [Google Scholar] [CrossRef]
- Mittermayer, E. A generalisation of the least-squares method for the adjustment of free networks. Bull. Géodésique 1972, 104, 139–157. [Google Scholar] [CrossRef]
- Fischler, M.A.; Bolles, R.C. Random sample consensus: A paradigm for model fitting with applications to image analysis and automated cartography. Commun. ACM 1981, 24, 391–395. [Google Scholar] [CrossRef]









| Survey | Date of Data Acquisition | Sensor |
|---|---|---|
| GRN 1 survey | 7 May 2019 | Leica Geosystems TCRP1201+ R400 |
| Chimney cross-sectional survey | 20 May 2019 | Leica Geosystems TCRP1201+ R400 |
| GCP 2 and MVP 3 survey | 20 May 2019 | Leica Geosystems TCRP1201+ R400 |
| UAS 4 image acquisition | 5 July 2019 | DJI Phantom 4 Pro |
| Point | |||||||||
|---|---|---|---|---|---|---|---|---|---|
| P1 * | 2000.001 | 1000.000 | 100.001 | 0.3 | 0.2 | 0.2 | 1.1 | 1.0 | 0.8 |
| P2 * | 2000.000 | 941.078 | 100.165 | 0.2 | 0.3 | 0.2 | 1.0 | 0.9 | 0.9 |
| P3 * | 1972.123 | 996.362 | 99.777 | 0.2 | 0.2 | 0.2 | 1.0 | 0.8 | 0.8 |
| P4 * | 1958.200 | 941.211 | 99.661 | 0.2 | 0.2 | 0.2 | 1.1 | 0.9 | 0.8 |
| P5 | 1903.271 | 944.929 | 99.181 | 0.5 | 0.6 | 0.4 | 2.3 | 2.0 | 1.6 |
| P6 | 1921.404 | 998.888 | 99.235 | 0.6 | 0.5 | 0.4 | 2.7 | 1.9 | 1.7 |
| Test Statistics | Lower Critical Value | Upper Critical Value | Hypothesis Accepted |
|---|---|---|---|
| 98.49 | 0.07 | 3.14 |
| Cross Section | ||||||||||
|---|---|---|---|---|---|---|---|---|---|---|
| 1960.837 | 969.949 | 101.557 | 1.6 | 1.5 | 1.1 | 2.770 | 2.2 | 2.764 | 1.7 | |
| 1960.847 | 969.950 | 106.544 | 2.0 | 0.7 | 2.7 | 2.695 | 1.0 | 2.677 | 2.0 | |
| 1960.846 | 969.943 | 111.623 | 0.6 | 0.5 | 2.1 | 2.536 | 0.4 | 2.534 | 0.7 | |
| 1960.847 | 969.935 | 116.525 | 0.8 | 0.6 | 1.9 | 2.399 | 0.6 | 2.392 | 0.8 | |
| 1960.850 | 969.929 | 121.497 | 1.4 | 0.8 | 1.2 | 2.305 | 1.2 | 2.298 | 1.0 | |
| 1960.855 | 969.921 | 126.545 | 1.0 | 0.6 | 2.2 | 2.211 | 0.8 | 2.206 | 0.8 | |
| 1960.861 | 969.910 | 131.506 | 1.0 | 0.6 | 2.0 | 2.121 | 0.7 | 2.116 | 1.0 | |
| 1960.863 | 969.895 | 136.544 | 0.7 | 0.6 | 2.7 | 2.032 | 0.5 | 2.029 | 1.1 | |
| 1960.866 | 969.882 | 141.504 | 0.8 | 0.7 | 2.8 | 1.947 | 1.1 | 1.940 | 0.7 | |
| 1960.862 | 969.873 | 146.494 | 1.1 | 2.5 | 1.9 | 1.853 | 1.2 | 1.837 | 2.6 | |
| 1960.869 | 969.850 | 151.423 | 1.2 | 1.2 | 3.4 | 1.773 | 1.4 | 1.754 | 2.5 | |
| 1960.876 | 969.836 | 156.538 | 1.6 | 2.5 | 2.4 | 1.672 | 1.4 | 1.663 | 4.3 | |
| 1960.881 | 969.806 | 161.517 | 1.5 | 2.1 | 1.5 | 1.591 | 4.5 | 1.575 | 1.3 | |
| 1960.891 | 969.805 | 167.290 | 1.8 | 1.9 | 3.1 | 1.511 | 2.4 | 1.498 | 1.9 |
| Cross Section | ||||||||||
|---|---|---|---|---|---|---|---|---|---|---|
| 1960.804 | 969.962 | 101.557 | 3.0 | 0.8 | 0.4 | 2.793 | 2.2 | 2.783 | 1.8 | |
| 1960.814 | 969.939 | 106.544 | 0.5 | 0.3 | 0.4 | 2.713 | 0.4 | 2.691 | 0.6 | |
| 1960.827 | 969.931 | 111.623 | 0.4 | 0.6 | 0.3 | 2.556 | 0.8 | 2.525 | 0.6 | |
| 1960.824 | 969.918 | 116.525 | 0.4 | 0.5 | 0.3 | 2.413 | 0.6 | 2.394 | 0.4 | |
| 1960.825 | 969.911 | 121.497 | 0.3 | 0.4 | 0.3 | 2.313 | 0.6 | 2.300 | 0.4 | |
| 1960.832 | 969.897 | 126.545 | 0.4 | 0.5 | 0.3 | 2.227 | 0.8 | 2.198 | 0.5 | |
| 1960.837 | 969.887 | 131.506 | 0.4 | 0.5 | 0.3 | 2.132 | 0.7 | 2.109 | 0.4 | |
| 1960.836 | 969.869 | 136.544 | 0.4 | 0.6 | 0.4 | 2.045 | 0.9 | 2.020 | 0.6 | |
| 1960.839 | 969.848 | 141.504 | 0.9 | 1.9 | 0.5 | 1.955 | 2.1 | 1.946 | 0.7 | |
| 1960.838 | 969.848 | 146.494 | 1.0 | 1.2 | 0.5 | 1.865 | 1.5 | 1.846 | 0.6 | |
| 1960.857 | 969.843 | 151.423 | 0.3 | 0.3 | 0.4 | 1.776 | 0.4 | 1.759 | 0.3 | |
| 1960.867 | 969.822 | 156.538 | 0.3 | 0.4 | 0.4 | 1.681 | 0.5 | 1.666 | 0.3 | |
| 1960.882 | 969.802 | 161.517 | 0.4 | 0.5 | 0.5 | 1.587 | 0.7 | 1.580 | 0.3 | |
| 1960.904 | 969.818 | 167.290 | 0.3 | 0.4 | 0.4 | 1.515 | 0.5 | 1.499 | 0.4 |
| Cross Section | |||||
|---|---|---|---|---|---|
| −0.033 | 0.013 | 0.000 | 0.023 | 0.018 | |
| −0.034 | −0.010 | 0.000 | 0.018 | 0.014 | |
| −0.019 | −0.013 | 0.000 | 0.020 | −0.009 | |
| −0.023 | −0.017 | 0.000 | 0.014 | 0.002 | |
| −0.025 | −0.017 | 0.000 | 0.008 | 0.001 | |
| −0.023 | −0.024 | 0.000 | 0.016 | −0.008 | |
| −0.023 | −0.023 | 0.000 | 0.011 | −0.007 | |
| −0.027 | −0.026 | 0.000 | 0.013 | −0.010 | |
| −0.028 | −0.034 | 0.000 | 0.009 | 0.006 | |
| −0.023 | −0.025 | 0.000 | 0.012 | 0.009 | |
| −0.012 | −0.007 | 0.000 | 0.003 | 0.006 | |
| −0.009 | −0.013 | 0.000 | 0.010 | 0.003 | |
| 0.001 | −0.005 | 0.000 | −0.004 | 0.004 | |
| 0.012 | 0.013 | 0.000 | 0.004 | 0.001 |
| Test Statistic | Critical Region | Hypothesis Accepted |
|---|---|---|
| 26.34 |
| Regression Model | Polynomial Degree | Number of Parameters | |||
|---|---|---|---|---|---|
| Line | 1 | 3 | 3068.22 | 11.3 | 15.3 |
| Quadratic cure | 2 | 6 | 236.83 | 2.7 | 4.3 |
| Cubic curve | 3 | 9 | 161.45 | 2.3 | 3.7 |
| Polynomial Function Parameter | TS Data Set | UAS Data Set | ||
|---|---|---|---|---|
| Value [m] | St. Deviation [m] | Value [m] | St. Deviation [m] | |
| 0.0007260 | 0.0000757 | 0.0007143 | 0.0001636 | |
| −0.0004294 | 0.0000612 | −0.0029607 | 0.0002196 | |
| 1.0000005 | 0.0001465 | 0.9999953 | 0.0001563 | |
| −0.0000002 | 0.0000017 | 0.0000101 | 0.0000030 | |
| −0.0000302 | 0.0000015 | 0.0000097 | 0.0000040 | |
| −0.0000001 | 0.0000028 | 0.0000000 | 0.0000031 | |
| Regression Model | Polynomial Degree | Number of Parameters | |||
|---|---|---|---|---|---|
| Quadratic cure | 2 | 6 | 7947.85 | 15.5 | 9.6 |
| Cross Section | |||||||
|---|---|---|---|---|---|---|---|
| 0.00000 | 1960.837 | 969.949 | 101.557 | 1.6 | 1.5 | 1.1 | |
| 4.98701 | 1960.841 | 969.946 | 106.544 | 0.3 | 0.3 | 0.7 | |
| 10.06601 | 1960.844 | 969.942 | 111.623 | 0.6 | 0.5 | 1.2 | |
| 14.96801 | 1960.848 | 969.936 | 116.525 | 0.8 | 0.6 | 1.6 | |
| 19.94001 | 1960.851 | 969.928 | 121.497 | 0.9 | 0.7 | 1.9 | |
| 24.98802 | 1960.855 | 969.919 | 126.545 | 1.0 | 0.7 | 2.0 | |
| 29.94903 | 1960.859 | 969.909 | 131.506 | 1.0 | 0.7 | 2.1 | |
| 34.98705 | 1960.862 | 969.897 | 136.544 | 0.9 | 0.7 | 2.0 | |
| 39.94707 | 1960.866 | 969.884 | 141.504 | 0.9 | 0.8 | 2.0 | |
| 44.93707 | 1960.869 | 969.869 | 146.494 | 1.0 | 1.1 | 1.9 | |
| 49.86611 | 1960.873 | 969.852 | 151.423 | 1.2 | 1.4 | 2.0 | |
| 54.98113 | 1960.876 | 969.834 | 156.538 | 1.6 | 1.8 | 2.4 | |
| 59.96019 | 1960.880 | 969.815 | 161.517 | 2.1 | 2.4 | 3.0 | |
| 65.73318 | 1960.884 | 969.790 | 167.290 | 2.8 | 3.1 | 4.0 |
| Cross Section | |||||||
|---|---|---|---|---|---|---|---|
| 0.00000 | 1960.804 | 969.962 | 101.557 | 3.0 | 0.8 | 0.4 | |
| 4.98682 | 1960.808 | 969.948 | 106.544 | 0.7 | 1.0 | 0.7 | |
| 10.06546 | 1960.812 | 969.933 | 111.623 | 1.4 | 1.8 | 1.3 | |
| 14.96695 | 1960.817 | 969.920 | 116.525 | 1.8 | 2.4 | 1.7 | |
| 19.93996 | 1960.822 | 969.907 | 121.497 | 2.1 | 2.9 | 2.0 | |
| 24.98773 | 1960.828 | 969.894 | 126.545 | 2.3 | 3.1 | 2.1 | |
| 29.94798 | 1960.834 | 969.882 | 131.506 | 2.4 | 3.2 | 2.2 | |
| 34.98676 | 1960.841 | 969.870 | 136.544 | 2.4 | 3.1 | 2.2 | |
| 39.94628 | 1960.849 | 969.859 | 141.504 | 2.2 | 2.9 | 2.1 | |
| 44.93727 | 1960.856 | 969.849 | 146.494 | 2.1 | 2.7 | 2.1 | |
| 49.86580 | 1960.865 | 969.839 | 151.423 | 2.0 | 2.5 | 2.2 | |
| 54.98008 | 1960.874 | 969.829 | 156.538 | 2.1 | 2.6 | 2.7 | |
| 59.95902 | 1960.883 | 969.819 | 161.517 | 2.6 | 3.2 | 3.4 | |
| 65.73205 | 1960.894 | 969.809 | 167.290 | 3.5 | 4.4 | 4.5 |
| Cross Section | |||
|---|---|---|---|
| 0°2′54″ | 0°10′28″ | / | |
| 0°3′32″ | 0°10′14″ | 0°15′24″ | |
| 0°4′21″ | 0°10′01″ | 0°10′50″ | |
| 0°5′13″ | 0°9′50″ | 0°8′53″ | |
| 0°6′08″ | 0°9′39″ | 0°7′42″ | |
| 0°7′07″ | 0°9′30″ | 0°6′53″ | |
| 0°8′05″ | 0°9′22″ | 0°6′17″ | |
| 0°9′05″ | 0°9′15″ | 0°5′49″ | |
| 0°10′05″ | 0°9′10″ | 0°5′26″ | |
| 0°11′05″ | 0°9′06″ | 0°5′08″ | |
| 0°12′05″ | 0°9′04″ | 0°4′52″ | |
| 0°13′08″ | 0°9′03″ | 0°4′38″ | |
| 0°14′09″ | 0°9′04″ | 0°4′26″ | |
| 0°15′20″ | 0°9′07″ | 0°4′14″ |
Publisher’s Note: MDPI stays neutral with regard to jurisdictional claims in published maps and institutional affiliations. |
© 2021 by the authors. Licensee MDPI, Basel, Switzerland. This article is an open access article distributed under the terms and conditions of the Creative Commons Attribution (CC BY) license (https://creativecommons.org/licenses/by/4.0/).
Share and Cite
Zrinjski, M.; Tupek, A.; Barković, Đ.; Polović, A. Industrial Masonry Chimney Geometry Analysis: A Total Station Based Evaluation of the Unmanned Aerial System Photogrammetry Approach. Sensors 2021, 21, 6265. https://doi.org/10.3390/s21186265
Zrinjski M, Tupek A, Barković Đ, Polović A. Industrial Masonry Chimney Geometry Analysis: A Total Station Based Evaluation of the Unmanned Aerial System Photogrammetry Approach. Sensors. 2021; 21(18):6265. https://doi.org/10.3390/s21186265
Chicago/Turabian StyleZrinjski, Mladen, Antonio Tupek, Đuro Barković, and Ante Polović. 2021. "Industrial Masonry Chimney Geometry Analysis: A Total Station Based Evaluation of the Unmanned Aerial System Photogrammetry Approach" Sensors 21, no. 18: 6265. https://doi.org/10.3390/s21186265
APA StyleZrinjski, M., Tupek, A., Barković, Đ., & Polović, A. (2021). Industrial Masonry Chimney Geometry Analysis: A Total Station Based Evaluation of the Unmanned Aerial System Photogrammetry Approach. Sensors, 21(18), 6265. https://doi.org/10.3390/s21186265

