Analysis of Impact of Natural Ventilation Strategies in Ventilation Rates and Indoor Environmental Acoustics Using Sensor Measurement Data in Educational Buildings
Abstract
:1. Introduction
2. Methodology and Data Collection
2.1. Study Area and Building Description
2.2. Decay Method to Determine Air Change in Natural Ventilation in Classroom
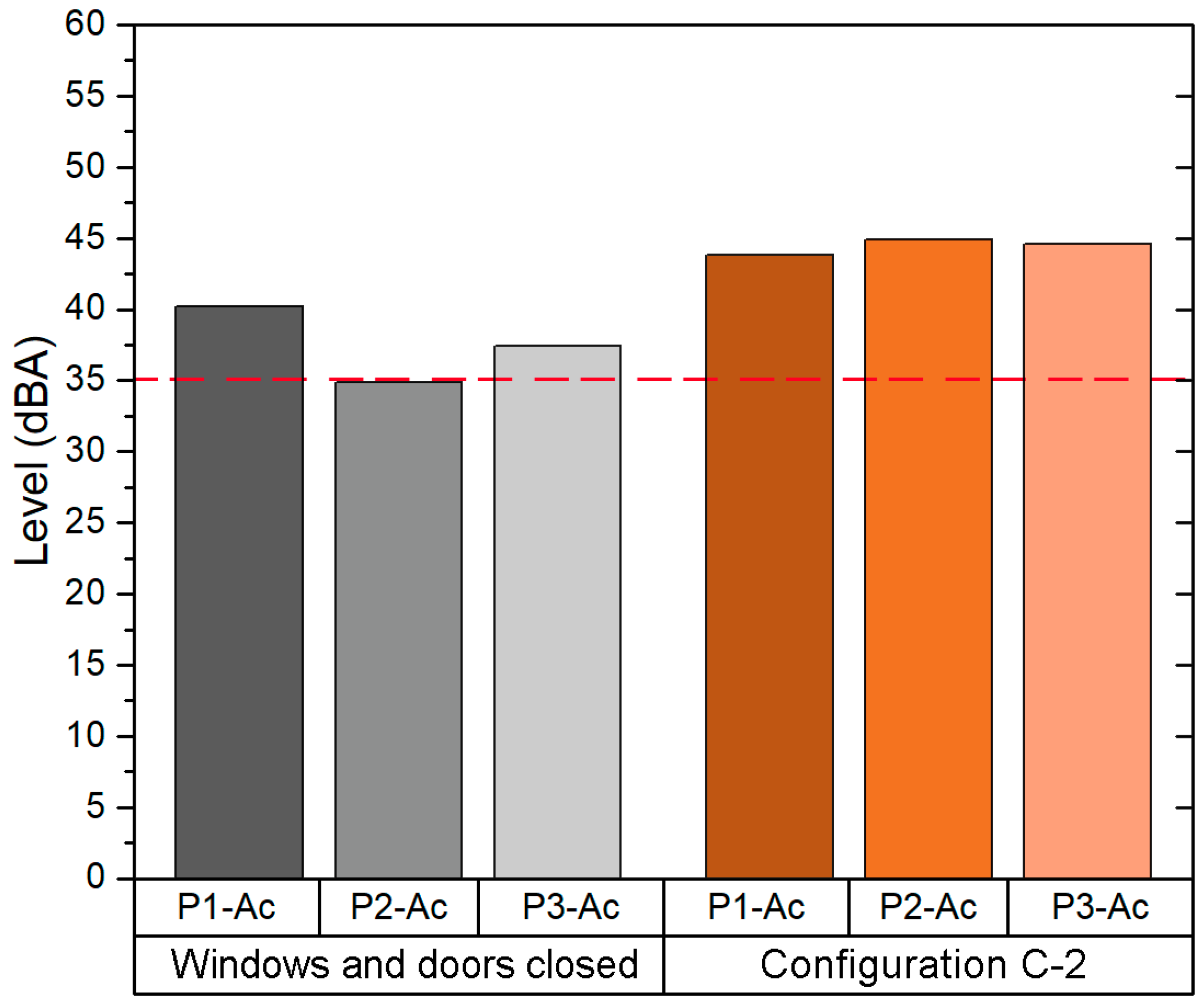
2.3. Background Noise Indoor Data Collection
2.4. Sensors and Data Collection
3. Results
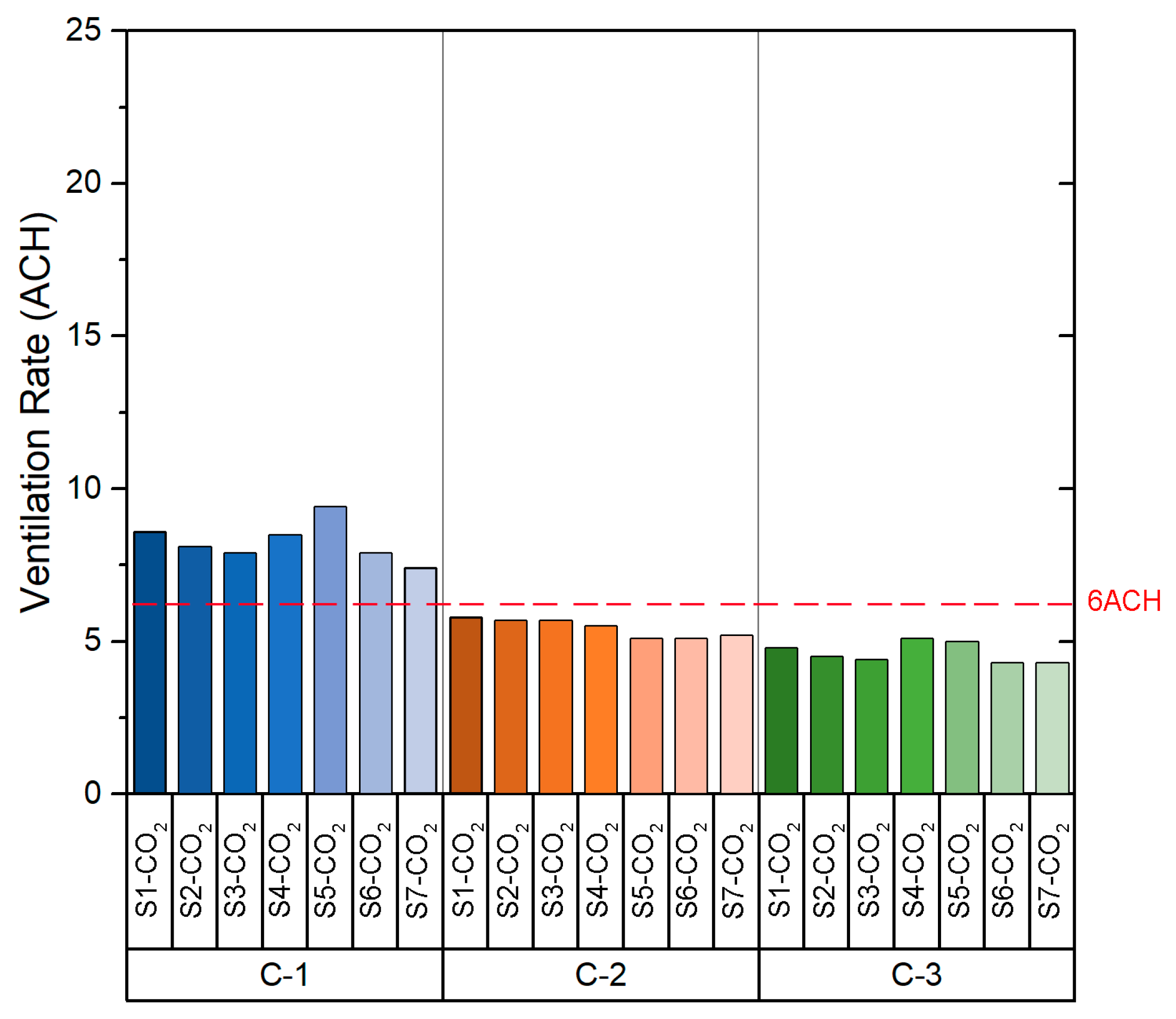
3.1. Building 1—Classroom A-1 (B1-A1): Windows-Based Natural Cross-Ventilation Strategies—East Orientation
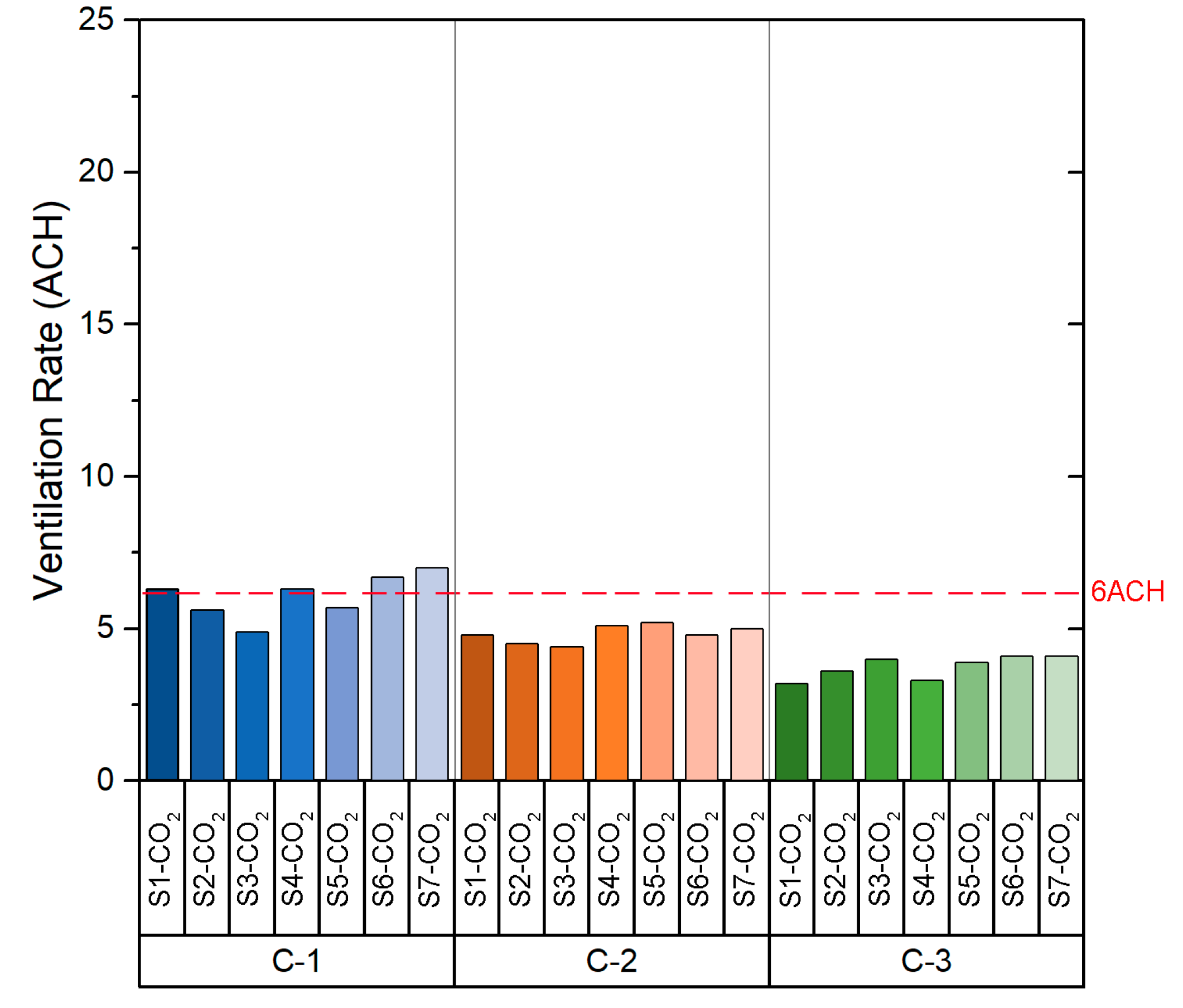
3.2. Building 1—Classroom A-2 (B1-A2): Cross-Ventilation through Corridors Strategies—West Orientation
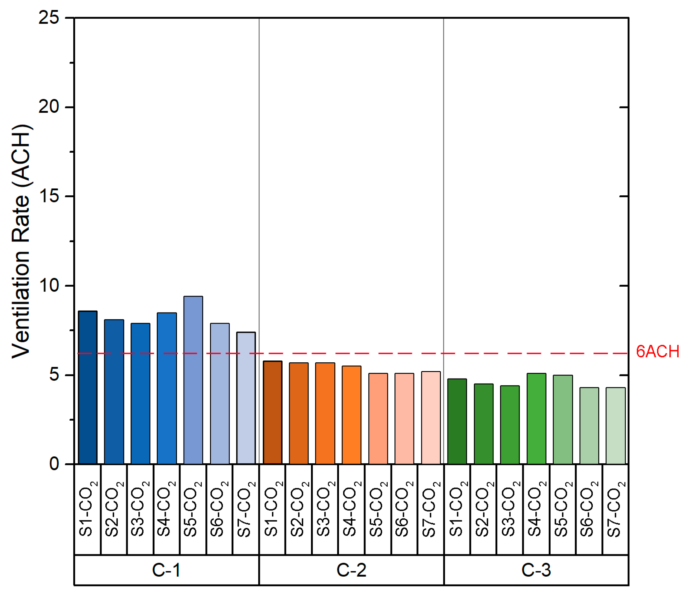
3.3. Building 2—Classroom A1 (B2-A1): Natural Cross-Ventilation Strategies—North Orientation
3.4. Building 2—Classroom A2 (B2-A2): Natural Cross-Ventilation Strategies—South Orientation
4. Discussion
- The classroom selection must take into account both the health recommendations and the impact of background noise. Priority should be given to selecting those indoor spaces that: 1) meet the health requirements (minimum distances, VR, etc.) and 2) (due to their location and orientation) have a background noise level that does not interfere with the teaching-learning activities.
- In those cases where it is not possible to meet the criterion stated in the previous point, an adaptation intervention must be carried out (i.e., installation of passive, active, automation-based or hybrid noise control devices). Noise control solutions for natural ventilation openings must ensure the required VR while also ensuring the background noise does not interfere with the performance of students and teachers.
5. Conclusions
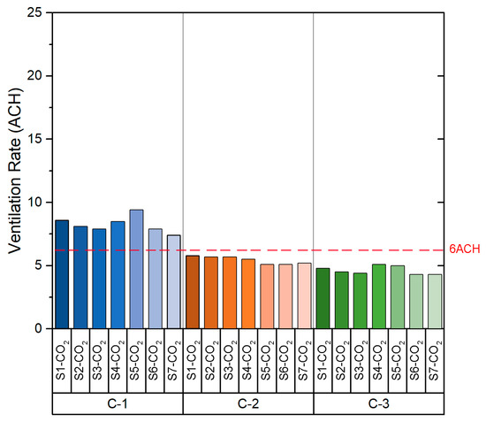
- Natural cross-ventilation is an effective strategy to achieve the ACH levels required to ensure that the indoor spaces meet the guideline recommendations for a safe return to campus.
- There are differences in the specific natural ventilation strategy depending on the configuration of classrooms and building orientation. Thus, for the classrooms in building B1 the configuration of all windows opened and main door opened should be selected no matter the type of possible ventilation (natural ventilation through windows or cross-ventilation through corridors). On the other hand, in B2 the specific configuration depends on the classroom type, i.e., all windows opened and main door opened in the case of south-orientated classroom, or only windows at the end opened and main door opened in the case of the case of north-orientated classroom achieve better results due to the different orientation of the building. This fact highlights the needs of performing specific studies to select the best strategy to implement natural cross-ventilation.
- The average VR value provided by the selected configuration for each classroom was 8.3 ACH, 6.1 ACH, 8.4 ACH and 8.8 ACH for classrooms B1-A1, B1-A2, B2-A1 and B2-A2, respectively. Therefore, the average ACH value is above 6 ACH in all the selected natural ventilation configurations.
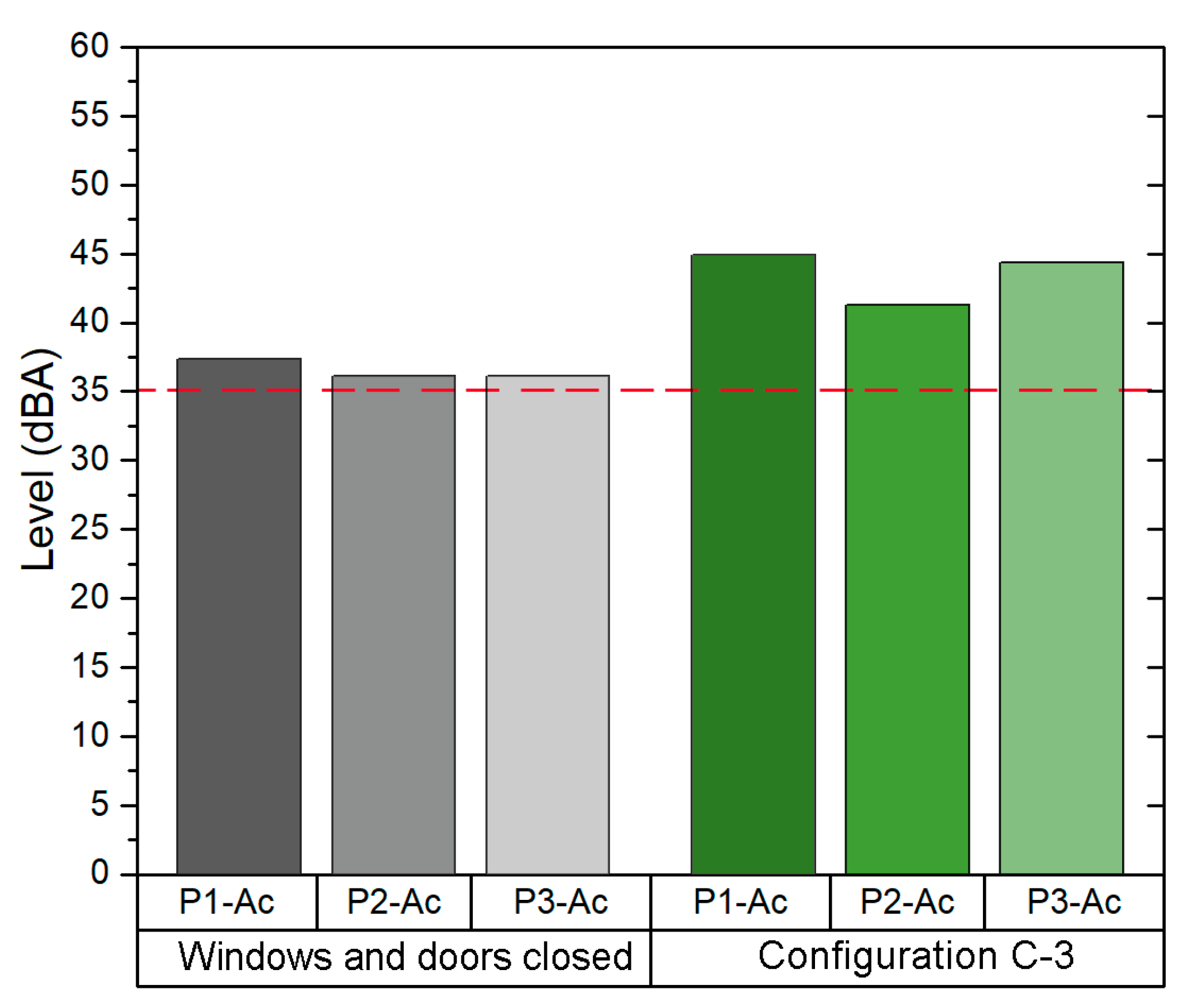
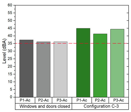
- The background noise level is strongly affected by the selected natural ventilation configuration. The background noise levels with the selected natural ventilation configuration were between 43.2 and 54.1 dBA. As can be seen, all classrooms exceed the recommended 35 dBA background noise level limit for background noise in teaching spaces. Consequently, the teaching activity management has to take into account not only the ACH, but also its impact on the indoor environmental conditions such as the acoustic environment. Since a high value of background noise level can interfere with the teaching and learning process and even interfere with the performance of students and teachers, educational building administrators need to consider this issue. In those cases where in order to achieve a natural ventilation strategy that provides the required VR, the background noise level exceeds 35 dbA, building managers should make intervening adaptations (i.e., installation of passive, active, automation-based or hybrid noise control devices).
Author Contributions
Funding
Institutional Review Board Statement
Informed Consent Statement
Data Availability Statement
Acknowledgments
Conflicts of Interest
Appendix A
| Sensor | Configuration 1 (C-1) | Configuration 2 (C-2) | Configuration 3 (C-3) | ||||||
|---|---|---|---|---|---|---|---|---|---|
| Regression | R2 | ACH | Regression | R2 | ACH | Regression | R2 | ACH | |
| Sensor 1 | y = −8.5562x − 0.0116 | 0.99 | 8.6 | y = −5.8032x − 0.0643 | 0.97 | 5.8 | y = −4.8164x − 0.013 | 0.99 | 4.8 |
| Sensor 2 | y = −8.1303x + 0.032 | 0.99 | 8.1 | y = −5.6655x − 0.0146 | 0.99 | 5.7 | y = −4.5337x + 0.0213 | 0.99 | 4.5 |
| Sensor 3 | y = −7.8861x + 0.0128 | 0.99 | 7.9 | y = −5.6654x − 0.0067 | 0.98 | 5.7 | y = −4.4275x + 0.0039 | 0.98 | 4.4 |
| Sensor 4 | y = −8.4811x + 0.0253 | 0.99 | 8.5 | y = −5.4554x − 0.0361 | 0.98 | 5.5 | y = −5.0707x − 0.0076 | 0.97 | 5.1 |
| Sensor 5 | y = −9.4362x + 0.0788 | 0.99 | 9.4 | y = −5.1062x − 0.0007 | 0.99 | 5.1 | y = −4.9633x + 0.0372 | 0.99 | 5.0 |
| Sensor 6 | y = −7.8993x + 0.0444 | 0.99 | 7.9 | y = −5.0867x − 0.0127 | 0.99 | 5.1 | y = −4.2515x + 0.0065 | 0.98 | 4.3 |
| Sensor 7 | y = −7.3562x − 0.0178 | 0.99 | 7.4 | y = −5.2405x + 0.0546 | 0.99 | 5.2 | y = −4.3029x − 0.0154 | 0.97 | 4.3 |
| Sensor | Configuration 1 (C-1) | Configuration 2 (C-2) | Configuration 3 (C-3) | ||||||
|---|---|---|---|---|---|---|---|---|---|
| Regression | R2 | ACH | Regression | R2 | ACH | Regression | R2 | ACH | |
| Sensor 1 | y = −6.337x + 0.1217 | 0.96 | 6.3 | y = −4.7516x + 0.0131 | 0.97 | 4.8 | y = −3.2131x + 0.0578 | 0.96 | 3.2 |
| Sensor 2 | y = −5.5545x + 0.1072 | 0.96 | 5.6 | y = −4.4593x + 0.0234 | 0.98 | 4.5 | y = −3.6485x + 0.0048 | 0.96 | 3.6 |
| Sensor 3 | y = −4.9443x + 0.1088 | 0.92 | 4.9 | y = −4.3944x + 0.062 | 0.95 | 4.4 | y = −3.997x + 0.0927 | 0.97 | 4.0 |
| Sensor 4 | y = −6.314x + 0.1222 | 0.98 | 6.3 | y = −5.0606x + 0.0484 | 0.98 | 5.1 | y = −3.2628x + 0.0311 | 0.99 | 3.3 |
| Sensor 5 | y = −5.7117x + 0.0777 | 0.99 | 5.7 | y = −5.1964x + 0.0938 | 0.98 | 5.2 | y = −3.8595x + 0.1546 | 0.96 | 3.9 |
| Sensor 6 | y = −6.6585x + 0.1135 | 0.93 | 6.7 | y = −4.7563x − 0.0159 | 0.95 | 4.8 | y = −4.1027x + 0.1336 | 0.95 | 4.1 |
| Sensor 7 | y = −6.9932x + 0.1164 | 0.94 | 7.0 | y = −5.0269x + 0.0316 | 0.97 | 5.0 | y = −4.0927x + 0.1599 | 0.96 | 4.1 |
| Sensor | Configuration 1 (C-1) | Configuration 2 (C-2) | Configuration 3 (C-3) | ||||||
|---|---|---|---|---|---|---|---|---|---|
| Regression | R2 | ACH | Regression | R2 | ACH | Regression | R2 | ACH | |
| Sensor 1 | y = −37.373x + 0.3503 | 0.97 | 37.4 | y = −12.071x − 0.1136 | 0.95 | 12.1 | y = −6.9297x − 0.0104 | 0.99 | 6.9 |
| Sensor 2 | y = −17.728x + 0.0923 | 0.99 | 17.7 | y = −10.227x + 0.1121 | 0.96 | 10.2 | y = −7.4124x + 0.0203 | 0.99 | 7.4 |
| Sensor 3 | y = −39.807x + 0.0103 | 0.99 | 39.8 | y = −24.743x + 0.1323 | 0.97 | 24.7 | y = −8.431x + 0.0709 | 0.99 | 8.4 |
| Sensor 4 | y = −15.465x + 0.008 | 0.98 | 15.5 | y = −10.332x + 0.0293 | 0.99 | 10.3 | y = −7.6596x + 0.0606 | 0.99 | 7.7 |
| Sensor 5 | y = −17.138x + 0.0901 | 0.99 | 17.1 | y = −9.9033x − 0.0758 | 0.97 | 9.9 | y = −9.0858x + 0.0245 | 0.99 | 9.1 |
| Sensor 6 | y = −29.454x + 0.1544 | 0.94 | 29.5 | y = −11.694x − 0.1097 | 0.96 | 11.7 | y = −9.5583x + 0.049 | 0.99 | 9.6 |
| Sensor 7 | y = −17.66x + 0.0902 | 0.98 | 17.6 | y = −9.9647x − 0.0078 | 0.98 | 10.0 | y = −9.58x + 0.0345 | 0.99 | 9.6 |
| Sensor | Configuration 1 (C-1) | Configuration 2 (C-2) | Configuration 3 (C-3) | ||||||
|---|---|---|---|---|---|---|---|---|---|
| Regression | R2 | ACH | Regression | R2 | ACH | Regression | R2 | ACH | |
| Sensor 1 | y = −19.547x − 0.0038 | 0.94 | 19.5 | y = −9.2905x + 0.1220 | 0.97 | 9.3 | y = −5.9718x + 0.0009 | 0.98 | 6.0 |
| Sensor 2 | y = −10.564x − 0.015 | 0.99 | 10.6 | y = −7.6267x + 0.1165 | 0.97 | 7.6 | y = −5.9458x + 0.0431 | 0.99 | 5.9 |
| Sensor 3 | y = −18.071x − 0.0384 | 0.96 | 18.1 | y = −10.101x + 0.0051 | 0.97 | 10.1 | y = −5.3937x − 0.0211 | 0.99 | 5.4 |
| Sensor 4 | y = −13.097x + 0.0481 | 0.99 | 13.1 | y = −8.4722x + 0.1049 | 0.96 | 8.5 | y = −5.5117x − 0.0074 | 0.99 | 5.5 |
| Sensor 5 | y = −12.97x + 0.0908 | 0.98 | 13.0 | y = −7.3876x + 0.1053 | 0.97 | 7.4 | y = −5.7052x + 0.0387 | 0.99 | 5.7 |
| Sensor 6 | y = −16.88x − 0.0424 | 0.97 | 16.9 | y = −10.316x + 0.0732 | 0.98 | 10.3 | y = −7.0921x − 0.0266 | 0.99 | 7.1 |
| Sensor 7 | y = −17.514x + 0.1204 | 0.97 | 17.5 | y = −8.3386x + 0.0169 | 0.98 | 8.3 | y = −7.0636x + 0.0025 | 0.98 | 7.1 |
References
- Sarbu, I.; Sebarchievici, C. Aspects of indoor environmental quality assessment in buildings. Energy Build. 2013, 60, 410–419. [Google Scholar] [CrossRef]
- Lamb, S.; Kwok, K.C. A longitudinal investigation of work environment stressors on the performance and wellbeing of office workers. Appl. Ergon. 2016, 52, 104–111. [Google Scholar] [CrossRef]
- Andargie, M.S.; Azar, E. An applied framework to evaluate the impact of indoor office environmental factors on occupants’ comfort and working conditions. Sustain. Cities Soc. 2019, 46, 101447. [Google Scholar] [CrossRef]
- Al-Ali, D.; Kamoona, G.M.I. Effectiveness of Nanomaterial in the Roof of the Building to Achieve Energy Conservation for Indoor Environment of the Building. J. Eng. 2021, 27, 126–148. [Google Scholar] [CrossRef]
- Liu, J.; Yang, X.; Jiang, Q.; Qiu, J.; Liu, Y. Occupants’ thermal comfort and perceived air quality in natural ventilated classrooms during cold days. Build. Environ. 2019, 158, 73–82. [Google Scholar] [CrossRef]
- Almeida, R.M.; Pinto, M.; Pinho, P.G.; de Lemos, L.T. Natural ventilation and indoor air quality in educational buildings: Experimental assessment and improvement strategies. Energ. Effic. 2017, 10, 839–854. [Google Scholar] [CrossRef] [Green Version]
- Annesi-Maesano, I.; Baiz, N.; Banerjee, S.; Rudnai, P.; Rive, S.; Group, S. Indoor air quality and sources in schools and related health effects. J. Toxicol. Environ. Health B 2013, 16, 491–550. [Google Scholar] [CrossRef]
- Ye, W.; Zhang, X.; Gao, J.; Cao, G.; Zhou, X.; Su, X. Indoor air pollutants, ventilation rate determinants and potential control strategies in Chinese dwellings: A literature review. Sci. Total Environ. 2017, 586, 696–729. [Google Scholar] [CrossRef]
- Simoni, M.; Annesi-Maesano, I.; Sigsgaard, T.; Norback, D.; Wieslander, G.; Nystad, W.; Canciani, M.; Sestini, P.; Viegi, G. School air quality related to dry cough, rhinitis and nasal patency in children. Eur. Respir. J. 2010, 35, 742–749. [Google Scholar] [CrossRef] [PubMed]
- Mentese, S.; Mirici, N.A.; Elbir, T.; Palaz, E.; Mumcuoğlu, D.T.; Cotuker, O.; Bakar, C.; Oymak, S.; Otkun, M.T. A long-term multi-parametric monitoring study: Indoor air quality (IAQ) and the sources of the pollutants, prevalence of sick building syndrome (SBS) symptoms, and respiratory health indicators. Atmos. Pollut. Res. 2020, 11, 2270–2281. [Google Scholar] [CrossRef]
- Brook, R.D.; Rajagopalan, S.; Pope III, C.A.; Brook, J.R.; Bhatnagar, A.; Diez-Roux, A.V.; Holguin, F.; Hong, Y.; Luepker, R.V.; Mittleman, M.A. Particulate matter air pollution and cardiovascular disease: An update to the scientific statement from the American Heart Association. Circulation 2010, 121, 2331–2378. [Google Scholar] [CrossRef] [Green Version]
- Kamaruzzaman, S.; Sabrani, N. The effect of indoor air quality (IAQ) towards occupants’ psychological performance in office buildings. J. Des. Built 2011, 4, 49–61. [Google Scholar]
- Haverinen-Shaughnessy, U.; Shaughnessy, R.J.; Cole, E.C.; Toyinbo, O.; Moschandreas, D.J. An assessment of indoor environmental quality in schools and its association with health and performance. Build. Environ. 2015, 93, 35–40. [Google Scholar] [CrossRef]
- Toyinbo, O.; Shaughnessy, R.; Turunen, M.; Putus, T.; Metsämuuronen, J.; Kurnitski, J.; Haverinen-Shaughnessy, U. Building characteristics, indoor environmental quality, and mathematics achievement in Finnish elementary schools. Build. Environ. 2016, 104, 114–121. [Google Scholar] [CrossRef]
- Qabbal, L.; Younsi, Z.; Naji, H. An indoor air quality and thermal comfort appraisal in a retrofitted university building via low-cost smart sensor. Indoor Built Environ. 2021. [Google Scholar] [CrossRef]
- Batterman, S. Review and extension of CO2-based methods to determine ventilation rates with application to school classrooms. Int. J. Environ. Res. Public Health 2017, 14, 145. [Google Scholar] [CrossRef] [PubMed]
- Persily, A. Challenges in developing ventilation and indoor air quality standards: The story of ASHRAE Standard 62. Build. Environ. 2015, 91, 61–69. [Google Scholar] [CrossRef]
- Batterman, S.; Su, F.C.; Wald, A.; Watkins, F.; Godwin, C.; Thun, G. Ventilation rates in recently constructed US school classrooms. Indoor Air 2017, 27, 880–890. [Google Scholar] [CrossRef]
- ASHRAE. ANSI/ASHRAE Standard 62.1-2016 Ventilation for Acceptable Indoor Air Quality; ASHRAE: Atlanta, GA, USA, 2016. [Google Scholar]
- ASHRAE. ANSI/ASHRAE Standard 62.2-2016 Ventilation for Acceptable Indoor Air Quality in Residential Buildings; ASHRAE: Atlanta, GA, USA, 2016. [Google Scholar]
- Brelih, N.; Seppänen, O. Ventilation rates and IAQ in European standards and national regulations. In Proceedings of the 32nd AIVC Conference and 1st TightVent Conference in Brussels, Brussels, Belgium, 12–13 October 2011; pp. 12–13. [Google Scholar]
- British Standards Institution (BSI). BSI/BS EN 15242:2007 Ventilation for Buildings: Calculation Methods for the Determination of Air Flow Rates in Buildings Including Infiltration; BSI: London, UK, 2008. [Google Scholar]
- Mendell, M.J.; Eliseeva, E.A.; Davies, M.M.; Spears, M.; Lobscheid, A.; Fisk, W.J.; Apte, M.G. Association of classroom ventilation with reduced illness absence: A prospective study in C alifornia elementary schools. Indoor Air 2013, 23, 515–528. [Google Scholar] [CrossRef] [Green Version]
- World Health Organization (WHO). WHO Coronavirus (COVID) Dashboard. 2020. Available online: https://covid19.who.int/ (accessed on 10 September 2021).
- Ministerio de Sanidad Gobierno de España. Sanidad. Available online: https://www.mscbs.gob.es/profesionales/saludPublica/ccayes/alertasActual/nCov/ciudadania.htm (accessed on 1 July 2021).
- Ministerio de Sanidad Gobierno de España. Sanidad. Evaluación del Riesgo de la Transmisión de SARS-CoV-2 Mediante Aerosoles Medidas de Prevención y Recomendaciones. Available online: https://www.mscbs.gob.es/profesionales/saludPublica/ccayes/alertasActual/nCov/documentos/COVID19_Aerosoles.pdf (accessed on 1 July 2021).
- Nishiura, H.; Oshitani, H.; Kobayashi, T.; Saito, T.; Sunagawa, T.; Matsui, T.; Wakita, T.; COVID, M.; Team, R.; Suzuki, M. Closed environments facilitate secondary transmission of coronavirus disease 2019 (COVID-19). medRxiv 2020. [Google Scholar] [CrossRef] [Green Version]
- Park, S.; Choi, Y.; Song, D.; Kim, E.K. Natural ventilation strategy and related issues to prevent coronavirus disease 2019 (COVID-19) airborne transmission in a school building. Sci. Total Environ. 2021, 789, 147764. [Google Scholar] [CrossRef]
- Dai, H.; Zhao, B. Association of the infection probability of COVID-19 with ventilation rates in confined spaces. Build. Simul. 2020, 13, 1321–1327. [Google Scholar] [CrossRef]
- Zivelonghi, A.; Lai, M. The role of classroom volume, occupancy, voice reduction and ffp2 masks in transmission risk of SARS-CoV2 in schools. medRxiv 2021. [Google Scholar] [CrossRef]
- UNESCO. Education: From Disruption to Recovery. Available online: https://en.unesco.org/covid19/educationresponse (accessed on 1 July 2021).
- Field, C.D.; Digerness, J. Acoustic design criteria for naturally ventilated buildings. J. Acoust. Soc. Am. 2008, 123, 3814. [Google Scholar] [CrossRef]
- Torresin, S.; Albatici, R.; Aletta, F.; Babich, F.; Oberman, T.; Kang, J. Acoustic design criteria in naturally ventilated residential buildings: New research perspectives by applying the indoor soundscape approach. Appl. Sci. 2019, 9, 5401. [Google Scholar] [CrossRef] [Green Version]
- Erçakmak, U.B.; Dökmeci Yörükoğlu, P.N. Comparing Turkish and European noise management and soundscape policies: A proposal of indoor soundscape integration to architectural design and application. In Acoustics; Multidisciplinary Digital Publishing Institute: Basel, Switzerland, 2019; pp. 847–865. [Google Scholar]
- Torresin, S.; Aletta, F.; Babich, F.; Bourdeau, E.; Harvie-Clark, J.; Kang, J.; Lavia, L.; Radicchi, A.; Albatici, R. Acoustics for supportive and healthy buildings: Emerging themes on indoor soundscape research. Sustainability 2020, 12, 6054. [Google Scholar] [CrossRef]
- Altomonte, S.; Allen, J.; Bluyssen, P.M.; Brager, G.; Heschong, L.; Loder, A.; Schiavon, S.; Veitch, J.A.; Wang, L.; Wargocki, P. Ten questions concerning well-being in the built environment. Build. Environ. 2020, 180, 106949. [Google Scholar] [CrossRef]
- Tang, S.-K. A review on natural ventilation-enabling façade noise control devices for congested high-rise cities. Appl. Sci. 2017, 7, 175. [Google Scholar] [CrossRef] [Green Version]
- Fusaro, G.; Yu, X.; Kang, J.; Cui, F. Development of metacage for noise control and natural ventilation in a window system. Appl. Acoust. 2020, 170, 107510. [Google Scholar] [CrossRef]
- Fusaro, G.; Yu, X.; Lu, Z.; Cui, F.; Kang, J. A metawindow with optimised acoustic and ventilation performance. Appl. Sci. 2021, 11, 3168. [Google Scholar] [CrossRef]
- Shield, B.M.; Dockrell, J.E. The effects of noise on children at school: A review. Build. Acoust. 2003, 10, 97–116. [Google Scholar] [CrossRef]
- Shield, B.M.; Dockrell, J.E. The effects of environmental and classroom noise on the academic attainments of primary school children. J. Acoust. Soc. Am. 2008, 123, 133–144. [Google Scholar] [CrossRef] [Green Version]
- Crandell, C.C.; Smaldino, J.J. Classroom acoustics for children with normal hearing and with hearing impairment. Lang. Speech. Hear. Serv. Sch. 2000, 31, 362–370. [Google Scholar] [CrossRef] [Green Version]
- Kristiansen, J.; Persson, R.; Lund, S.P.; Shibuya, H.; Nielsen, P.M. Effects of classroom acoustics and self-reported noise exposure on teachers’ well-being. Environ. Behav. 2013, 45, 283–300. [Google Scholar] [CrossRef]
- Krüger, E.L.; Zannin, P.H. Acoustic, thermal and luminous comfort in classrooms. Build. Environ. 2004, 39, 1055–1063. [Google Scholar] [CrossRef]
- Klatte, M.; Hellbrück, J.; Seidel, J.; Leistner, P. Effects of classroom acoustics on performance and well-being in elementary school children: A field study. Environ. Behav. 2010, 42, 659–692. [Google Scholar] [CrossRef] [Green Version]
- Berglund, B.; Lindvall, T.; Schwela, D.H.; World Health Organization. Guidelines for Community Noise; World Health Organization: Geneva, Switzerland, 1999. [Google Scholar]
- American National Standards Institute (ANSI); Acoustical Society of America (ASA). ANSI/ASA S12.60-2010/Part 1 American National Standard Acoustical Performance Criteria, Design Requirements, and Guidelines for Schools, Part 1: Permanent Schools; Acoustical Society of America: Melville, NY, USA, 2010. [Google Scholar]
- DB-HE. Documento Básico Ahorro de Energia. 2019. Available online: https://www.codigotecnico.org/DocumentosCTE/AhorroEnergia.html (accessed on 1 July 2021).
- UGR. Plan de Contingencia. Plan de Actuación COVID-19. 2020. Available online: https://covid19.ugr.es/informacion/plan-contingencia (accessed on 1 July 2021).
- Huang, Q.; Marzouk, T.; Cirligeanu, R.; Malmstrom, H.; Eliav, E.; Ren, Y.-F. Ventilation Assessment by Carbon Dioxide Levels in Dental Treatment Rooms. J. Dent. Res. 2021, 100, 810–816. [Google Scholar] [CrossRef] [PubMed]
- Allen, J.; Spengler, J.; Jones, E.; Cedeno-Laurent, J. 5-Step Guide to Checking Ventilation Rates in Classrooms. Healthy Buildings. Harvard Healthy Buildings Program. 2020. Available online: https://schools.forhealth.org/ventilation-guide/ (accessed on 1 July 2021).
- Instituto de Diagnóstico Ambiental y Estudios del Agua, IDAEA-CSIC, Mesura. Guía Para Ventilación en Aulas. 2020. Available online: https://digital.csic.es/bitstream/10261/221538/14/guia_ventilacion_aulas_CSIC-Mesura_v4.pdf (accessed on 1 July 2021).
- Asociación Española de Normalización (UNE-ISO). UNE-ISO 1996-2:2020. Acoustics. Description, Measurement and Assessment of Environmental Noise. Part 2: Determination of Sound Pressure Levels; Asociación Española de Normalización (UNE-ISO): Madrid, Spain, 2020. [Google Scholar]
- Puglisi, G.E.; Astolfi, A.; Cantor Cutiva, L.; Carullo, A. Assessment of indoor ambient noise level in school classrooms. In Proceedings of the Conference on Noise Control–EuroNoise, Maastricht, The Netherlands, 31 May–3 June 2015. [Google Scholar]
- Calosso, G.; Puglisi, G.E.; Astolfi, A.; Castellana, A.; Carullo, A.; Pellerey, F. A one-school year longitudinal study of secondary school teachers’ voice parameters and the influence of classroom acoustics. J. Acoust. Soc. Am. 2017, 142, 1055–1066. [Google Scholar] [CrossRef] [PubMed]
- Wen, X.; Lu, G.; Lv, K.; Jin, M.; Shi, X.; Lu, F.; Zhao, D. Impacts of traffic noise on roadside secondary schools in a prototype large Chinese city. Appl. Acoust. 2019, 151, 153–163. [Google Scholar] [CrossRef]














| Building | Id Class | Area [m2] | Volume [m3] | Orientation | Occupation Pre-Covid-19 [Seats] | Occupation Ratio [m2/Student] | Occupation Covid-19 [Seats] | Occupation Ratio [m2/Student] |
|---|---|---|---|---|---|---|---|---|
| Building 1 (ETSIE) | B1-A1 | 175 | 524 | East | 96 | 1.82 | 48 | 3.27 |
| B1-A2 | 167 | 500 | West | 61 | 2.73 | 35 | 4.77 | |
| Building 2 (ETSICCP) | B2-A1 | 172 | 518 | North | 156 | 1.10 | 78 | 2.20 |
| B2-A2 | 174 | 522 | South | 156 | 1.12 | 78 | 2.24 |
| Classroom | Configuration | Doors and Windows Opening Combinations |
|---|---|---|
| B1-A1 | C-1 | All windows opened and main door opened. |
| C-2 | End windows opened and main door opened. | |
| C-3 | Only windows at the end in west façade opened, the centre windows in east façade opened (“Y” configuration) and the main door opened. | |
| B1-A2 | C-1 | All windows opened, main door opened and the corridor windows opened. |
| C-2 | All windows opened, main door opened and the corridor windows closed. | |
| C-3 | Only the windows at the end opened and main door opened, and the corridor windows opened. | |
| B2-A1 | C-1 | All windows opened and two doors opened. |
| C-2 | All windows opened and main door opened. | |
| C-3 | Only windows at the end opened and main door opened. | |
| B2-A2 | C-1 | All windows opened and the two doors opened. |
| C-2 | All windows opened and the main door opened. | |
| C-3 | Only windows at the end and the main door opened. |
Publisher’s Note: MDPI stays neutral with regard to jurisdictional claims in published maps and institutional affiliations. |
© 2021 by the authors. Licensee MDPI, Basel, Switzerland. This article is an open access article distributed under the terms and conditions of the Creative Commons Attribution (CC BY) license (https://creativecommons.org/licenses/by/4.0/).
Share and Cite
de la Hoz-Torres, M.L.; Aguilar, A.J.; Ruiz, D.P.; Martínez-Aires, M.D. Analysis of Impact of Natural Ventilation Strategies in Ventilation Rates and Indoor Environmental Acoustics Using Sensor Measurement Data in Educational Buildings. Sensors 2021, 21, 6122. https://doi.org/10.3390/s21186122
de la Hoz-Torres ML, Aguilar AJ, Ruiz DP, Martínez-Aires MD. Analysis of Impact of Natural Ventilation Strategies in Ventilation Rates and Indoor Environmental Acoustics Using Sensor Measurement Data in Educational Buildings. Sensors. 2021; 21(18):6122. https://doi.org/10.3390/s21186122
Chicago/Turabian Stylede la Hoz-Torres, María L., Antonio J. Aguilar, Diego P. Ruiz, and María Dolores Martínez-Aires. 2021. "Analysis of Impact of Natural Ventilation Strategies in Ventilation Rates and Indoor Environmental Acoustics Using Sensor Measurement Data in Educational Buildings" Sensors 21, no. 18: 6122. https://doi.org/10.3390/s21186122
APA Stylede la Hoz-Torres, M. L., Aguilar, A. J., Ruiz, D. P., & Martínez-Aires, M. D. (2021). Analysis of Impact of Natural Ventilation Strategies in Ventilation Rates and Indoor Environmental Acoustics Using Sensor Measurement Data in Educational Buildings. Sensors, 21(18), 6122. https://doi.org/10.3390/s21186122

