Phase Noise of SAW Delay Line Magnetic Field Sensors
Abstract
1. Introduction
2. SAW Sensor
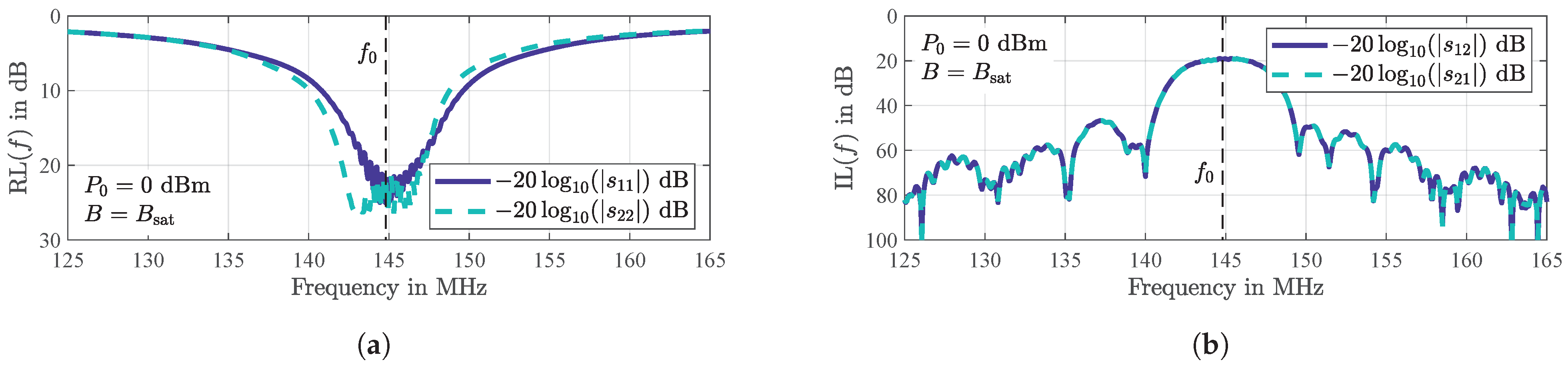
2.1. Electrical Properties
2.2. Magnetic Properties
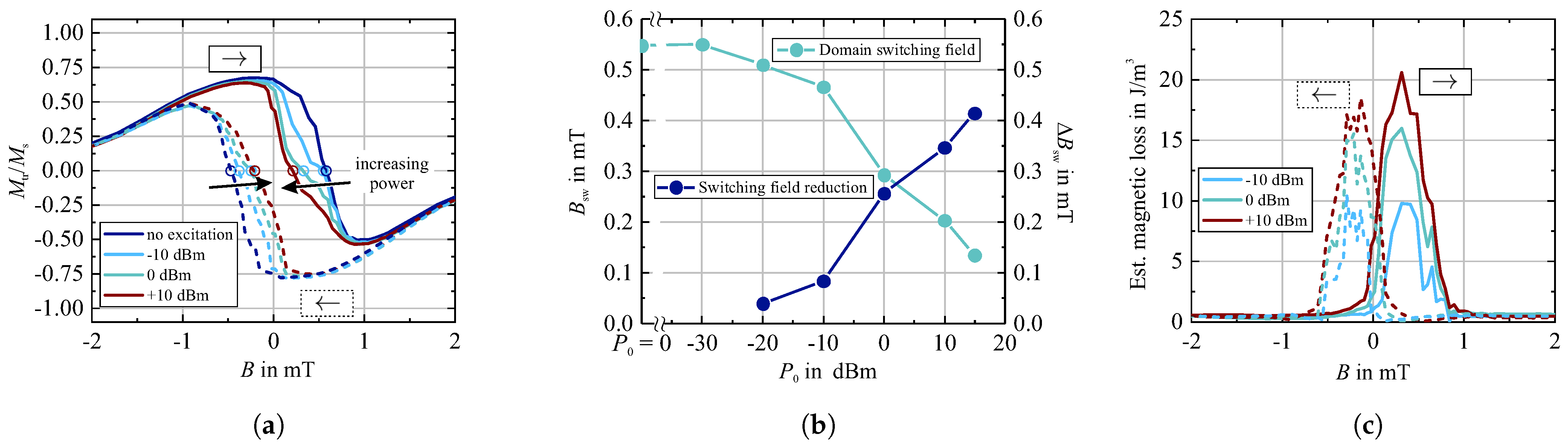
2.3. Electrically Induced Changes of the Magnetization Behavior
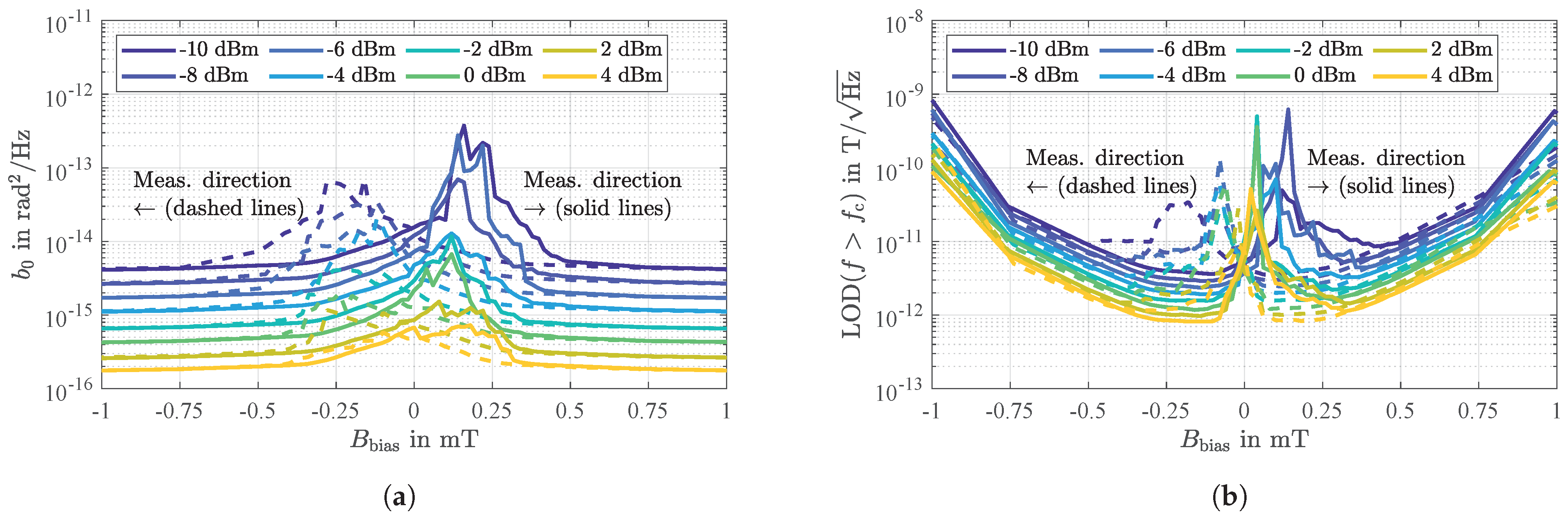
2.4. Magnetically Induced Changes of the Electrical Properties
2.5. Sensor Operation
2.6. Noise
- (1)
- white phase noise and
- (2)
- flicker phase noise
- (3)
- white phase noise,
- (4)
- flicker phase noise, and
- (5)
- random walk of phase
3. Phase Noise in Magnetic Saturation
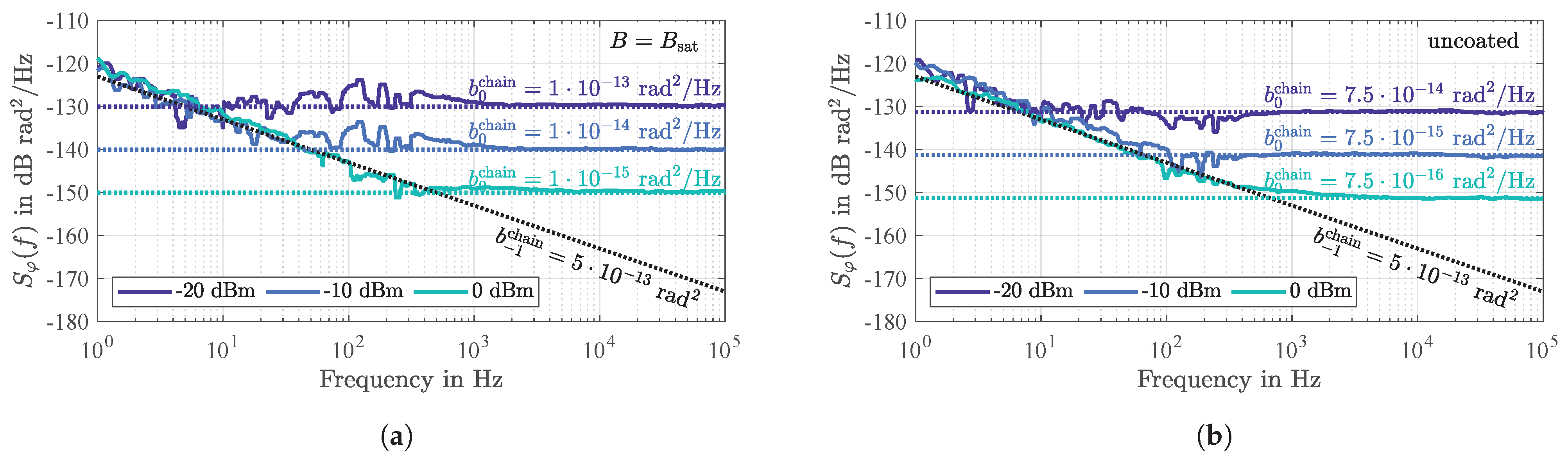
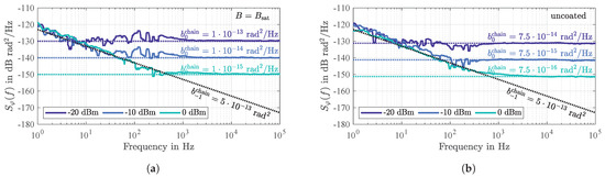
3.1. White Phase Noise
3.2. Flicker Phase Noise
4. Phase Noise in Magnetic Operating Points
4.1. Measurement Setup
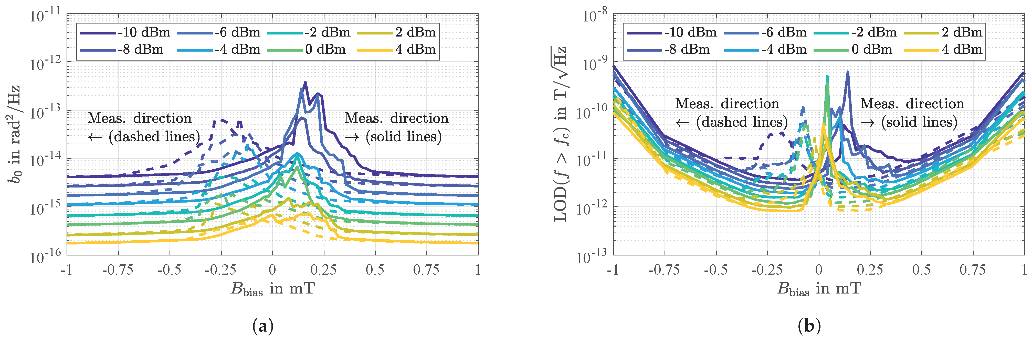
4.2. White Phase Noise
4.3. Flicker Phase Noise
4.4. Random Walk of Phase
5. Conclusions
Author Contributions
Funding
Institutional Review Board Statement
Informed Consent Statement
Data Availability Statement
Acknowledgments
Conflicts of Interest
References
- White, R.M.; Voltmer, F.W. Direct Piezoelectric Coupling to Surface Elastic Waves. Appl. Phys. Lett. 1965, 7, 314–316. [Google Scholar] [CrossRef]
- Ruppel, C.; Dill, R.; Fischerauer, A.; Fischerauer, G.; Gawlik, W.; Machui, J.; Müller, F.; Reindl, L.; Ruile, W.; Scholl, G.; et al. SAW Devices for Consumer Communication Applications. IEEE Trans. Ultrason. Ferroelectr. Freq. Control 1993, 40, 438–452. [Google Scholar] [CrossRef]
- White, R.M. Surface Acoustic Wave Sensors. In Proceedings of the 1985 IEEE Ultrasonics Symposium, San Francisco, CA, USA, 16–18 October 1985; pp. 490–494. [Google Scholar] [CrossRef]
- Liu, B.; Chen, X.; Cai, H.; Mohammad Ali, M.; Tian, X.; Tao, L.; Yang, Y.; Ren, T. Surface acoustic wave devices for sensor applications. J. Semicond. 2016, 37, 021001. [Google Scholar] [CrossRef]
- Fischerauer, G.; Mauder, A.; Müller, R. Acoustic Wave Devices. In Sensors Set; Wiley-VCH: Weinheim, Germany, 2008; pp. 135–180. [Google Scholar] [CrossRef]
- Yang, Y.; Mishra, H.; Han, T.; Hage-Ali, S.; Hehn, M.; Elmazria, O. Sensing Mechanism of Surface Acoustic Wave Magnetic Field Sensors Based on Ferromagnetic Films. IEEE Trans. Ultrason. Ferroelectr. Freq. Control 2021, 68, 2566–2575. [Google Scholar] [CrossRef] [PubMed]
- Smole, P.; Ruile, W.; Korden, C.; Ludwig, A.; Quandt, E.; Krassnitzer, S.; Pongratz, P. Magnetically tunable SAW-resonator. In Proceedings of the 2003 IEEE International Frequency Control Symposium and PDA Exhibition Jointly with the 17th European Frequency and Time Forum, Tampa, FL, USA, 4–8 May 2003; Number 2. pp. 903–906. [Google Scholar] [CrossRef]
- Ganguly, A.; Davis, K.; Webb, D.; Vittoria, C.; Forester, D. Magnetically tuned surface-acoustic-wave phase shifter. Electron. Lett. 1975, 11, 610. [Google Scholar] [CrossRef]
- Forester, D.W.; Vittoria, C.; Webb, D.C.; Davis, K.L. Variable delay lines using magnetostrictive metallic glass film overlays. J. Appl. Phys. 1978, 49, 1794–1796. [Google Scholar] [CrossRef]
- Robbins, W.P.; Simpson, E.U. Surface Acoustic Wave Properties of RF Sputtered Nickel Films on Lithium Niobate. In Proceedings of the 1978 Ultrasonics Symposium, Cherry Hill, NJ, USA, 25–27 September 1978; pp. 658–661. [Google Scholar] [CrossRef]
- Webb, D.; Forester, D.; Ganguly, A.; Vittoria, C. Applications of amorphous magnetic-layers in surface-acoustic-wave devices. IEEE Trans. Magn. 1979, 15, 1410–1415. [Google Scholar] [CrossRef]
- Yamaguchi, M.; Hashimoto, K.; Kogo, H.; Naoe, M. Variable SAW delay line using amorphous TbFe2 film. IEEE Trans. Magn. 1980, 16, 916–918. [Google Scholar] [CrossRef]
- Hashimoto, K.; Yamaguchi, M.; Kogo, H.; Naoe, M. Magnetostrictive properties of sputtered Co-Cr film on surface acoustic wave. IEEE Trans. Magn. 1981, 17, 3181–3183. [Google Scholar] [CrossRef]
- Altan, B.; Robbins, W. Tunable ZnO-Si SAW Devices Using Magnetostrictive Thin Films. In Proceedings of the 1981 IEEE Ultrasonics Symposium, Chicago, IL, USA, 14–16 October 1981; pp. 311–314. [Google Scholar] [CrossRef]
- Hietala, A.; Robbins, W. Properties of Sputtered Tb-Fe for Tunable SAW Device Applications. In Proceedings of the 1982 Ultrasonics Symposium, San Diego, CA, USA, 27–29 October 1982; pp. 354–358. [Google Scholar] [CrossRef]
- Koeninger, V.; Matsumura, Y.; Uchida, H.; Uchida, H. Surface acoustic waves on thin films of giant magnetostrictive alloys. J. Alloys Compd. 1994, 211–212, 581–584. [Google Scholar] [CrossRef]
- Li, W.; Dhagat, P.; Jander, A. Surface Acoustic Wave Magnetic Sensor using Galfenol Thin Film. IEEE Trans. Magn. 2012, 48, 4100–4102. [Google Scholar] [CrossRef]
- Zhou, H.; Talbi, A.; Tiercelin, N.; Bou Matar, O. Multilayer magnetostrictive structure based surface acoustic wave devices. Appl. Phys. Lett. 2014, 104, 114101. [Google Scholar] [CrossRef]
- Elhosni, M.; Petit-Watelot, S.; Hehn, M.; Hage-Ali, S.; Aissa, K.A.; Lacour, D.; Talbi, A.; Elmazria, O. Experimental Study of Multilayer Piezo-magnetic SAW Delay Line for Magnetic Sensor. Procedia Eng. 2015, 120, 870–873. [Google Scholar] [CrossRef][Green Version]
- Yokokawa, N.; Tanaka, S.; Fujii, T.; Inoue, M. Love-type surface-acoustic waves propagating in amorphous iron-boron films with multilayer structure. J. Appl. Phys. 1992, 72, 360–366. [Google Scholar] [CrossRef]
- Hanna, S. Magnetic Field Sensors Based on SAW Propagation in Magnetic Films. IEEE Trans. Ultrason. Ferroelectr. Freq. Control 1987, 34, 191–194. [Google Scholar] [CrossRef] [PubMed]
- Mazzamurro, A.; Talbi, A.; Dusch, Y.; Elmazria, O.; Pernod, P.; Matar, O.B.; Tiercelin, N. Highly Sensitive Surface Acoustic Wave Magnetic Field Sensor Using Multilayered TbCo2/FeCo Thin Film. Proceedings 2018, 2, 902. [Google Scholar] [CrossRef]
- Wang, W.; Jia, Y.; Xue, X.; Liang, Y. Magnetostrictive effect in micro-dotted FeCo film coated surface acoustic wave devices. Smart Mater. Struct. 2018, 27, 105040. [Google Scholar] [CrossRef]
- Kittmann, A.; Müller, C.; Durdaut, P.; Thormählen, L.; Schell, V.; Niekiel, F.; Lofink, F.; Meyners, D.; Knöchel, R.; Höft, M.; et al. Sensitivity and Noise Analysis of SAW Magnetic Field Sensors with varied Magnetostrictive Layer Thicknesses. Sens. Actuators A Phys. 2020, 311, 1–8. [Google Scholar] [CrossRef]
- Mazzamurro, A.; Dusch, Y.; Pernod, P.; Bou Matar, O.; Addad, A.; Talbi, A.; Tiercelin, N. Giant Magnetoelastic Coupling in a Love Acoustic Waveguide Based on TbCo2/FeCo Nanostructured Film on ST-Cut Quartz. Phys. Rev. Appl. 2020, 13, 044001. [Google Scholar] [CrossRef]
- Liu, X.; Tong, B.; Ou-Yang, J.; Yang, X.; Chen, S.; Zhang, Y.; Zhu, B. Self-biased vector magnetic sensor based on a Love-type surface acoustic wave resonator. Appl. Phys. Lett. 2018, 113, 082402. [Google Scholar] [CrossRef]
- Mishra, H.; Streque, J.; Hehn, M.; Mengue, P.; M’Jahed, H.; Lacour, D.; Dumesnil, K.; Petit-Watelot, S.; Zhgoon, S.; Polewczyk, V.; et al. Temperature compensated magnetic field sensor based on love waves. Smart Mater. Struct. 2020, 29, 045036. [Google Scholar] [CrossRef]
- Yang, Y.; Mishra, H.; Mengue, P.; Hage-Ali, S.; Petit-Watelot, S.; Lacour, D.; Hehn, M.; MrJahed, H.; Han, T.; Elmazria, O. Enhanced Performance Love Wave Magnetic Field Sensors with Temperature Compensation. IEEE Sens. J. 2020, 20, 11292–11301. [Google Scholar] [CrossRef]
- Schell, V.; Müller, C.; Durdaut, P.; Kittmann, A.; Thormählen, L.; Lofink, F.; Meyners, D.; Höft, M.; McCord, J.; Quandt, E. Magnetic anisotropy controlled FeCoSiB thin films for surface acoustic wave magnetic field sensors. Appl. Phys. Lett. 2020, 116, 073503. [Google Scholar] [CrossRef]
- Dauber, J.; Sagade, A.A.; Oellers, M.; Watanabe, K.; Taniguchi, T.; Neumaier, D.; Stampfer, C. Ultra-sensitive Hall sensors based on graphene encapsulated in hexagonal boron nitride. Appl. Phys. Lett. 2015, 106, 193501. [Google Scholar] [CrossRef]
- Zimmermann, E.; Verweerd, A.; Glaas, W.; Tillmann, A.; Kemna, A. An AMR sensor-based measurement system for magnetoelectrical resistivity tomography. IEEE Sens. J. 2005, 5, 233–241. [Google Scholar] [CrossRef]
- Stutzke, N.A.; Russek, S.E.; Pappas, D.P.; Tondra, M. Low-frequency noise measurements on commercial magnetoresistive magnetic field sensors. J. Appl. Phys. 2005, 97, 10Q107. [Google Scholar] [CrossRef]
- Dufay, B.; Saez, S.; Dolabdjian, C.P.; Yelon, A.; Menard, D. Characterization of an optimized off-diagonal GMI-based magnetometer. IEEE Sens. J. 2013, 13, 379–388. [Google Scholar] [CrossRef]
- Ripka, P. Advances in fluxgate sensors. Sens. Actuators A Phys. 2003, 106, 8–14. [Google Scholar] [CrossRef]
- Durdaut, P.; Kittmann, A.; Rubiola, E.; Friedt, J.M.; Quandt, E.; Knöchel, R.; Höft, M. Noise Analysis and Comparison of Phase- and Frequency-Detecting Readout Systems: Application to SAW Delay Line Magnetic Field Sensor. IEEE Sens. J. 2019, 19, 8000–8008. [Google Scholar] [CrossRef]
- Urs, N.O.; Golubeva, E.; Röbisch, V.; Toxvaerd, S.; Deldar, S.; Knöchel, R.; Höft, M.; Quandt, E.; Meyners, D.; McCord, J. Direct Link between Specific Magnetic Domain Activities and Magnetic Noise in Modulated Magnetoelectric Sensors. Phys. Rev. Appl. 2020, 13, 024018. [Google Scholar] [CrossRef]
- Kittmann, A.; Durdaut, P.; Zabel, S.; Reermann, J.; Schmalz, J.; Spetzler, B.; Meyners, D.; Sun, N.X.; McCord, J.; Gerken, M.; et al. Wide Band Low Noise Love Wave Magnetic Field Sensor System. Sci. Rep. 2018, 8, 278–287. [Google Scholar] [CrossRef]
- Besser, L.; Gilmore, R. Practical RF Circuit Design for Modern Wireless Systems; Artech House: Boston, MA, USA, 2003. [Google Scholar]
- Du, J.; Harding, G.; Ogilvy, J.; Dencher, P.; Lake, M. A study of Love-wave acoustic sensors. Sens. Actuators A Phys. 1996, 56, 211–219. [Google Scholar] [CrossRef]
- McCord, J. Progress in magnetic domain observation by advanced magneto-optical microscopy. J. Phys. D Appl. Phys. 2015, 48, 333001. [Google Scholar] [CrossRef]
- Urs, N.O.; Mozooni, B.; Mazalski, P.; Kustov, M.; Hayes, P.; Deldar, S.; Quandt, E.; McCord, J. Advanced magneto-optical microscopy: Imaging from picoseconds to centimeters - imaging spin waves and temperature distributions (invited). AIP Adv. 2016, 6, 055605. [Google Scholar] [CrossRef]
- Glasmachers, S.; Frommberger, M.; McCord, J.; Quandt, E. Influence of strain on the high-frequency magnetic properties of FeCoBSi thin films. Phys. Status Solidi A 2004, 201, 3319–3324. [Google Scholar] [CrossRef]
- Schneider, C.A.; Rasband, W.S.; Eliceiri, K.W. NIH Image to ImageJ: 25 years of image analysis. Nat. Methods 2012, 9, 671–675. [Google Scholar] [CrossRef]
- McCord, J.; Schäfer, R.; Mattheis, R.; Barholz, K.U. Kerr observations of asymmetric magnetization reversal processes in CoFe/IrMn bilayer systems. J. Appl. Phys. 2003, 93, 5491–5497. [Google Scholar] [CrossRef]
- Durdaut, P.; Wolframm, H.; Höft, M. Low-Frequency Magnetic Noise in Statically-Driven Solenoid for Biasing Magnetic Field Sensors. arXiv 2020, arXiv:2006.08515. [Google Scholar]
- Durdaut, P.; Höft, M.; Friedt, J.M.; Rubiola, E. Equivalence of Open-Loop and Closed-Loop Operation of SAW Resonators and Delay Lines. Sensors 2019, 19, 185. [Google Scholar] [CrossRef] [PubMed]
- Labrenz, J.; Bahr, A.; Durdaut, P.; Höft, M.; Kittmann, A.; Schell, V.; Quandt, E. Frequency Response of SAW Delay Line Magnetic Field/Current Sensor. IEEE Sens. Lett. 2019, 3, 1–4. [Google Scholar] [CrossRef]
- Rubiola, E. Phase Noise and Frequency Stability in Oscillators; Cambridge University Press: Cambridge, UK, 2009. [Google Scholar]
- IEEE Standard Definitions of Physical Quantities for Fundamental Frequency and Time Metrology—Random Instabilities. IEEE Stand. 2009, 1139, 1999. [CrossRef]
- Boudot, R.; Rubiola, E. Phase Noise in RF and Microwave Amplifiers. IEEE Trans. Ultrason. Ferroelectr. Freq. Control 2012, 59, 2613–2624. [Google Scholar] [CrossRef] [PubMed]
- Sears, F.W.; Salinger, G.L. Thermodynamics, Kinetic Theory, and Statistical Thermodynamics, 3rd ed.; Addison-Wesley Publishing Company: Reading, MA, USA, 1975. [Google Scholar]
- Durdaut, P. Ausleseverfahren und Rauschmodellierung für magnetoelektrische und magnetoelastische Sensorsysteme; Shaker: Aachen, Germany, 2020. [Google Scholar]
- Pozar, D.M. Microwave Engineering, 4th ed.; Wiley: Hoboken, NJ, USA, 2012. [Google Scholar]
- Yao, D.; Sullivan, C.R. Effect of Capacitance on Eddy-Current loss in Multi-Layer Magnetic Films for MHz Magnetic Components. In Proceedings of the 2009 IEEE Energy Conversion Congress and Exposition, San Jose, CA, USA, 20–24 September 2009; pp. 1025–1031. [Google Scholar] [CrossRef]
- Villari, E. Ueber die Aenderungen des magnetischen Moments, welche der Zug und das Hindurchleiten eines galvanischen Stroms in einem Stabe von Stahl oder Eisen hervorbringen. Ann. Der Phys. Und Chem. 1865, 202, 87–122. [Google Scholar] [CrossRef]
- Kohmoto, O. Electrical Resistivity of Amorphous Co-Rich FeCo-SiB Alloys. Phys. Status Solidi A 1984, 85, K155–K157. [Google Scholar] [CrossRef]
- Jungerman, R.; Baer, R.; Bray, R. Delay Dependence of Phase Noise in SAW Filters. In Proceedings of the 1985 Ultrasonics Symposium, San Francisco, CA, USA, 16–18 October 1985; pp. 258–261. [Google Scholar] [CrossRef]
- Parker, T.; Andres, D.; Greer, J.; Montress, G. 1/f noise in etched groove surface acoustic wave (SAW) resonators. IEEE Trans. Ultrason. Ferroelectr. Freq. Control 1994, 41, 853–862. [Google Scholar] [CrossRef] [PubMed]
- Enguang, D. Surface-related phase noise in SAW resonators. IEEE Trans. Ultrason. Ferroelectr. Freq. Control 2002, 49, 649–655. [Google Scholar] [CrossRef] [PubMed]
- Parker, T. 1/f Phase Noise in Quartz Delay Lines and Resonators. In Proceedings of the 1979 Ultrasonics Symposium, New Orleans, LA, USA, 26–28 September 1979; pp. 878–881. [Google Scholar] [CrossRef]
- Parker, T. 1/f phase noise in quartz s.a.w. devices. Electron. Lett. 1979, 15, 296. [Google Scholar] [CrossRef]
- Rubiola, E.; Giordano, V. Advanced interferometric phase and amplitude noise measurements. Rev. Sci. Instrum. 2002, 73, 2445–2457. [Google Scholar] [CrossRef]
- Hardner, H.T.; Weissman, M.B.; Salamon, M.B.; Parkin, S.S.P. Fluctuation-dissipation relation for giant magnetoresistive 1/f noise. Phys. Rev. B 1993, 48, 16156–16159. [Google Scholar] [CrossRef]
- van de Veerdonk, R.J.M.; Beliën, P.J.L.; Schep, K.M.; Kools, J.C.S.; de Nooijer, M.C.; Gijs, M.A.M.; Coehoorn, R.; de Jonge, W.J.M. 1/f noise in anisotropic and giant magnetoresistive elements. J. Appl. Phys. 1997, 82, 6152–6164. [Google Scholar] [CrossRef]
- Ingvarsson, S.; Xiao, G.; Parkin, S.S.P.; Gallagher, W.J.; Grinstein, G.; Koch, R.H. Low-Frequency Magnetic Noise in Micron-Scale Magnetic Tunnel Junctions. Phys. Rev. Lett. 2000, 85, 3289–3292. [Google Scholar] [CrossRef]
- Durin, G.; Falferi, P.; Cerdonio, M.; Prodi, G.A.; Vitale, S. Low temperature properties of soft magnetic materials: Magnetic viscosity and 1/ f thermal noise. J. Appl. Phys. 1993, 73, 5363–5365. [Google Scholar] [CrossRef]
- Briaire, J. 1/f Noise in Permalloy. Ph.D. Thesis, Eindhoven University of Technology, Eindhoven, The Netherlands, 2000. [Google Scholar] [CrossRef]
- Lee, S.K.; Romalis, M.V. Calculation of magnetic field noise from high-permeability magnetic shields and conducting objects with simple geometry. J. Appl. Phys. 2008, 103, 084904. [Google Scholar] [CrossRef]
- Fescenko, I.; Jarmola, A.; Savukov, I.; Kehayias, P.; Smits, J.; Damron, J.; Ristoff, N.; Mosavian, N.; Acosta, V.M. Diamond magnetometer enhanced by ferrite flux concentrators. Phys. Rev. Res. 2020, 2, 023394. [Google Scholar] [CrossRef]
- Schmalz, J.; Kittmann, A.; Durdaut, P.; Spetzler, B.; Faupel, F.; Höft, M.; Quandt, E.; Gerken, M. Multi-Mode Love-Wave SAW Magnetic-Field Sensors. Sensors 2020, 20, 3421. [Google Scholar] [CrossRef]
- Boll, R. Soft Magnetic Materials: Fundamentals, Alloys, Properties, Products, Applications, the Vacuumschmelze Handbook; Vacuumschmelze GmbH Hanau, Siemens AG Munich, Heyden & Sons Ltd.: London, UK, 1979. [Google Scholar]
- Ludwig, A.; Tewes, M.; Glasmachers, S.; Löhndorf, M.; Quandt, E. High-frequency magnetoelastic materials for remote-interrogated stress sensors. J. Magn. Magn. Mater. 2002, 242–245, 1126–1131. [Google Scholar] [CrossRef]
- Frommberger, M.; McCord, J.; Quandt, E. High-Frequency Properties of FeCoSiB Thin Films With Crossed Anisotropy. IEEE Trans. Magn. 2004, 40, 2703–2705. [Google Scholar] [CrossRef]
- Gilbert, T. A phenomenological theory of damping in ferromagnetic materials. IEEE Trans. Magn. 2004, 40, 3443–3449. [Google Scholar] [CrossRef]
- Queitsch, U.; McCord, J.; Neudert, A.; Schäfer, R.u.; Schultz, L.; Rott, K.; Brückl, H. Domain wall induced modes of high-frequency response in ferromagnetic elements. J. Appl. Phys. 2006, 100, 093911. [Google Scholar] [CrossRef]
- Mozooni, B.; von Hofe, T.; McCord, J. Picosecond wide-field magneto-optical imaging of magnetization dynamics of amorphous film elements. Phys. Rev. B 2014, 90, 054410. [Google Scholar] [CrossRef]
- Aharoni, A.; Jakubovics, J. Factors affecting domain wall mobility in thin ferromagnetic metal films. Philos. Mag. B 1982, 46, 253–272. [Google Scholar] [CrossRef]
- Frommberger, M.; Ludwig, A.; Zanke, C.; Sehrbrock, A.; Quandt, E. High frequency magnetic properties of FeCoBSi/SiO2 and (FeCo/CoB)/SiO2 multilayer thin films. In Proceedings of the 2003 IEEE International Magnetics Conference, Rome, Italy, 27 July–1 August 2003; p. HD-09. [Google Scholar] [CrossRef]
- Durdaut, P.; Rubiola, E.; Friedt, J.M.; Müller, C.; Spetzler, B.; Kirchhof, C.; Meyners, D.; Quandt, E.; Faupel, F.; McCord, J.; et al. Fundamental Noise Limits and Sensitivity of Piezoelectrically Driven Magnetoelastic Cantilevers. J. Microelectromech. Syst. 2020, 29, 1347–1361. [Google Scholar] [CrossRef]
- Bertotti, G. Hysteresis in Magnetism: For Physicists, Materials Scientists and Engineers; Academic Press: San Diego, CA, USA, 1998. [Google Scholar]

















Publisher’s Note: MDPI stays neutral with regard to jurisdictional claims in published maps and institutional affiliations. |
© 2021 by the authors. Licensee MDPI, Basel, Switzerland. This article is an open access article distributed under the terms and conditions of the Creative Commons Attribution (CC BY) license (https://creativecommons.org/licenses/by/4.0/).
Share and Cite
Durdaut, P.; Müller, C.; Kittmann, A.; Schell, V.; Bahr, A.; Quandt, E.; Knöchel, R.; Höft, M.; McCord, J. Phase Noise of SAW Delay Line Magnetic Field Sensors. Sensors 2021, 21, 5631. https://doi.org/10.3390/s21165631
Durdaut P, Müller C, Kittmann A, Schell V, Bahr A, Quandt E, Knöchel R, Höft M, McCord J. Phase Noise of SAW Delay Line Magnetic Field Sensors. Sensors. 2021; 21(16):5631. https://doi.org/10.3390/s21165631
Chicago/Turabian StyleDurdaut, Phillip, Cai Müller, Anne Kittmann, Viktor Schell, Andreas Bahr, Eckhard Quandt, Reinhard Knöchel, Michael Höft, and Jeffrey McCord. 2021. "Phase Noise of SAW Delay Line Magnetic Field Sensors" Sensors 21, no. 16: 5631. https://doi.org/10.3390/s21165631
APA StyleDurdaut, P., Müller, C., Kittmann, A., Schell, V., Bahr, A., Quandt, E., Knöchel, R., Höft, M., & McCord, J. (2021). Phase Noise of SAW Delay Line Magnetic Field Sensors. Sensors, 21(16), 5631. https://doi.org/10.3390/s21165631

