Selective Subject Pooling Strategy to Improve Model Generalization for a Motor Imagery BCI †
Abstract
:1. Introduction
2. Materials and Methods
2.1. Feature Extraction Methods
2.2. Selective Subject Pooling
2.3. Experiments
- S1
- Determine the performance threshold according to the number of test data trials and statistical significance (e.g., α = 0.05, 0.01, …);
- S2
- Evaluate each subject’s SS BCI performance;
- S3
- Create a selective subject pool with subjects who achieve SS BCI performance (CSP-rLDA) greater than the performance threshold defined in S1. Note that depending upon statistical significance, the subject pool’s size varies (Table 1);
- S4
- Evaluate SI BCI performance using data from the selective subject pool. Note that when the current subject data are included in the selective subject pool, they are removed from the pool. Thus, LOSOCV is applied with the selective subject pool.
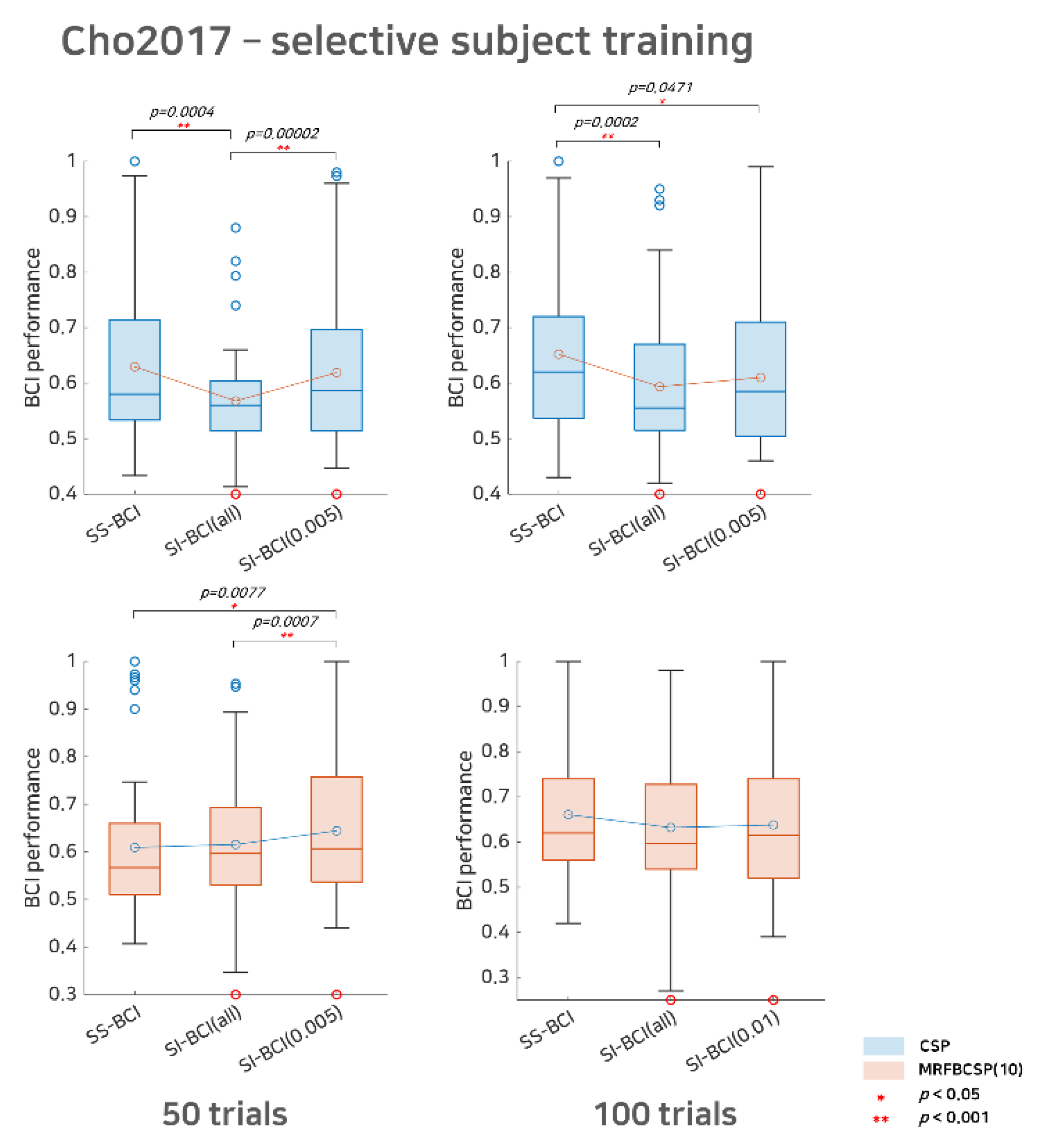
3. Results
3.1. Subject-Specific and Subject-Independent BCI Performance
3.2. Selective Subject Pooling Strategy
3.3. Comparison of CSP Filters
3.4. Cross-Dataset BCI Performance
4. Discussion
Author Contributions
Funding
Institutional Review Board Statement
Informed Consent Statement
Data Availability Statement
Conflicts of Interest
References
- Wolpaw, J.R.; Birbaumer, N.; McFarland, D.J.; Pfurtscheller, G.; Vaughan, T.M. Brain–computer interfaces for communication and control. Clin. Neurophysiol. 2002, 113, 767–791. [Google Scholar] [CrossRef]
- Ramadan, R.A.; Vasilakos, A.V. Brain computer interface: Control signals review. Neurocomputing 2017, 223, 26–44. [Google Scholar] [CrossRef]
- George, L.; Lécuyer, A. An overview of research on “passive” brain-computer interfaces for implicit human-computer interaction. In Proceedings of the International Conference on Applied Bionics and Biomechanics ICABB 2010-Workshop W1 “Brain-Computer Interfacing and Virtual Reality”, Venice, Italy, 14–16 October 2010. [Google Scholar]
- Prasad, G.; Herman, P.; Coyle, D.; McDonough, S.M.; Crosbie, J. Applying a brain-computer interface to support motor imagery practice in people with stroke for upper limb recovery: A feasibility study. J. Neuroeng. Rehabil. 2010, 7, 60. [Google Scholar] [CrossRef] [PubMed] [Green Version]
- Coyle, D.; Garcia, J.; Satti, A.R.; McGinnity, T.M. EEG-based continuous control of a game using a 3 channel motor imagery BCI: BCI game. In Proceedings of the 2011 IEEE Symposium on Computational Intelligence, Cognitive Algorithms, Mind, and Brain (CCMB), Paris, France, 15 April 2011; Institute of Electrical and Electronics Engineers (IEEE): Piscataway, NJ, USA, 2011; pp. 1–7. [Google Scholar]
- Bordoloi, S.; Sharmah, U.; Hazarika, S.M. Motor imagery based BCI for a maze game. In Proceedings of the 2012 4th International Conference on Intelligent Human Computer Interaction (IHCI), Kharagpur, India, 27–29 December 2012; Institute of Electrical and Electronics Engineers (IEEE): Piscataway, NJ, USA, 2012; pp. 1–6. [Google Scholar]
- Blankertz, B.; Curio, G.; Müller, K.-R. Classifying single trial EEG: Towards brain computer interfacing. Adv. Neural Inf. Process. Syst. 2001, 14, 157–164. [Google Scholar]
- Krauledat, M.; Tangermann, M.; Blankertz, B.; Müller, K.-R. Towards Zero Training for Brain-Computer Interfacing. PLoS ONE 2008, 3, e2967. [Google Scholar] [CrossRef] [PubMed] [Green Version]
- Fazli, S.; Popescu, F.; Danóczy, M.; Blankertz, B.; Mueller, K.-R.; Grozea, C. Subject-independent mental state classification in single trials. Neural Netw. 2009, 22, 1305–1312. [Google Scholar] [CrossRef]
- Lotte, F.; Guan, C.; Ang, K.K. Comparison of designs towards a subject-independent brain-computer interface based on motor imagery. IEEE Annu. Int. Conf. Eng. Med. Biol. Soc. 2009, 2009, 4543–4546. [Google Scholar]
- Kang, H.; Nam, Y.; Choi, S. Composite Common Spatial Pattern for Subject-to-Subject Transfer. IEEE Signal Process. Lett. 2009, 16, 683–686. [Google Scholar] [CrossRef]
- Lotte, F.; Guan, C. Learning from other subjects helps reducing Brain-Computer Interface calibration time. In Proceedings of the 2010 IEEE International Conference on Acoustics, Speech and Signal Processing, Dallas, TX, USA, 15–19 March 2010; Institute of Electrical and Electronics Engineers (IEEE): Piscataway, NJ, USA, 2010; pp. 614–617. [Google Scholar]
- Cho, H.; Ahn, M.; Kim, K.; Jun, S.C. Increasing session-to-session transfer in a brain–computer interface with on-site background noise acquisition. J. Neural Eng. 2015, 12, 066009. [Google Scholar] [CrossRef] [Green Version]
- Jayaram, V.; Alamgir, M.; Altun, Y.; Schölkopf, B.; Grosse-Wentrup, M. Transfer Learning in Brain-Computer Interfaces. IEEE Comput. Intell. Mag. 2016, 11, 20–31. [Google Scholar] [CrossRef] [Green Version]
- Zhao, X.; Zhao, J.; Cai, W.; Wu, S. Transferring Common Spatial Filters With Semi-Supervised Learning for Zero-Training Motor Imagery Brain-Computer Interface. IEEE Access 2019, 7, 58120–58130. [Google Scholar] [CrossRef]
- Kwon, O.-Y.; Lee, M.-H.; Guan, C.; Lee, S.-W. Subject-Independent Brain–Computer Interfaces Based on Deep Convolutional Neural Networks. IEEE Trans. Neural Netw. Learn. Syst. 2020, 31, 3839–3852. [Google Scholar] [CrossRef]
- Kindermans, P.-J.; Schreuder, M.; Schrauwen, B.; Müller, K.-R.; Tangermann, M. True Zero-Training Brain-Computer Interfacing–An Online Study. PLoS ONE 2014, 9, e102504. [Google Scholar] [CrossRef] [PubMed] [Green Version]
- Pandarinath, C.; O’Shea, D.J.; Collins, J.; Jozefowicz, R.; Stavisky, S.; Kao, J.C.; Trautmann, E.M.; Kaufman, M.T.; Ryu, S.I.; Hochberg, L.R.; et al. Inferring single-trial neural population dynamics using sequential auto-encoders. Nat. Methods 2018, 15, 805–815. [Google Scholar] [CrossRef] [PubMed] [Green Version]
- Degenhart, A.D.; Bishop, W.E.; Oby, E.R.; Tyler-Kabara, E.C.; Chase, S.M.; Batista, A.P.; Yu, B.M. Stabilization of a brain–computer interface via the alignment of low-dimensional spaces of neural activity. Nat. Biomed. Eng. 2020, 4, 672–685. [Google Scholar] [CrossRef]
- Xu, L.; Xu, M.; Ke, Y.; An, X.; Liu, S.; Ming, D. Cross-Dataset Variability Problem in EEG Decoding with Deep Learning. Front. Hum. Neurosci. 2020, 14, 103. [Google Scholar] [CrossRef]
- Yger, F.; Berar, M.; Lotte, F. Riemannian Approaches in Brain-Computer Interfaces: A Review. IEEE Trans. Neural Syst. Rehabil. Eng. 2016, 25, 1753–1762. [Google Scholar] [CrossRef] [Green Version]
- Lawhern, V.J.; Solon, A.J.; Waytowich, N.R.; Gordon, S.M.; Hung, C.P.; Lance, B.J. EEGNet: A compact convolutional neural network for EEG-based brain–computer interfaces. J. Neural Eng. 2018, 15, 056013. [Google Scholar] [CrossRef] [Green Version]
- Lee, J.; Won, K.; Kwon, M.; Jun, S.C.; Ahn, M. CNN With Large Data Achieves True Zero-Training in Online P300 Brain-Computer Interface. IEEE Access 2020, 8, 74385–74400. [Google Scholar] [CrossRef]
- Blankertz, B.; Sannelli, C.; Halder, S.; Hammer, E.M.; Kübler, A.; Mueller, K.-R.; Curio, G.; Dickhaus, T. Neurophysiological predictor of SMR-based BCI performance. NeuroImage 2010, 51, 1303–1309. [Google Scholar] [CrossRef] [PubMed] [Green Version]
- Ahn, M.; Cho, H.; Ahn, S.; Jun, S.C. High Theta and Low Alpha Powers May Be Indicative of BCI-Illiteracy in Motor Imagery. PLoS ONE 2013, 8, e80886. [Google Scholar] [CrossRef] [Green Version]
- Won, K.; Kwon, M.; Ahn, M.; Jun, S.C. Selective Subject Pooling Strategy to Achieve Subject-Independent Motor Imagery BCI. In Proceedings of the 2021 9th International Winter Conference on Brain-Computer Interface (BCI), Gangwon, Korea, 22–24 February 2021; Institute of Electrical and Electronics Engineers (IEEE): Piscataway, NJ, USA, 2021; pp. 1–4. [Google Scholar]
- Delorme, A.; Makeig, S. EEGLAB: An Open Source Toolbox for Analysis of Single-Trial EEG Dynamics Including Independent Component Analysis. J. Neurosci. Methods 2004, 134, 9–21. [Google Scholar] [CrossRef] [PubMed] [Green Version]
- Lee, M.-H.; Kwon, O.-Y.; Kim, Y.-J.; Kim, H.-K.; Lee, Y.-E.; Williamson, J.; Fazli, S.; Lee, S.-W. EEG dataset and OpenBMI toolbox for three BCI paradigms: An investigation into BCI illiteracy. GigaScience 2019, 8, giz002. [Google Scholar] [CrossRef] [PubMed]
- Blankertz, B.; Tomioka, R.; Lemm, S.; Kawanabe, M.; Muller, K.-R. Optimizing Spatial filters for Robust EEG Single-Trial Analysis. IEEE Signal Process. Mag. 2007, 25, 41–56. [Google Scholar] [CrossRef]
- Ramoser, H.; Muller-Gerking, J.; Pfurtscheller, G. Optimal spatial filtering of single trial EEG during imagined hand movement. IEEE Trans. Rehabil. Eng. 2000, 8, 441–446. [Google Scholar] [CrossRef] [PubMed] [Green Version]
- Pfurtscheller, G.; Aranibar, A. Evaluation of event-related desynchronization (ERD) preceding and following voluntary self-paced movement. Electroencephalogr. Clin. Neurophysiol. 1979, 46, 138–146. [Google Scholar] [CrossRef]
- Schnitzler, A.; Salenius, S.; Salmelin, R.; Jousmäki, V.; Hari, R. Involvement of Primary Motor Cortex in Motor Imagery: A Neuromagnetic Study. NeuroImage 1997, 6, 201–208. [Google Scholar] [CrossRef]
- Ang, K.K.; Chin, Z.Y.; Wang, C.; Guan, C.; Zhang, H. Filter Bank Common Spatial Pattern Algorithm on BCI Competition IV Datasets 2a and 2b. Front. Behav. Neurosci. 2012, 6, 39. [Google Scholar] [CrossRef] [Green Version]
- Müller-Putz, G.; Scherer, R.; Brunner, C.; Leeb, R.; Pfurtscheller, G. Better than random: A closer look on BCI results. Int. J. Bioelectromagn. 2008, 10, 52–55. [Google Scholar]
- Cho, H.; Ahn, M.; Ahn, S.; Kwon, M.; Jun, S.C. EEG datasets for motor imagery brain–computer interface. GigaScience 2017, 6, 1–8. [Google Scholar] [CrossRef]
- Blankertz, B.; Lemm, S.; Treder, M.; Haufe, S.; Mueller, K.-R. Single-trial analysis and classification of ERP components—A tutorial. NeuroImage 2011, 56, 814–825. [Google Scholar] [CrossRef] [PubMed]
- Chew, E.; Teo, W.-P.; Tang, N.; Ang, K.K.; Ng, Y.S.; Zhou, J.H.; Teh, I.; Phua, K.S.; Zhao, L.; Guan, C. Using Transcranial Direct Current Stimulation to Augment the Effect of Motor Imagery-Assisted Brain-Computer Interface Training in Chronic Stroke Patients—Cortical Reorganization Considerations. Front. Neurol. 2020, 11, 948. [Google Scholar] [CrossRef] [PubMed]
- Wan, F.; da Cruz, J.R.; Nan, W.; Wong, C.M.; I. Vai, M.; Rosa, A. Alpha neurofeedback training improves SSVEP-based BCI performance. J. Neural Eng. 2016, 13, 36019. [Google Scholar] [CrossRef] [PubMed]
- Blankertz, B.; Kawanabe, M.; Tomioka, R.; Hohlefeld, F.; Müller, K.-R.; Nikulin, V. Invariant common spatial patterns: Alleviating nonstationarities in brain-computer interfacing. Adv. Neural Inf. Process. Syst. 2007, 20, 113–120. [Google Scholar]
- Samek, W.; Vidaurre, C.; Müller, K.-R.; Kawanabe, M. Stationary common spatial patterns for brain–computer interfacing. J. Neural Eng. 2012, 9, 026013. [Google Scholar] [CrossRef] [Green Version]







| Dataset | Trials | α | 0.05 | 0.01 | 0.005 | 0.001 |
|---|---|---|---|---|---|---|
| Cho2017 | 50 | Threshold | 0.633 | 0.675 | 0.691 | 0.724 |
| #Subjects | 21 | 16 | 14 | 11 | ||
| 100 | Threshold | 0.596 | 0.626 | 0.638 | 0.661 | |
| #Subjects | 31 | 26 | 24 | 20 | ||
| Lee2019 | 50 | Threshold | 0.633 | 0.675 | 0.691 | 0.724 |
| #Subjects | 24 | 18 | 16 | 14 | ||
| 100 | Threshold | 0.596 | 0.626 | 0.638 | 0.661 | |
| #Subjects | 28 | 24 | 21 | 20 | ||
| 150 | Threshold | 0.579 | 0.604 | 0.613 | 0.633 | |
| #Subjects | 33 | 27 | 26 | 24 | ||
| 200 | Threshold | 0.5686 | 0.5902 | 0.5983 | 0.6152 | |
| #Subjects | 34 | 28 | 28 | 25 |
| Dataset | Trials | Methods | SS BCI | SI BCI | ||||
|---|---|---|---|---|---|---|---|---|
| SI-All | α = 0.05 | α = 0.01 | α = 0.005 | α = 0.001 | ||||
| Cho2017 | 50 | CSP | 0.6296 | 0.5678 | 0.6090 | 0.6087 | 0.6191 | 0.6182 |
| MRFBCSP (10) | 0.6091 | 0.6155 | 0.6324 | 0.6319 | 0.6442 | 0.6340 | ||
| 100 | CSP | 0.6522 | 0.5936 | 0.5904 | 0.6072 | 0.6102 | 0.6092 | |
| MRFBCSP (10) | 0.6607 | 0.6321 | 0.6316 | 0.6379 | 0.6369 | 0.6344 | ||
| Lee2019 | 50 | CSP | 0.6642 | 0.6298 | 0.6522 | 0.6496 | 0.6460 | 0.6444 |
| MRFBCSP (10) | 0.6477 | 0.6605 | 0.6835 | 0.6702 | 0.6753 | 0.6728 | ||
| 100 | CSP | 0.6628 | 0.6343 | 0.6604 | 0.6580 | 0.6630 | 0.6629 | |
| MRFBCSP (10) | 0.6818 | 0.6638 | 0.6859 | 0.6821 | 0.6827 | 0.6823 | ||
| 150 | CSP | 0.6692 | 0.6488 | 0.6605 | 0.6651 | 0.6644 | 0.6638 | |
| MRFBCSP (10) | 0.6975 | 0.6795 | 0.6898 | 0.6936 | 0.6933 | 0.6920 | ||
| 200 | CSP | 0.6782 | 0.6421 | 0.6531 | 0.6488 | 0.6488 | 0.6631 | |
| MRFBCSP (10) | 0.7002 | 0.6774 | 0.6830 | 0.6894 | 0.6894 | 0.6918 | ||
| Train | Test | Method | SS BCI | Cross-All | α = 0.05 | α = 0.01 | α = 0.005 | α = 0.001 |
|---|---|---|---|---|---|---|---|---|
| Lee2019 | Cho2017 | CSP | 0.6522 | 0.5545 | 0.5479 | 0.5547 | 0.5547 | 0.5623 |
| MRFBCSP 10 | 0.6607 | 0.6138 | 0.6136 | 0.6065 | 0.6065 | 0.6073 | ||
| Cho2017 | Lee2019 | CSP | 0.6782 | 0.5988 | 0.6454 | 0.6713 | 0.6723 | 0.6574 |
| MRFBCSP 10 | 0.7002 | 0.6742 | 0.6797 | 0.6844 | 0.6802 | 0.6794 |
Publisher’s Note: MDPI stays neutral with regard to jurisdictional claims in published maps and institutional affiliations. |
© 2021 by the authors. Licensee MDPI, Basel, Switzerland. This article is an open access article distributed under the terms and conditions of the Creative Commons Attribution (CC BY) license (https://creativecommons.org/licenses/by/4.0/).
Share and Cite
Won, K.; Kwon, M.; Ahn, M.; Jun, S.C. Selective Subject Pooling Strategy to Improve Model Generalization for a Motor Imagery BCI. Sensors 2021, 21, 5436. https://doi.org/10.3390/s21165436
Won K, Kwon M, Ahn M, Jun SC. Selective Subject Pooling Strategy to Improve Model Generalization for a Motor Imagery BCI. Sensors. 2021; 21(16):5436. https://doi.org/10.3390/s21165436
Chicago/Turabian StyleWon, Kyungho, Moonyoung Kwon, Minkyu Ahn, and Sung Chan Jun. 2021. "Selective Subject Pooling Strategy to Improve Model Generalization for a Motor Imagery BCI" Sensors 21, no. 16: 5436. https://doi.org/10.3390/s21165436
APA StyleWon, K., Kwon, M., Ahn, M., & Jun, S. C. (2021). Selective Subject Pooling Strategy to Improve Model Generalization for a Motor Imagery BCI. Sensors, 21(16), 5436. https://doi.org/10.3390/s21165436

