A Quadruped Robot with Three-Dimensional Flexible Legs
Abstract
:1. Introduction
- A new three-dimensional flexible leg is designed and its material is characterized;
- The dynamics and gait planning of the robot are designed, and the effectiveness of the technology is verified via simulation;
- The experiments show that the robot has the characteristics of stability and fast recovery to a stable state when it is impacted by the side.
2. Materials and Methods
2.1. Design Principle of a Rigid–Flexible Coupling Leg
2.2. Characterization of the Flexible Leg
2.3. Kinematics and Dynamics of the Proposed Robot
- τ—Driving torque of the leg,
- I—Moment of inertia connecting the rod.
2.4. Gait Planning and Simulation
2.5. Detailed System Hardware
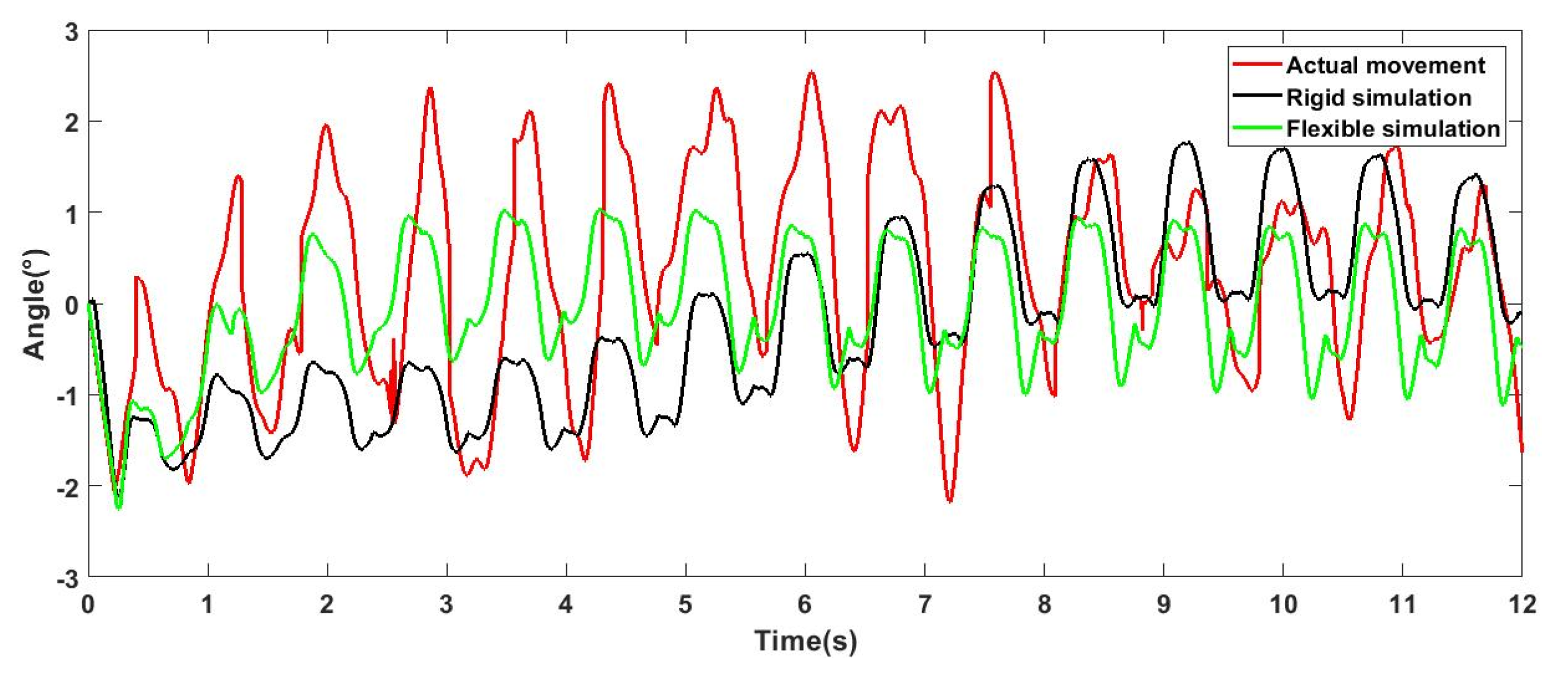
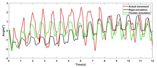
3. Results
4. Discussion
5. Conclusions
Supplementary Materials
Author Contributions
Funding
Institutional Review Board Statement
Informed Consent Statement
Data Availability Statement
Conflicts of Interest
References
- Peng, G.; Yang, C.; He, W.; Chen, C.L.P. Force Sensorless Admittance Control with Neural Learning for Robots with Actuator Saturation. IEEE Trans. Ind. Electron. 2020, 67, 3138–3148. [Google Scholar] [CrossRef] [Green Version]
- Raibert, M.; Blankespoor, K.; Nelson, G.; Playter, R. Bigdog the rough-terrain quadruped robot. IFAC Proc. Vol. 2008, 41, 10822–10825. [Google Scholar] [CrossRef] [Green Version]
- Koolen, T.; Bertrand, S.; Thomas, G.; de Boer, T.; Wu, T.; Smith, J.; Englsberger, J.; Pratt, J. Design of a Momentum-Based Control Framework and Application to the Humanoid Robot Atlas. Int. J. Hum. Robot. 2016, 13. [Google Scholar] [CrossRef]
- Kanazawa, M.; Nozawa, S.; Kakiuchi, Y.; Kanemoto, Y.; Kuroda, M.; Okada, K.; Inaba, M.; Yoshiike, T. Robust Vertical Ladder Climbing and Transitioning between Ladder and Catwalk for Humanoid Robots. In Proceedings of the IEEE International Conference on Intelligent Robots and Systems, Hamburg, Germany, 28 September–3 October 2015; pp. 2202–2209. [Google Scholar]
- Kaneko, K.; Kanehiro, F.; Morisawa, M.; Akachi, K.; Miyamori, G.; Hayashi, A.; Kanehira, N. Humanoid Robot HRP-4-Humanoid Robotics Platform with Lightweight and Slim Body. In Proceedings of the IEEE International Conference on Intelligent Robots and Systems, San Francisco, CA, USA, 25–30 September 2011; IEEE: New York, NY, USA, 2011; pp. 4400–4407. [Google Scholar]
- Cizek, P.; Zoula, M.; Faigl, J. Design, Construction, and Rough-Terrain Locomotion Control of Novel Hexapod Walking Robot with Four Degrees of Freedom Per Leg. IEEE Access 2021, 9, 17866–17881. [Google Scholar] [CrossRef]
- Luneckas, M.; Luneckas, T.; Udris, D.; Plonis, D.; Maskeliūnas, R.; Damaševičius, R. A hybrid tactile sensor-based obstacle overcoming method for hexapod walking robots. Intell. Serv. Robot. 2020, 14, 9–24. [Google Scholar] [CrossRef]
- Zhong, Y.; Wang, R.; Feng, H.; Chen, Y. Analysis and research of quadruped robot’s legs: A comprehensive review. Int. J. Adv. Robot. Syst. 2019, 16. [Google Scholar] [CrossRef] [Green Version]
- Yang, K.; Zhou, L.; Rong, X.; Li, Y. Onboard hydraulic system controller design for quadruped robot driven by gasoline engine. Mechatronics 2018, 52, 36–48. [Google Scholar] [CrossRef]
- Semini, C.; Tsagarakis, N.G.; Guglielmino, E.; Focchi, M.; Cannella, F.; Caldwell, D.G. Design of HyQ—A hydraulically and electrically actuated quadruped robot. Proc. Inst. Mech. Eng. Part I J. Syst. Control Eng. 2011, 225, 831–849. [Google Scholar] [CrossRef]
- Semini, C.; Barasuol, V.; Goldsmith, J.; Frigerio, M.; Focchi, M.; Gao, Y.; Caldwell, D.G. Design of the Hydraulically Actuated, Torque-Controlled Quadruped Robot HyQ2Max. IEEE/ASME Trans. Mechatron. 2017, 22, 635–646. [Google Scholar] [CrossRef]
- Wasista, S.; Tjandrasa, H.; Wibisono, W. Swing Trajectory Model for the New Design of Quadruped Robot Using V-REP Simulator. In Proceedings of the 2020 International Conference on Computer Engineering, Network, and Intelligent Multimedia (CENIM), Online, 17–18 November 2020. [Google Scholar]
- Wait, K.W.; Goldfarb, M. A Pneumatically Actuated Quadrupedal Walking Robot. IEEE/ASME Trans. Mechatron. 2014, 19, 339–347. [Google Scholar] [CrossRef]
- Li, M.; Wang, X.; Guo, W.; Wang, P.; Sun, L. System Design of a Cheetah Robot Toward Ultra-high Speed. Int. J. Adv. Robot. Syst. 2014, 11. [Google Scholar] [CrossRef]
- Lei, J.; Zhu, J.; Xie, P.; Tokhi, M.O. Joint variable stiffness of musculoskeletal leg mechanism for quadruped robot. Adv. Mech. Eng. 2017, 9. [Google Scholar] [CrossRef] [Green Version]
- Hutter, M.; Gehring, C.; Hopflinger, M.A.; Blosch, M.; Siegwart, R. Toward Combining Speed, Efficiency, Versatility, and Robustness in an Autonomous Quadruped. IEEE Trans. Robot. 2014, 30, 1427–1440. [Google Scholar] [CrossRef]
- Hutter, M.; Gehring, C.; Jud, D.; Lauber, A.; Bellicoso, C.D.; Tsounis, V.; Hwangbo, J.; Bodie, K.; Fankhauser, P.; Bloesch, M.; et al. Anymal—A highly mobile and dynamic quadrupedal robot. In Proceedings of the 2016 IEEE/RSJ International Conference on Intelligent Robots and Systems (IROS), Daejeon, Korea, 9–14 October 2016; pp. 38–44. [Google Scholar]
- Gor, M.M.; Pathak, P.M.; Samantaray, A.K.; Alam, K.; Kumar, P.; Anand, D.; Vijay, P.; Sarkar, R.; Yang, J.M.; Kwak, S.W. Development of a compliant legged quadruped robot. Sādhanā 2018, 43. [Google Scholar] [CrossRef] [Green Version]
- Chen, D.; Li, N.; Wang, H.; Chen, L. Effect of Flexible Spine Motion on Energy Efficiency in Quadruped Running. J. Bionic Eng. 2017, 14, 716–725. [Google Scholar] [CrossRef]
- Fan, Y.; Shao, J.; Sun, G.; Shao, X. Active Disturbance Rejection Control Design Using the Optimization Algorithm for a Hydraulic Quadruped Robot. Comput. Intell. Neurosci. 2021, 2021, 6683584. [Google Scholar] [CrossRef]
- Buchli, J.; Ijspeert, A.J. Self-organized adaptive legged locomotion in a compliant quadruped robot. Auton. Robots 2008, 25, 331–347. [Google Scholar] [CrossRef] [Green Version]
- Nizami, M.H.A.; Shah, Z.A.; Ayaz, Y.; Khan, M.J.; Ali, S.; Naveed, M.; Akhtar, K.; Dancey, D.; Nawaz, R. Proximal Actuation of an Elastically Loaded Scissors Mechanism for the Leg Design of a Quadruped Robot. IEEE Access 2020, 8, 208240–208252. [Google Scholar] [CrossRef]
- Geva, Y.; Shapiro, A. A Novel Design of a Quadruped Robot for Research Purposes. Int. J. Adv. Robot. Syst. 2014, 11. [Google Scholar] [CrossRef]
- Yang, T.; Westervelt, E.R.; Schmiedeler, J.P.; Bockbrader, R.A. Design and control of a planar bipedal robot ERNIE with parallel knee compliance. Auton. Robots 2008, 25, 317–330. [Google Scholar] [CrossRef]
- Chai, H.; Rong, X.; Tang, X.; Li, Y. Gait-Based Quadruped Robot Planar Hopping Control with Energy Planning. Int. J. Adv. Robot. Syst. 2017, 13. [Google Scholar] [CrossRef]
- Koco, E.; Mirkovic, D.; Kovačić, Z. Hybrid Compliance Control for Locomotion of Electrically Actuated Quadruped Robot. J. Intell. Robot. Syst. 2018, 94, 537–563. [Google Scholar] [CrossRef]
- Zhao, Z.; He, X.; Ahn, C.K. Boundary Disturbance Observer-Based Control of a Vibrating Single-Link Flexible Manipulator. IEEE Trans. Syst. Man Cybern. Syst. 2021, 51, 2382–2390. [Google Scholar] [CrossRef]
- Zhao, Z.; Liu, Z. Finite-time convergence disturbance rejection control for a flexible Timoshenko manipulator. IEEE/CAA J. Autom. Sin. 2021, 8, 157–168. [Google Scholar] [CrossRef]
- Yang, C.; Peng, G.; Cheng, L.; Na, J.; Li, Z. Force Sensorless Admittance Control for Teleoperation of Uncertain Robot Manipulator Using Neural Networks. IEEE Trans. Syst. Man Cybern. Syst. 2021, 51, 3282–3292. [Google Scholar] [CrossRef]
- Peng, G.; Chen, C.L.P.; He, W.; Yang, C. Neural-Learning-Based Force Sensorless Admittance Control for Robots with Input Deadzone. IEEE Trans. Ind. Electron. 2021, 68, 5184–5196. [Google Scholar] [CrossRef]




















| Parameters | |
|---|---|
| Description | Value |
| 3.625 kg | |
| 0.553 m | |
| 0.2645 m | |
| 1.021 kg | |
| Hip joint | |
| 0.029 m | |
| 0.031 kg | |
| Inertia of hip | |
| rotation angle range | −40~60° |
| Knee joint | |
| 0.226 m | |
| 0.376 kg | |
| Inertia of knee | |
| Diameter of thigh | 0.06 m |
| rotation angle range | −45~135° |
| Ankle joint | |
| 0.218 m | |
| 0.244 kg | |
| Inertia of ankle | |
| Diameter of calf | 0.05 m |
| rotation angle range | −90~90° |
Publisher’s Note: MDPI stays neutral with regard to jurisdictional claims in published maps and institutional affiliations. |
© 2021 by the authors. Licensee MDPI, Basel, Switzerland. This article is an open access article distributed under the terms and conditions of the Creative Commons Attribution (CC BY) license (https://creativecommons.org/licenses/by/4.0/).
Share and Cite
Huang, W.; Xiao, J.; Zeng, F.; Lu, P.; Lin, G.; Hu, W.; Lin, X.; Wu, Y. A Quadruped Robot with Three-Dimensional Flexible Legs. Sensors 2021, 21, 4907. https://doi.org/10.3390/s21144907
Huang W, Xiao J, Zeng F, Lu P, Lin G, Hu W, Lin X, Wu Y. A Quadruped Robot with Three-Dimensional Flexible Legs. Sensors. 2021; 21(14):4907. https://doi.org/10.3390/s21144907
Chicago/Turabian StyleHuang, Wenkai, Junlong Xiao, Feilong Zeng, Puwei Lu, Guojian Lin, Wei Hu, Xuyu Lin, and Yu Wu. 2021. "A Quadruped Robot with Three-Dimensional Flexible Legs" Sensors 21, no. 14: 4907. https://doi.org/10.3390/s21144907
APA StyleHuang, W., Xiao, J., Zeng, F., Lu, P., Lin, G., Hu, W., Lin, X., & Wu, Y. (2021). A Quadruped Robot with Three-Dimensional Flexible Legs. Sensors, 21(14), 4907. https://doi.org/10.3390/s21144907

