System Performance Analysis for an Energy Harvesting IoT System Using a DF/AF UAV-Enabled Relay with Downlink NOMA under Nakagami-m Fading
Abstract
1. Introduction
- We investigate a UR-assisted IoT communication network using RF EH and downlink NOMA with ICSI under Nakagami-m fading channels.
- We derive an APS ratio that maximizes the channel capacity of the system. The channel capacity maximization is achieved by maximizing the signal-to-interference-plus-noise ratio (SINR) of the system.
- We also derive closed-form expressions for the system OPs for the DF and AF schemes, considering the APS ratio. In addition, the system throughputs are obtained for both the DF and AF schemes.
- We propose an algorithm for finding the nearly optimal EH time for the system.
2. Related Work
3. System and Channel Model
3.1. System Model
3.2. Communication Protocol
- In the first phase, B transmits information to in accordance with the NOMA principle within a length of time , where and are the signals to be received by and and and are power allocation coefficients that satisfy the conditions and [20]. As described in [47], at , the received power is divided into two streams, with for information processing and for EH (the APS ratio in Section III.C). Thus, the signal received at is written as follows:where , is the transmit power of B, and is additive white Gaussian noise (AWGN) [21,48].Thus, the energy harvested at can be expressed as follows [49,50,51]:where is the EH efficiency coefficient, which depends on the rectification . Here, we assume that the EH efficiency coefficient is the same for all antennas of the UR.The antenna of the UR first decodes the message for (i.e., ) by treating the message for (i.e., ) as noise (because the power allocation coefficient for is higher than that for ). then cancels out the message using successive interference cancellation (SIC) to obtain the message . Here, we assume that can decode successfully by adopting the method proposed in [52,53,54]. Therefore, the received signal-to-interference-plus-noise ratios (SINRs) at for detecting and are expressed as follows:
- In the second phase, the transmit power at the n-th antenna during the remaining time is expressed aswhere .Furthermore, UAV utilizes either DF or AF scheme to perform relaying transmission.
- (1)
- DF schemeFor the DF scheme, UR first decodes the received superimposed messages from B and then re-encodes and forwards them to the IDs. Then, the received signal at is given bywhere and is the AWGN at . Thus, the SINRs for detecting and transmitted from at and are expressed as
- (2)
- AF schemeFor the AF scheme, transmits to all IDs after multiplying it by an amplifying factor . To satisfy the output power constraint at , it is required that , where is given in (8). Here, the amplification factor is approximated by assuming a high signal-to-noise ratio (SNR) from B to [55,56]. Thus, is given byTherefore, the signal received at is given byThus, the SINRs for detecting and transmitted from at and are expressed aswhere .
3.3. APS Ratio
- DF schemeThe PS protocol is applied in the EH process to improve the reliability of transmission. That is, as much energy is harvested from the signals as possible under the condition that the signals received at U can be decoded successfully.Let the target SINRs for and be denoted by and , respectively. Therefore, at , the received SINRs for decoding the signals must satisfy and . To harvest as much energy as possible, we let and , that is [57],where and . Here, and denote the target data rates for IDs in the two clusters. After some algebraic manipulations, (16) can be rewritten as follows:From (17), it is easy to find that the power allocation coefficient is given bywhere . By substituting (18) into (16), the APS ratio can be expressed asNote that . When , this means that all of the energy of the received signals must be used to decode information, and the relay cannot harvest any energy. Thus, can be further expressed as
- AF schemeThe goal of this subsection is to identify the APS ratio that maximizes the SINRs:where . To find the value of that maximizes , we differentiate with respect to and set it equal to zero. After some simplifications, we have the following possible roots for :orAccordingly, we choose as the root because .
- For this AF scheme, we analyze two cases of APS ratio selection to improve the system performance.
- (1)
- Case I: In this case, the PSR dynamically varies towards achieving the maximum end-to-end SINR for the signal . Therefore, the APS ratio of the system is
- (2)
- Case II: In this case, the APS ratio varies towards achieving the maximum end-to-end SINR for the signal . Therefore, the APS ratio of the system is
3.4. Selection of the Antenna and ID
4. Performance Analysis
4.1. OP Analysis of the DF Scheme
- OP at the BFID
- OP at the BNID
4.2. OP Analysis of the AF Scheme
- For case I:
- (1)
- OP at the BFID
- (2)
- OP at the BNID
- For case II:
- (1)
- OP at the BFID
- (2)
- OP at the BNID
4.3. Throughput Analysis
| Algorithm 1 Algorithm for determining the nearly optimal EH time for the system |
| Input: |
| Output: ( is the optimal point) |
|
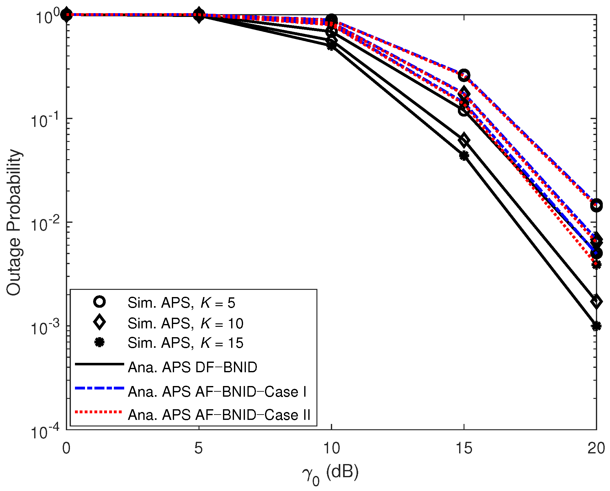
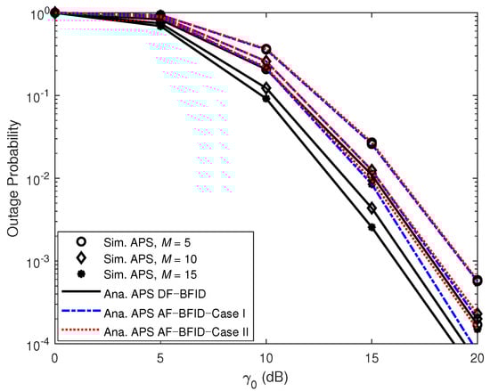
5. Numerical Results
6. Conclusions
Author Contributions
Funding
Conflicts of Interest
Appendix A. Proof of Lemma 1
Appendix B. Proof of Lemma 2
Appendix C. Proof of Lemma 3
Appendix D. Proof of Lemma 4
Appendix E. Proof of Lemma 5
Appendix F. Proof of Lemma 6
References
- Al-Turjman, F.; Radwan, A. Data Delivery in Wireless Multimedia Sensor Networks: Challenging and Defying in the IoT Era. IEEE Wirel. Commun. 2017, 24, 126–131. [Google Scholar] [CrossRef]
- Kaur, N.; Sood, S.K. An Energy-Efficient Architecture for the Internet of Things (IoT). IEEE Syst. J. 2017, 11, 796–805. [Google Scholar] [CrossRef]
- Xu, L.D.; He, W.; Li, S. Internet of Things in Industries: A Survey. IEEE Trans. Ind. Inf. 2014, 10, 2233–2243. [Google Scholar] [CrossRef]
- Vo, V.N.; Tran, D.; So-In, C.; Tran, H. Secrecy Performance Analysis for Fixed-Gain Energy Harvesting in an Internet of Things with Untrusted Relays. IEEE Access 2018, 6, 48247–48258. [Google Scholar]
- Vo, V.N.; So-In, C.; Tran, H.; Tran, D.; Heng, S.; Aimtongkham, P.; Nguyen, A. On Security and Throughput for Energy Harvesting Untrusted Relays in IoT Systems Using NOMA. IEEE Access 2019, 7, 149341–149354. [Google Scholar] [CrossRef]
- Boursianis, A.D.; Papadopoulou, M.S.; Diamantoulakis, P.; Liopa-Tsakalidi, A.; Barouchas, P.; Salahas, G.; Karagiannidis, G.; Wan, S.; Goudos, S.K. Internet of Things (IoT) and Agricultural Unmanned Aerial Vehicles (UAVs) in smart farming: A comprehensive review. Internet Things 2020, 100187–100203. [Google Scholar] [CrossRef]
- Marcu, A.; Suciu, G.; Olteanu, E.; Miu, D.; Drosu, A.; Marcu, I. IoT System for Forest Monitoring. In Proceedings of the 2019 42nd International Conference on Telecommunications and Signal Processing (TSP), Budapest, Hungary, 1–3 July 2019; pp. 629–632. [Google Scholar]
- Zeng, Y.; Zhang, R.; Lim, T.J. Wireless communications with unmanned aerial vehicles: Opportunities and challenges. IEEE Commun. Mag. 2016, 54, 36–42. [Google Scholar] [CrossRef]
- Hayat, S.; Yanmaz, E.; Muzaffar, R. Survey on Unmanned Aerial Vehicle Networks for Civil Applications: A Communications Viewpoint. IEEE Commun. Surv. Tuts. 2016, 18, 2624–2661. [Google Scholar] [CrossRef]
- Cheng, F.; Gui, G.; Zhao, N.; Chen, Y.; Tang, J.; Sari, H. UAV-Relaying-Assisted Secure Transmission with Caching. IEEE Trans. Commun. 2019, 67, 3140–3153. [Google Scholar] [CrossRef]
- Fotouhi, A.; Qiang, H.; Ding, M.; Hassan, M.; Giordano, L.G.; Garcia-Rodriguez, A.; Yuan, J. Survey on UAV Cellular Communications: Practical Aspects, Standardization Advancements, Regulation, and Security Challenges. IEEE Commun. Surv. Tuts. 2019, 21, 3417–3442. [Google Scholar] [CrossRef]
- Zeng, S.; Zhang, H.; Bian, K.; Song, L. UAV Relaying: Power Allocation and Trajectory Optimization Using Decode-and-Forward Protocol. In Proceedings of the 2018 IEEE International Conference on Communications Workshops (ICC Workshops), Kansas City, MO, USA, 20–24 May 2018; pp. 1–6. [Google Scholar]
- Song, K.; Zhang, J.; Ji, Z.; Jiang, J.; Li, C. Energy-Efficiency for IoT System with Cache-Enabled Fixed-Wing UAV Relay. IEEE Access 2020, 8, 117503–117512. [Google Scholar] [CrossRef]
- Gupta, L.; Jain, R.; Vaszkun, G. Survey of Important Issues in UAV Communication Networks. IEEE Commun. Surveys Tuts. 2016, 18, 1123–1152. [Google Scholar] [CrossRef]
- Lu, X.; Wang, P.; Niyato, D.; Kim, D.I.; Han, Z. Wireless Networks with RF Energy Harvesting: A Contemporary Survey. IEEE Commun. Surv. Tuts. 2015, 17, 757–789. [Google Scholar] [CrossRef]
- Ponnimbaduge Perera, T.D.; Jayakody, D.N.K.; Sharma, S.K.; Chatzinotas, S.; Li, J. Simultaneous Wireless Information and Power Transfer (SWIPT): Recent Advances and Future Challenges. IEEE Commun. Surv. Tuts. 2018, 20, 264–302. [Google Scholar] [CrossRef]
- Hua, M.; Li, C.; Huang, Y.; Yang, L. Throughput maximization for UAV-enabled wireless power transfer in relaying system. In Proceedings of the 2017 9th International Conference on Wireless Communications and Signal Processing (WCSP), Nanjing, China, 11–13 October 2017; pp. 1–5. [Google Scholar]
- Ji, B.; Li, Y.; Zhou, B.; Li, C.; Song, K.; Wen, H. Performance Analysis of UAV Relay Assisted IoT Communication Network Enhanced with Energy Harvesting. IEEE Access 2019, 7, 38738–38747. [Google Scholar] [CrossRef]
- Tran, D.; Ha, D.; Vo, V.N.; So-In, C.; Tran, H.; Nguyen, T.G.; Baig, Z.A.; Sanguanpong, S. Performance Analysis of DF/AF Cooperative MISO Wireless Sensor Networks with NOMA and SWIPT Over Nakagami-m Fading. IEEE Access 2018, 6, 56142–56161. [Google Scholar] [CrossRef]
- Vo, V.N.; Nguyen, T.G.; So-In, C.; Tran, H. Outage Performance Analysis of Energy Harvesting Wireless Sensor Networks for NOMA Transmissions. Mob. Netw. Appl. 2020, 225, 23–41. [Google Scholar] [CrossRef]
- Vo, V.N.; So-In, C.; Tran, D.; Tran, H. Optimal System Performance in Multihop Energy Harvesting WSNs Using Cooperative NOMA and Friendly Jammers. IEEE Access 2019, 7, 125494–125510. [Google Scholar] [CrossRef]
- Liu, Y.; Qin, Z.; Cai, Y.; Gao, Y.; Li, G.Y.; Nallanathan, A. UAV Communications Based on Non-Orthogonal Multiple Access. IEEE Wirel. Commun. 2019, 26, 52–57. [Google Scholar] [CrossRef]
- Hou, T.; Liu, Y.; Song, Z.; Sun, X.; Chen, Y. Exploiting NOMA for UAV Communications in Large-Scale Cellular Networks. IEEE Trans. Commun. 2019, 67, 6897–6911. [Google Scholar] [CrossRef]
- Sohail, M.F.; Leow, C.Y.; Won, S. Non-Orthogonal Multiple Access for Unmanned Aerial Vehicle Assisted Communication. IEEE Access 2018, 6, 22716–22727. [Google Scholar] [CrossRef]
- Fang, F.; Zhang, H.; Cheng, J.; Roy, S.; Leung, V.C.M. Joint User Scheduling and Power Allocation Optimization for Energy-Efficient NOMA Systems with Imperfect CSI. IEEE J. Sel. Areas Commun. 2017, 35, 2874–2885. [Google Scholar] [CrossRef]
- Zhang, H.; Zhang, J.; Long, K.; Nallanathan, A.; Leung, V.C.M. Resource Allocation for Energy Efficient NOMA UAV Network under Imperfect CSI. In Proceedings of the ICC 2020—2020 IEEE International Conference on Communications (ICC) 2020, Dublin, Ireland, 7–11 June 2020; pp. 1–6. [Google Scholar]
- Abuelenin, S. On the similarity between Nakagami-m Fading distribution and the Gaussian ensembles of random matrix theory. arXiv 2018, arXiv:1803.08688. [Google Scholar]
- Chang, T.; Yu, H. Improving Electric Powered UAV’s Endurance by Incorporating Battery Dumping Concept. Procedia Eng. 2015, 99, 168–179. [Google Scholar] [CrossRef]
- Zeng, Y.; Zhang, R.; Lim, T.J. Throughput Maximization for UAV-Enabled Mobile Relaying Systems. IEEE Trans. Commun. 2016, 64, 4983–4996. [Google Scholar] [CrossRef]
- Zhang, S.; Zhang, H.; He, Q.; Bian, K.; Song, L. Joint Trajectory and Power Optimization for UAV Relay Networks. IEEE Commun. Lett. 2018, 22, 161–164. [Google Scholar] [CrossRef]
- Chen, Y.; Feng, W.; Zheng, G. Optimum Placement of UAV as Relays. IEEE Commun. Lett. 2018, 22, 248–251. [Google Scholar] [CrossRef]
- Yang, L.; Chen, J.; Hasna, M.O.; Yang, H. Outage Performance of UAV-Assisted Relaying Systems with RF Energy Harvesting. IEEE Commun. Lett. 2018, 22, 2471–2474. [Google Scholar] [CrossRef]
- Yin, S.; Zhao, Y.; Li, L. UAV-assisted Cooperative Communications with Power-splitting SWIPT. In Proceedings of the 2018 IEEE International Conference on Communication Systems (ICCS), Chengdu, China, 19–21 December 2018; pp. 162–167. [Google Scholar]
- Kim, Y.H.; Chowdhury, I.A.; Song, I. Design and Analysis of UAV-Assisted Relaying with Simultaneous Wireless Information and Power Transfer. IEEE Access 2020, 8, 27874–27886. [Google Scholar] [CrossRef]
- Wang, L.; Hu, B.; Chen, S.; Cui, J. UAV-Enabled Reliable Mobile Relaying Based on Downlink NOMA. IEEE Access 2020, 8, 25237–25248. [Google Scholar] [CrossRef]
- Zaidi, S.K.; Hasan, S.F.; Gui, X.; Siddique, N.; Ahmad, S. Exploiting UAV as NOMA based Relay for Coverage Extension. In Proceedings of the 2019 2nd International Conference on Computer Applications & Information Security (ICCAIS), Riyadh, Saudi Arabia, 1–3 May 2019; pp. 1–5. [Google Scholar]
- Li, X.; Wang, Q.; Peng, H.; Zhang, H.; Do, D.; Rabie, K.M.; Kharel, R.; Cavalcante, C.C. A Unified Framework for HS-UAV NOMA Networks: Performance Analysis and Location Optimization. IEEE Access 2020, 8, 13329–13340. [Google Scholar] [CrossRef]
- Sharawi, M.S.; Aloi, D.N.; Rawashdeh, O.A. Design and Implementation of Embedded Printed Antenna Arrays in Small UAV Wing Structures. IEEE Trans. Antennas Propag. 2010, 58, 2531–2538. [Google Scholar] [CrossRef]
- Izydorczyk, T.; Bucur, M.; Tavares, F.M.L.; Berardinelli, G.; Mogensen, P. Experimental Evaluation of Multi-Antenna Receivers for UAV Communication in Live LTE Networks. In Proceedings of the 2018 IEEE Globecom Workshops (GC Wkshps), Abu Dhabi, UAE, 9–13 December 2018. [Google Scholar]
- Song, Q.; Zheng, F. Energy efficient multi-antenna UAV-enabled mobile relay. China Commun. 2018, 15, 41–50. [Google Scholar] [CrossRef]
- Zhan, P.; Yu, K.; Swindlehurst, A.L. Wireless Relay Communications with Unmanned Aerial Vehicles: Performance and Optimization. IEEE Trans. Aerosp. Electron. Syst. 2011, 47, 2068–2085. [Google Scholar] [CrossRef]
- Khuwaja, A.A.; Chen, Y.; Zheng, G. Effect of User Mobility and Channel Fading on the Outage Performance of UAV Communications. IEEE Wirel. Commun. Lett. 2020, 9, 367–370. [Google Scholar] [CrossRef]
- Do, D.T.; Nguyen, T.T.T.; Le, C.B.; Voznak, M.; Kaleem, Z.; Rabie, K.M. UAV Relaying Enabled NOMA Network with Hybrid Duplexing and Multiple Antennas. IEEE Access 2020, 8, 186993–187007. [Google Scholar] [CrossRef]
- Guo, S.; Zhou, X. Robust Resource Allocation with Imperfect Channel Estimation in NOMA-Based Heterogeneous Vehicular Networks. IEEE Trans. Commun. 2019, 67, 2321–2332. [Google Scholar] [CrossRef]
- Gong, X.; Yue, X.; Liu, F. Performance Analysis of Cooperative NOMA Networks with Imperfect CSI over Nakagami-m Fading Channels. Sensors 2020, 20, 424. [Google Scholar] [CrossRef]
- Men, J.; Ge, J.; Zhang, C. Performance Analysis for Downlink Relaying Aided Non-Orthogonal Multiple Access Networks with Imperfect CSI Over Nakagami-m Fading. IEEE Access 2017, 5, 998–1004. [Google Scholar] [CrossRef]
- Singh, V.; Ochiai, H. An Efficient Time Switching Protocol with Adaptive Power Splitting for Wireless Energy Harvesting Relay Networks. In Proceedings of the 2017 IEEE 85th Vehicular Technology Conference (VTC Spring), Sydney, Australia, 4–7 June 2017. [Google Scholar]
- Nguyen, A.; Nhan Vo, V.; So-In, C.; Ha, D.; Sanguanpong, S.; Baig, Z.A. On Secure Wireless Sensor Networks with Cooperative Energy Harvesting Relaying. IEEE Access 2019, 7, 139212–139225. [Google Scholar] [CrossRef]
- Kwan, J.C.; Fapojuwo, A.O. Radio Frequency Energy Harvesting and Data Rate Optimization in Wireless Information and Power Transfer Sensor Networks. IEEE Sens. J. 2017, 17, 4862–4874. [Google Scholar] [CrossRef]
- Vo, V.N.; Tran, H.; Dao, V.L.; So-In, C.; Tran, D.D.; Uhlemann, E. On Communication Performance in Energy Harvesting WSNs Under a Cooperative Jamming Attack. IEEE Syst. J. 2020, 14, 4955–4966. [Google Scholar] [CrossRef]
- Saito, Y.; Kishiyama, Y.; Benjebbour, A.; Nakamura, T.; Li, A.; Higuchi, K. Non-Orthogonal Multiple Access (NOMA) for Cellular Future Radio Access. In Proceedings of the 2013 IEEE 77th Vehicular Technology Conference (VTC Spring), Dresden, Germany, 2–5 June 2013; pp. 1–5. [Google Scholar]
- Jiang, X.; Wu, Z.; Yin, Z.; Yang, Z.; Zhao, N. Power Consumption Minimization of UAV Relay in NOMA Networks. IEEE Wirel. Commun. Lett. 2020, 9, 666–670. [Google Scholar] [CrossRef]
- Sohail, M.F.; Leow, C.Y.; Won, S. Energy-Efficient Non-Orthogonal Multiple Access for UAV Communication System. IEEE Trans. Veh. Technol. 2019, 68, 10834–10845. [Google Scholar] [CrossRef]
- Deng, D.; Zhou, Q. Outdated relay selection for UAV-enabled networks with cooperative NOMA. Phys. Commun. 2019, 32, 112–119. [Google Scholar] [CrossRef]
- Hoang, T.M.; Van, N.L.; Nguyen, B.C.; Dung, L.T. On the Performance of Energy Harvesting Non-Orthogonal Multiple Access Relaying System with Imperfect Channel State Information over Rayleigh Fading Channels. Sensors 2019, 19, 3327. [Google Scholar] [CrossRef]
- Han, W.; Ge, J.; Men, J. Performance analysis for NOMA energy harvesting relaying networks with transmit antenna selection and maximal-ratio combining over Nakagami-m fading. IET Commun. 2016, 10, 2687–2693. [Google Scholar] [CrossRef]
- Yang, Z.; Ding, Z.; Fan, P.; Al-Dhahir, N. The Impact of Power Allocation on Cooperative Non-orthogonal Multiple Access Networks with SWIPT. IEEE Trans. Wirel. Commun. 2017, 16, 4332–4343. [Google Scholar] [CrossRef]
- Ashraf, M.; Jang, J.; Han, J.; Lee, K.G. Capacity Maximizing Adaptive Power Splitting Protocol for Cooperative Energy Harvesting Communication Systems. IEEE Commun. Lett. 2018, 22, 902–905. [Google Scholar] [CrossRef]
- Ding, Z.; Perlaza, S.M.; Esnaola, I.; Poor, H.V. Power Allocation Strategies in Energy Harvesting Wireless Cooperative Networks. IEEE Trans. Wirel. Commun. 2014, 13, 846–860. [Google Scholar] [CrossRef]
- Zhou, Z.; Peng, M.; Zhao, Z.; Li, Y. Joint Power Splitting and Antenna Selection in Energy Harvesting Relay Channels. IEEE Signal Process. Lett. 2015, 22, 823–827. [Google Scholar] [CrossRef]
- Nguyen, T.N.; Tran, M.; Nguyen, T.L.; Ha, D.H.; Voznak, M. Performance Analysis of a User Selection Protocol in Cooperative Networks with Power Splitting Protocol-Based Energy Harvesting Over Nakagami-m/Rayleigh Channels. Electronics 2019, 8, 448. [Google Scholar] [CrossRef]
- Do, N.T.; Da Costa, D.B.; Duong, T.Q.; An, B. A BNBF User Selection Scheme for NOMA-Based Cooperative Relaying Systems with SWIPT. IEEE Commun. Lett. 2017, 21, 664–667. [Google Scholar] [CrossRef]
- Sanayei, S.; Nosratinia, A. Antenna selection in MIMO systems. IEEE Commun. Mag. 2004, 42, 68–73. [Google Scholar] [CrossRef]
- Bai, Q.; Nossek, J.A. Energy efficiency maximization for 5G multi-antenna receivers. Trans. Emerg. Telecommun. Technol. 2015, 26, 3–14. [Google Scholar] [CrossRef]
- Nguyen, B.C.; Hoang, T.M.; Tran, P.T.; Nguyen, T.N. Outage probability of NOMA system with wireless power transfer at source and full-duplex relay. AEU Int. J. Electron. Commun. 2020, 116, 152957–152965. [Google Scholar] [CrossRef]
- Ha, D.B.; Nguyen, S.Q. Outage Performance of Energy Harvesting DF Relaying NOMA Networks. Mob. Netw. Appl. 2017, 23, 1572–1585. [Google Scholar] [CrossRef]
- Judd, K.L. Quadrature Methods Presented at University of Chicago’s Initiative for Computational Economics. 2012. Available online: https://ice.uchicago.edu/2012_presentations/Faculty/Judd/ICE12Intro.pdf (accessed on 4 January 2021).
- Nasir, A.A.; Zhou, X.; Durrani, S.; Kennedy, R.A. Relaying Protocols for Wireless Energy Harvesting and Information Processing. IEEE Trans. Wirel. Commun. 2013, 12, 3622–3636. [Google Scholar] [CrossRef]
- Vo, V.N.; Gia Nguyen, T.; So-In, C.; Tran, H.; Sanguanpong, S. Secrecy Performance in the Internet of Things: Optimal Energy Harvesting Time Under Constraints of Sensors and Eavesdroppers. Mob. Netw. Appl. 2019, 25, 193–210. [Google Scholar] [CrossRef]
- Alevizos, P.N.; Bletsas, A. Sensitive and Nonlinear Far-Field RF Energy Harvesting in Wireless Communications. IEEE Trans. Wirel. Commun. 2018, 17, 3670–3685. [Google Scholar] [CrossRef]
- Darsena, D. Noncoherent Detection for Ambient Backscatter Communications Over OFDM Signals. IEEE Access 2019, 7, 159415–159425. [Google Scholar] [CrossRef]
- Yeom, J.S.; Jang, H.S.; Ko, K.S.; Jung, B.C. BER Performance of Uplink NOMA with Joint Maximum-Likelihood Detector. IEEE Trans. Veh. Technol. 2019, 68, 10295–10300. [Google Scholar] [CrossRef]
- Xia, W.; Zhou, Y.; Meng, Q. Performance Improvement on Nonorthogonal Multiple Access without CSIT. Wirel. Commun. Mob. Comput. 2020, 2020, 1–6. [Google Scholar] [CrossRef]
- Han, A.; Lv, T.; Zhang, X. Outage Performance of NOMA-based UAV-Assisted Communication with Imperfect SIC. In Proceedings of the 2019 IEEE Wireless Communications and Networking Conference (WCNC), Marrakesh, Morocco, 15–18 April 2019; pp. 1–6. [Google Scholar]
- Kara, F.; Kaya, H. Improved User Fairness in Decode-Forward Relaying Non-Orthogonal Multiple Access Schemes with Imperfect SIC and CSI. IEEE Access 2020, 8, 97540–97556. [Google Scholar] [CrossRef]













| Notation | Description |
|---|---|
| B | The BS |
| U | The energy-limited UR |
| The numbers of IDs in the near and far clusters, respectively | |
| N | The number of antennas of the UR |
| The k-th ID of the near cluster, where | |
| The m-th ID of the far cluster, where | |
| The i-th ID, where | |
| The n-th antenna of the UR, where | |
| The height of the UR | |
| The height of the BS | |
| O | The vertical projection point of the UR |
| The channel coefficient of the link | |
| The distance of the link | |
| The path loss exponent | |
| The expectation operator | |
| The mean of a RV, where | |
| The TSR, where | |
| The PSR, where | |
| T | The length of a time block |
| The energy harvested at | |
| The APS ratio | |
| The end-to-end SINR | |
| The OP | |
| R | The target rate |
Publisher’s Note: MDPI stays neutral with regard to jurisdictional claims in published maps and institutional affiliations. |
© 2021 by the authors. Licensee MDPI, Basel, Switzerland. This article is an open access article distributed under the terms and conditions of the Creative Commons Attribution (CC BY) license (http://creativecommons.org/licenses/by/4.0/).
Share and Cite
Nguyen, A.-N.; Vo, V.N.; So-In, C.; Ha, D.-B. System Performance Analysis for an Energy Harvesting IoT System Using a DF/AF UAV-Enabled Relay with Downlink NOMA under Nakagami-m Fading. Sensors 2021, 21, 285. https://doi.org/10.3390/s21010285
Nguyen A-N, Vo VN, So-In C, Ha D-B. System Performance Analysis for an Energy Harvesting IoT System Using a DF/AF UAV-Enabled Relay with Downlink NOMA under Nakagami-m Fading. Sensors. 2021; 21(1):285. https://doi.org/10.3390/s21010285
Chicago/Turabian StyleNguyen, Anh-Nhat, Van Nhan Vo, Chakchai So-In, and Dac-Binh Ha. 2021. "System Performance Analysis for an Energy Harvesting IoT System Using a DF/AF UAV-Enabled Relay with Downlink NOMA under Nakagami-m Fading" Sensors 21, no. 1: 285. https://doi.org/10.3390/s21010285
APA StyleNguyen, A.-N., Vo, V. N., So-In, C., & Ha, D.-B. (2021). System Performance Analysis for an Energy Harvesting IoT System Using a DF/AF UAV-Enabled Relay with Downlink NOMA under Nakagami-m Fading. Sensors, 21(1), 285. https://doi.org/10.3390/s21010285

