MEMS-Based Reflective Intensity-Modulated Fiber-Optic Sensor for Pressure Measurements
Abstract
1. Introduction
2. Configuration and Operating Principle
3. Fabrication of the Sensor
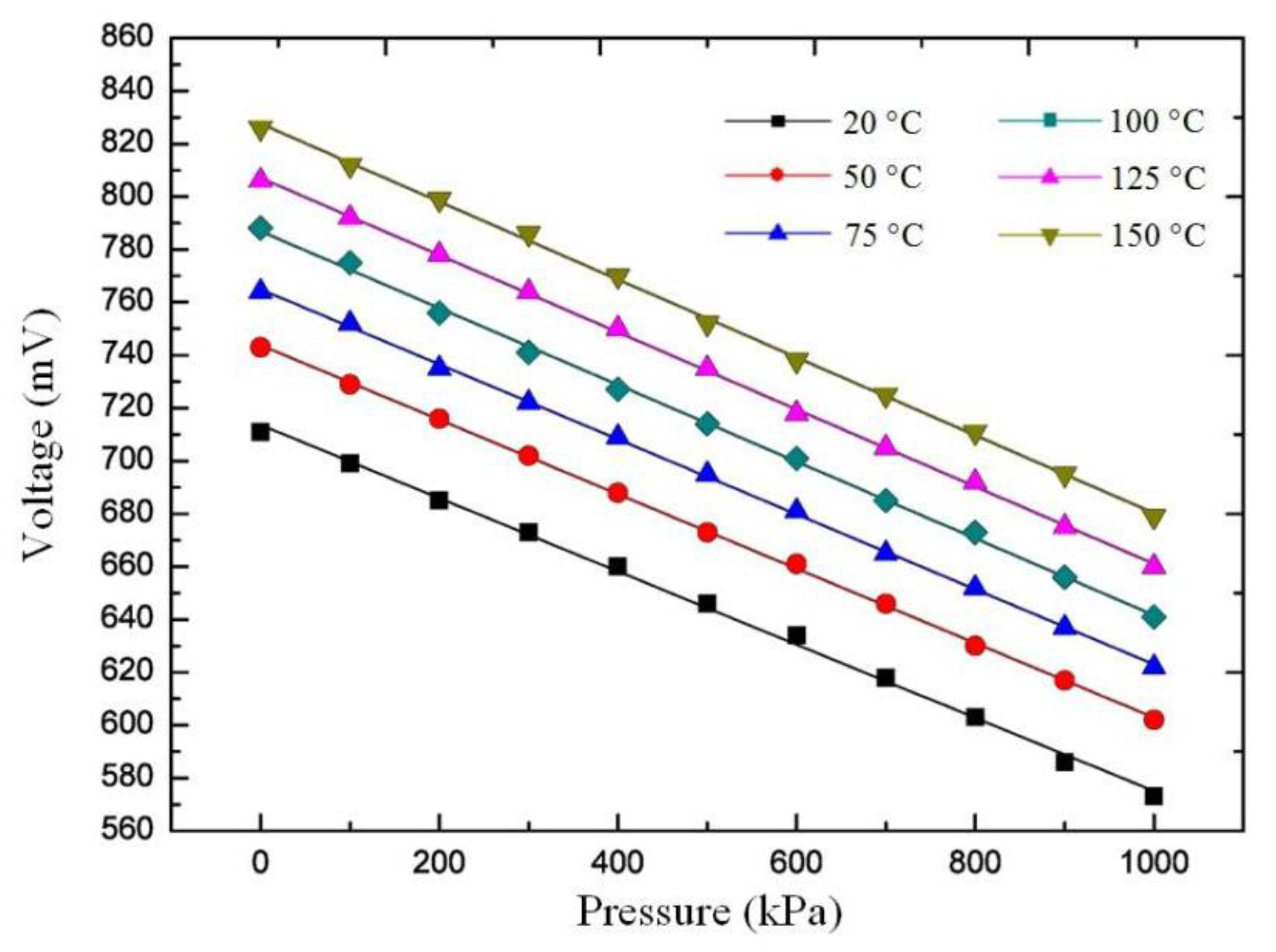
4. Experimental Results
5. Conclusions
Author Contributions
Funding
Conflicts of Interest
References
- Rosolem, J.B.; Penze, R.S.; Bassan, F.R.; Floridia, C.; Peres, R.; Dini, D.C.; Vasconcelos, D.; Rramos, M.A., Jr. Electroless nickel-plating sealing in fbg pressure sensor for thermoelectric power plant engines applications. J. Light. Technol. 2019, 37, 4791–4798. [Google Scholar] [CrossRef]
- Kaczmarek, C. Photonic crystal fiber sensor for impulsive pressure wave measurements. Opt. Lasers Eng. 2019, 122, 23–28. [Google Scholar] [CrossRef]
- Alfin, L.; Gino, R.; Ion, S.; Rama, B. Wireless sensing using acoustic signals for measurement of dynamic pressure and temperature in harsh environment. Sens. Rev. 2012, 32, 142–148. [Google Scholar]
- Silva, S.; Coelho, L.; Frazão, O. An all-fiber Fabry-Pérot interferometer for pressure sensing in different gaseous environments. Measurement 2014, 47, 418–421. [Google Scholar] [CrossRef]
- Gao, L.; Zhu, C.; Li, L.; Zhang, C.-W.; Liu, J.; Yu, H.-D.; Huang, W. All paper-based flexible and wearable piezoresistive pressure sensor. ACS Appl. Mater. Interfaces 2019, 11, 25034–25042. [Google Scholar] [CrossRef] [PubMed]
- Akiyama, M.; Morofuji, Y.; Kamohara, T.; Nishikubo, K.; Tsubai, M.; Fukuda, O.; Ueno, N. Flexible piezoelectric pressure sensors using oriented aluminum nitride thin films prepared on polyethylene terephthalate films. J. Appl. Phys. 2006, 100, 114318. [Google Scholar] [CrossRef]
- Fischer, R.; Muntjes, J.A.; Mokwa, W. Compensation of the stress dependence of flexible integrated capacitive pressure sensors for biomedical applications. IEEE Sens. 2017, 3, 1–3. [Google Scholar]
- Sheeparamatti, B.G.; Balavalad, K.B. Fabrication and characterization of polysilicon-on-insulator (PolySOI) and a-SOI based micro piezoresistive pressure sensor for harsh environment applications. Microsyst. Technol. 2019, 25, 4119–4133. [Google Scholar] [CrossRef]
- Lia, X.-J.; Qiu, C.-J.; Deng, Y.-L.; Qu, W.; He, J.-N. An MEMS optical fiber pressure sensor based on a square silicon diaphragm: Numerical simulation and experimental verification. Int. J. Nonlinear Sci. Numer. Simul. 2010, 11, 225–229. [Google Scholar] [CrossRef]
- Iwamoto, K.; Kamata, I. Pressure sensor using optical fibers. Appl. Opt. 1990, 29, 375. [Google Scholar] [CrossRef]
- Zheng, W.; Xie, J.; Li, Y.; Xu, B.; Kang, J.; Shen, C.; Wang, J.; Jin, Y.; Liu, H.; Ni, K.; et al. A fiber air-gap Fabry–Pérot temperature sensor demodulated by using frequency modulated continuous wave. Opt. Commun. 2014, 324, 234–237. [Google Scholar] [CrossRef]
- Zhang, X.; Liu, Y.; Bae, H.; Pang, C.; Yu, M. Phase modulation with micromachined resonant mirrors for low-coherence fiber-tip pressure sensors. Opt. Express 2009, 17, 23965–23974. [Google Scholar] [CrossRef] [PubMed]
- Berkovic, G.; Rotter, S.; Shafir, E.; Scandale, W.; Todesco, E. Wavelength-modulated fiber optic sensor for high precision displacement measurement. Rev. Sci. Instrum. 2002, 73, 3687–3691. [Google Scholar] [CrossRef]
- Li, X.; Ma, R.; Xia, Y. Magnetic field sensor exploiting light polarization modulation of microfiber with magnetic fluid. J. Light. Technol. 2018, 36, 1620–1625. [Google Scholar] [CrossRef]
- Shen, W.; Wu, X.; Meng, H.; Zhang, G.; Huang, X. Long distance fiber-optic displacement sensor based on fiber collimator. Rev. Sci. Instrum. 2010, 81, 123104. [Google Scholar] [CrossRef]
- Vallan, A.; Casalicchio, M.L.; Perrone, G. Displacement and acceleration measurements in vibration tests using a fiber optic sensor. IEEE Trans. Instrum. Meas. 2010, 59, 1389–1396. [Google Scholar] [CrossRef]
- Perrone, G.; Vallan, A. A low-cost optical sensor for noncontact vibration measurements. IEEE Trans. Instrum. Meas. 2008, 58, 1650–1656. [Google Scholar] [CrossRef]
- Feng, K.; Feng, K.; Li, J.; Tan, J. Development of a double fiber probe with a single fiber Bragg grating for dimensional measurement of microholes with high aspect ratios. Opt. Lett. 2014, 39, 2868–2871. [Google Scholar]
- Vallan, A.; Casalicchio, M.L.; Olivero, M.; Perrone, G. Two-dimensional displacement sensor based on plastic optical fibers. IEEE Trans. Instrum. Meas. 2013, 62, 1233–1240. [Google Scholar] [CrossRef][Green Version]
- Guermat, A.; Guessoum, A.; Demagh, N.-E.; Zaboub, M.; Bouhafs, Z. Fibre-optic temperature and pressure sensor based on a deformable concave micro-mirror. Sens. Actuators A Phys. 2018, 270, 205–213. [Google Scholar] [CrossRef]
- Song, P.; Ma, Z.; Ma, J.; Yang, L.; Wei, J.; Zhao, Y.; Zhang, M.; Yang, F.; Wang, X. recent progress of miniature MEMS pressure sensors. Micromachines 2020, 11, 56. [Google Scholar] [CrossRef]
- Binu, S.; Pillai, V.M.; Chandrasekaran, N. Fibre optic displacement sensor for the measurement of amplitude and frequency of vibration. Opt. Laser Technol. 2007, 39, 1537–1543. [Google Scholar] [CrossRef]
- Li, H.; Deng, H.; Zheng, G.; Shan, M.; Zhong, Z.; Liu, B. Reviews on corrugated diaphragms in miniature fiber-optic pressure sensors. Appl. Sci. 2019, 9, 2241. [Google Scholar] [CrossRef]
- Gruca, G.; De Man, S.; Slaman, M.; Rector, J.H.; Iannuzzi, D. Ferrule-top micromachined devices: Design, fabrication, performance. Meas. Sci. Technol. 2010, 21, 94033. [Google Scholar] [CrossRef]
- Jiang, Y.; Li, J.; Zhou, Z.; Jiang, X.; Zhang, D. Fabrication of all-SiC fiber-optic pressure sensors for high-temperature applications. Sensors 2016, 16, 1660. [Google Scholar] [CrossRef] [PubMed]
- Liu, T. Non-destructive residual pressure self-measurement method for the sensing chip of optical Fabry-Perot pressure sensor. Opt. Express 2017, 25, 31937. [Google Scholar]
- Bae, H.; Yun, D.; Liu, H.; Olson, U.A.; Yu, M. Hybrid miniature Fabry–Perot sensor with dual optical cavities for simultaneous pressure and temperature measurements. J. Light. Technol. 2014, 32, 1585–1593. [Google Scholar] [CrossRef]
- Listewnik, P.; Hirsch, M.; Struk, P.; Weber, M.; Bechelany, M.; Szczerska, M. Preparation and characterization of microsphere ZnO ALD coating dedicated for the fiber-optic refractive index sensor. Nanomaterials 2019, 9, 306. [Google Scholar] [CrossRef] [PubMed]
- Ge, Y.; Wang, M.; Yan, H. Optical MEMS pressure sensor based on a mesa-diaphragm structure. Opt. Express 2008, 16, 21746–21752. [Google Scholar] [CrossRef]
- Poeggel, S.; Duraibabu, D.B.; Lacraz, A.; Kalli, K.; Tosi, D.; Leen, G.; Lewis, E. Femtosecond-laser based inscription technique for post Fibre-Bragg grating inscription in an extrinsic Fabry-Perot interferometer pressure sensor. IEEE Sens. J. 2015, 16, 396–402. [Google Scholar]
- Hirsch, M.; Listewnik, P.; Struk, P.; Weber, M.; Bechelany, M.; Szczerska, M. ZnO coated fiber optic microsphere sensor for the enhanced refractive index sensing. Sens. Actuators A Phys. 2019, 298, 298. [Google Scholar] [CrossRef]
- Lan, T.; Zhang, C.; Fu, S.; Zhu, B.; Tang, M.; Tong, W. Spatial division multiplexing-based reflective intensity-modulated fiber optics displacement sensor. IEEE Photonics J. 2018, 10, 1–7. [Google Scholar] [CrossRef]
- Perret, L.; Chassagne, L.; Topcu, S.; Ruaux, P.; Cagneau, B.; Alayli, Y. Fiber optics sensor for sub-nanometric displacement and wide bandwidth systems. Sens. Actuators A Phys. 2011, 165, 189–193. [Google Scholar] [CrossRef]
- Harun, S.; Yang, H.Z.; Yasin, M.; Ahmad, H. Theoretical and experimental study on the fiber optic displacement sensor with two receiving fibers. Microw. Opt. Technol. Lett. 2010, 52, 373–375. [Google Scholar] [CrossRef]
- Guzowski, B.; Łakomski, M. Realization of fiber optic displacement sensors. Opt. Fiber Technol. 2018, 41, 34–39. [Google Scholar] [CrossRef]
- Khiat, A.; Lamarque, F.; Prelle, C.; Pouille, P.; Leester-Schädel, M.; Büttgenbach, S. Long-range displacement mini-sensor with submicrometric resolution. In Proceedings of the 5th IEEE Conference on Sensors, Daegu, Korea, 22–25 October 2006; pp. 283–286. [Google Scholar]
- Guzowski, B.; Lisik, Z.; Tosik, G. Realization of optical fibers terminated with ball lenses. Bull. Pol. Acad. Sci. Tech. Sci. 2016, 64, 279–282. [Google Scholar] [CrossRef]
- Jia, P.; Liang, H.; Fang, G.; Qian, J.; Feng, F.; Liang, T.; Xiong, J. Batch-producible MEMS fiber-optic Fabry-Perot pressure sensor for high-temperature application. Appl. Opt. 2018, 57, 6687–6692. [Google Scholar] [CrossRef]










| Parameter | Symbol | Typical Value (μm) |
|---|---|---|
| Core radius of the transmitting fiber | 31.25 | |
| Core radius of the receiving fiber | 31.25 | |
| Center-to-center distance between two fiber cores | 150 |
© 2020 by the authors. Licensee MDPI, Basel, Switzerland. This article is an open access article distributed under the terms and conditions of the Creative Commons Attribution (CC BY) license (http://creativecommons.org/licenses/by/4.0/).
Share and Cite
Zhou, N.; Jia, P.; Liu, J.; Ren, Q.; An, G.; Liang, T.; Xiong, J. MEMS-Based Reflective Intensity-Modulated Fiber-Optic Sensor for Pressure Measurements. Sensors 2020, 20, 2233. https://doi.org/10.3390/s20082233
Zhou N, Jia P, Liu J, Ren Q, An G, Liang T, Xiong J. MEMS-Based Reflective Intensity-Modulated Fiber-Optic Sensor for Pressure Measurements. Sensors. 2020; 20(8):2233. https://doi.org/10.3390/s20082233
Chicago/Turabian StyleZhou, Ning, Pinggang Jia, Jia Liu, Qianyu Ren, Guowen An, Ting Liang, and Jijun Xiong. 2020. "MEMS-Based Reflective Intensity-Modulated Fiber-Optic Sensor for Pressure Measurements" Sensors 20, no. 8: 2233. https://doi.org/10.3390/s20082233
APA StyleZhou, N., Jia, P., Liu, J., Ren, Q., An, G., Liang, T., & Xiong, J. (2020). MEMS-Based Reflective Intensity-Modulated Fiber-Optic Sensor for Pressure Measurements. Sensors, 20(8), 2233. https://doi.org/10.3390/s20082233

