Soft Sensor Application in Identification of the Activated Sludge Bulking Considering the Technological and Economical Aspects of Smart Systems Functioning
Abstract
1. Introduction
2. Materials and Methods
2.1. Experimental Data
2.2. Model Concept
- the number of independent variables xi relating to the wastewater quality, duration of their determinations, and the bioreactor operating parameters: δ, λ;
- the cost of measurements of the wastewater quality indicators, bioreactor operating parameters (the value 0 relates to the lowest cost and 3 to the highest cost): , ;
- the duration of measurement of the wastewater quality indicators (0 relates to those measurements in which the duration was lesser than one day, and 1 pertains to those lasting for more than one day): ;
- the possibility of using the selected model for the management, control or optimization of the WWTP functioning (the weight factor of 1 indicates that the model is applicable in the control, optimization, and the weight factor of 0 means that the model cannot be used for improving the efficiency of the WWTP): F(S).
2.3. Methods of Data Mining, Choice of Independent Variables and ConstructionCriteria for Soft Sensor
2.4. Determining the Values of Weight Factors and Matrices of a Method Selection for Identification of Sludge Bulking
- the condition determining the costs of determination and the number of indicators of the wastewater quality which are included in the model and reducibility of their value:
- the condition determining the cost and number of measurements of the operating parameters which are included in the model and their reducibility:
- the condition enabling minimization of the number and costs of measurements pertaining to the values of wastewater quality indicators and the reactor operating parameters:
- the condition minimizing the number and cost of measurements of the wastewater quality indicators and the reactor operating parameters so that the obtained model can be used in controlling the reactor operation:
3. Results and Discussion
3.1. The Sludge Bulking Identification Method and the Choice of Independent Variables
3.2. The Choice of a Sludge Bulking Identification Method for Various Independent Variables of Model
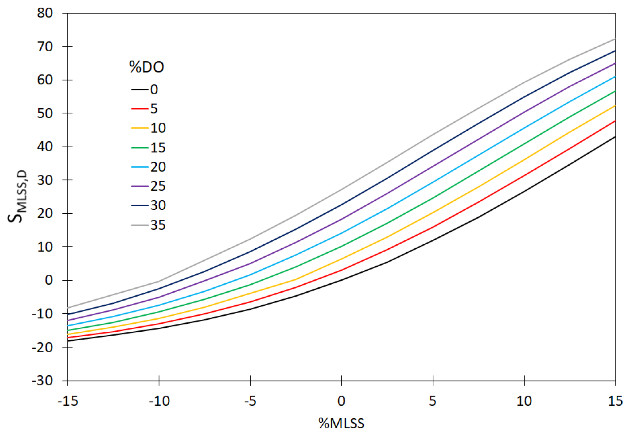
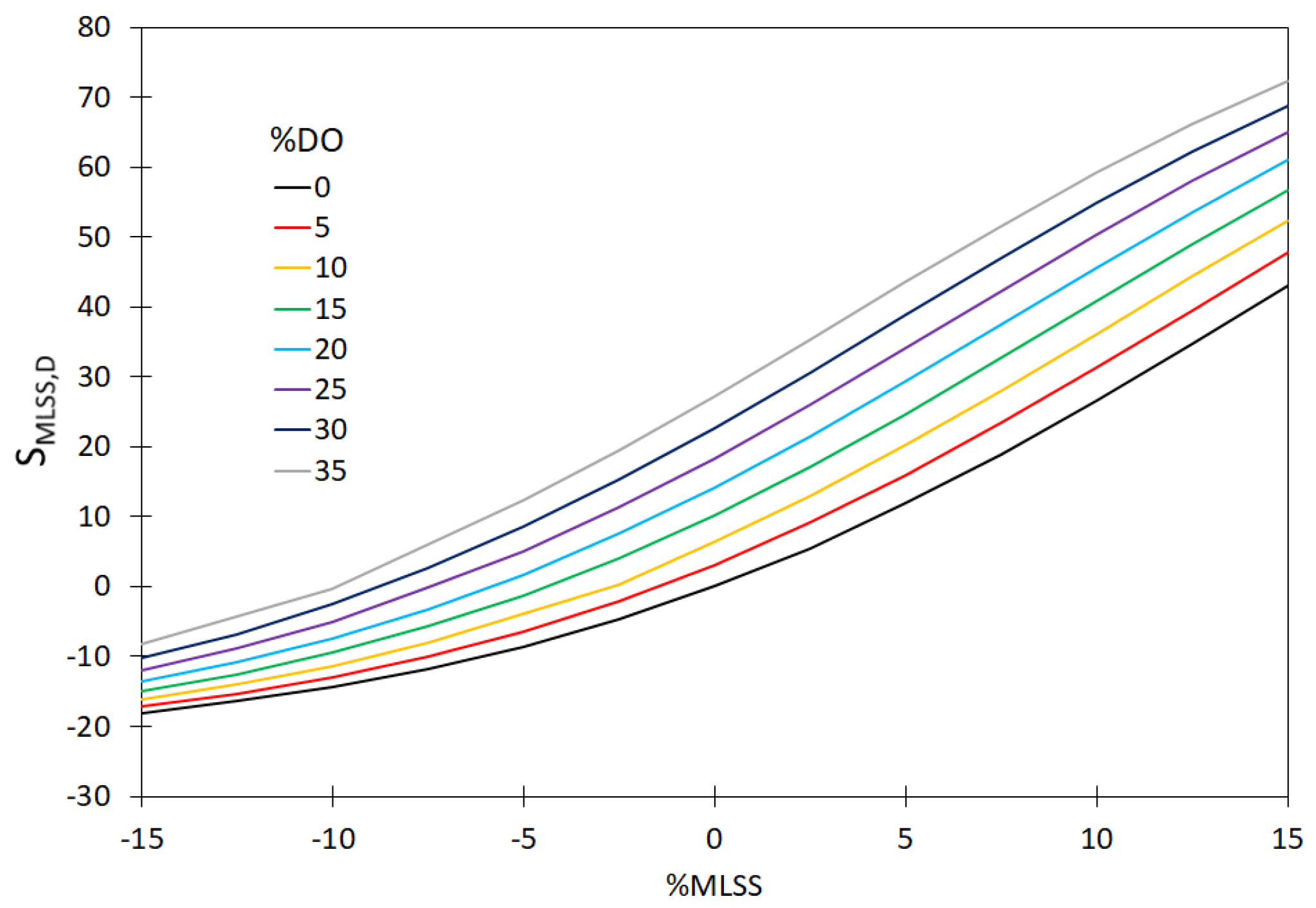
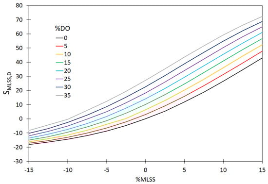
3.3. Impact of Uncertainty of Measured Data on Activated Sludge Bulking Identification
3.4. Matrices of the Choice of a Sludge Bulking Identification Method
4. Conclusions
Author Contributions
Funding
Acknowledgments
Conflicts of Interest
References
- Castillo, A.; Porro, J.; Garrido-Baserba, M.; Rosso, D.; Renzi, D.; Fatone, F.; Gómez, V.; Comas, J.; Poch, M. Validation of a decision support tool for wastewater treatment selection. J. Environ. Manag. 2016, 184, 409–418. [Google Scholar] [CrossRef] [PubMed]
- Longo, S.; Mauricio-Iglesias, M.; Soares, A.; Campo, P.; Fatone, F.; Eusebi, A.L.; Akkersdijk, E.; Stefani, L.; Hospido, A. ENERWATER—A standard method for assessing and improving the energy efficiency of wastewater treatment plants. Appl. Energy 2019, 242, 897–910. [Google Scholar] [CrossRef]
- Hollands, R.G. Will the real smart city please stand up? City 2008, 12, 303–320. [Google Scholar] [CrossRef]
- Hashem, I.A.T.; Chang, V.; Anuar, N.B.; Adewole, K.; Yaqoob, I.; Gani, A.; Ahmed, E.; Chiroma, H. The role of big data in smart city. Int. J. Inf. Manag. 2016, 36, 748–758. [Google Scholar] [CrossRef]
- Visvizi, A.; Lytras, M. It’s Not a Fad: Smart Cities and Smart Villages Research in European and Global Contexts. Sustainability 2018, 10, 2727. [Google Scholar] [CrossRef]
- Chéruy, A. Software sensors in bioprocess engineering. J. Biotechnol. 1997, 52, 193–199. [Google Scholar] [CrossRef]
- Kadlec, P.; Gabrys, B.; Strandt, S. Data-driven Soft Sensors in the process industry. Comput. Chem. Eng. 2009, 33, 795–814. [Google Scholar] [CrossRef]
- Pisa, I.; Santín, I.; Vicario, J.; Morell, A.; Vilanova, R. ANN-Based Soft Sensor to Predict Effluent Violations in Wastewater Treatment Plants. Sensors 2019, 19, 1280. [Google Scholar] [CrossRef]
- Habibzadeh, H.; Boggio-Dandry, A.; Qin, Z.; Soyata, T.; Kantarci, B.; Mouftah, H.T. Soft Sensing in Smart Cities: Handling 3Vs Using Recommender Systems, Machine Intelligence, and Data Analytics. IEEE Commun. Mag. 2018, 56, 78–86. [Google Scholar] [CrossRef]
- Haimi, H.; Mulas, M.; Corona, F.; Vahala, R. Data-derived soft-sensors for biological wastewater treatment plants: An overview. Environ. Model. Softw. 2013, 47, 88–107. [Google Scholar] [CrossRef]
- Szeląg, B. Modelowanie Matematyczne Optymalizacja i Sterowanie Pracą Przepływowych Oczyszczalni Ścieków; Monografia IBS PAN: Warszawa, Poland, 2019. [Google Scholar]
- Fernandez de Canete, J.; Del Saz-Orozco, P.; Baratti, R.; Mulas, M.; Ruano, A.; Garcia-Cerezo, A. Soft-sensing estimation of plant effluent concentrations in a biological wastewater treatment plant using an optimal neural network. Expert Syst. Appl. 2016, 63, 8–19. [Google Scholar] [CrossRef]
- Luccarini, L.; Porrà, E.; Spagni, A.; Ratini, P.; Grilli, S.; Longhi, S.; Bortone, G. Soft sensors for control of nitrogen and phosphorus removal from wastewaters by neural networks. Water Sci. Technol. 2002, 45, 101–107. [Google Scholar] [CrossRef] [PubMed]
- Hernández-del-Olmo, F.; Gaudioso, E.; Duro, N.; Dormido, R. Machine Learning Weather Soft-Sensor for Advanced Control of Wastewater Treatment Plants. Sensors 2019, 19, 3139. [Google Scholar] [CrossRef]
- Yu, P.; Cao, J.; Jegatheesan, V.; Du, X. A Real-time BOD Estimation Method in Wastewater Treatment Process Based on an Optimized Extreme Learning Machine. Appl. Sci. 2019, 9, 523. [Google Scholar] [CrossRef]
- Łagód, G.; Duda, S.M.; Majerek, D.; Szutt, A.; Dołhańczuk-Śródka, A. Application of Electronic Nose for Evaluation of Wastewater Treatment Process Effects at Full-Scale WWTP. Processes 2019, 7, 251. [Google Scholar] [CrossRef]
- Guz, Ł.; Łagód, G.; Jaromin-Gleń, K.; Suchorab, Z.; Sobczuk, H.; Bieganowski, A. Application of Gas Sensor Arrays in Assessment of Wastewater Purification Effects. Sensors 2014, 15, 1–21. [Google Scholar] [CrossRef] [PubMed]
- Szulczyński, B.; Wasilewski, T.; Wojnowski, W.; Majchrzak, T.; Dymerski, T.; Namieśnik, J.; Gębicki, J. Different Ways to Apply a Measurement Instrument of E-Nose Type to Evaluate Ambient Air Quality with Respect to Odour Nuisance in a Vicinity of Municipal Processing Plants. Sensors 2017, 17, 2671. [Google Scholar] [CrossRef] [PubMed]
- Gebicki, J.; Byliński, H.; Namieśnik, J. Measurement techniques for assessing the olfactory impact of municipal sewage treatment plants. Environ. Monit. Assess. 2016, 188, 32. [Google Scholar] [CrossRef] [PubMed]
- Geng, Z.; Chen, G.; Han, Y.; Lu, G.; Li, F. Semantic relation extraction using sequential and tree-structured LSTM with attention. Inf. Sci. 2020, 509, 183–192. [Google Scholar] [CrossRef]
- Geng, Z.; Zhang, Y.; Li, C.; Han, Y.; Cui, Y.; Yu, B. Energy optimization and prediction modeling of petrochemical industries: An improved convolutional neural network based on cross-feature. Energy 2020, 194, 116851. [Google Scholar] [CrossRef]
- Han, Y.; Zhou, R.; Geng, Z.; Bai, J.; Ma, B.; Fan, J. A novel data envelopment analysis cross-model integrating interpretative structural model and analytic hierarchy process for energy efficiency evaluation and optimization modeling: Application to ethylene industries. J. Clean. Prod. 2020, 246, 118965. [Google Scholar] [CrossRef]
- Henze, M.; Harremoes, P.; Arvin, E.; Lacour, J. Wastewater Treatment. Biological and Chemical Processes; Springer: Berlin/Heidelberg, Germany, 2002. [Google Scholar]
- Lou, I.; Zhao, Y. Sludge Bulking Prediction Using Principle Component Regression and Artificial Neural Network. Math. Probl. Eng. 2012, 2012, 1–17. [Google Scholar] [CrossRef]
- Boztoprak, H.; Özbay, Y.; Güçlü, D.; Küçükhemek, M. Prediction of sludge volume index bulking using image analysis and neural network at a full-scale activated sludge plant. Desalin. Water Treat. 2016, 57, 17195–17205. [Google Scholar] [CrossRef]
- Han, H.-G.; Li, Y.; Guo, Y.-N.; Qiao, J.-F. A soft computing method to predict sludge volume index based on a recurrent self-organizing neural network. Appl. Soft Comput. 2016, 38, 477–486. [Google Scholar] [CrossRef]
- Sutha, K.; Tamilselvi Jebamalar, J. Machine Learning Based Supervised Feature Selection Algorithm for Data Mining. Int. J. Innov. Technol. Explor. Eng. 2019, 8, 3396–3401. [Google Scholar]
- Mageswary, G.; Karthikeyan, M. Statistical based Feature Selection and Ensemble Model for Network Intrusion Detection using Data Mining Technique. Int. J. Recent Technol. Eng. 2019, 8, 858–864. [Google Scholar]
- Comas, J.; Rodríguez-Roda, I.; Gernaey, K.V.; Rosen, C.; Jeppsson, U.; Poch, M. Risk assessment modelling of microbiology-related solids separation problems in activated sludge systems. Environ. Model. Softw. 2008, 23, 1250–1261. [Google Scholar] [CrossRef]
- Aarnio, P.; Minkkinen, P. Application of partial least-squares modelling in the optimization of a waste-water treatment plant. Anal. Chim. Acta 1986, 191, 457–460. [Google Scholar] [CrossRef]
- Capodaglio, A. Sludge bulking analysis and forecasting: Application of system identification and artificial neural computing technologies. Water Res. 1991, 25, 1217–1224. [Google Scholar] [CrossRef]
- Cortés, U.; Martínez, M.; Comas, J.; Sànchez-Marrè, M.; Poch, M.; Rodríguez-Roda, I. A conceptual model to facilitate knowledge sharing for bulking solving in wastewater treatment plants. AI Commun. 2003, 16, 279–289. [Google Scholar]
- Flores-Alsina, X.; Comas, J.; Roda, I.R.; Poch, M.; Gernaey, K.V.; Jeppsson, U. Evaluation of plant-wide WWTP control strategies including the effects of filamentous bulking sludge. Water Sci. Technol. 2009, 60, 2093–2103. [Google Scholar] [CrossRef] [PubMed]
- Flores-Alsina, X.; Comas, J.; Rodriguez-Roda, I.; Gernaey, K.V.; Rosen, C. Including the effects of filamentous bulking sludge during the simulation of wastewater treatment plants using a risk assessment model. Water Res. 2009, 43, 4527–4538. [Google Scholar] [CrossRef] [PubMed]
- Deepnarain, N.; Nasr, M.; Kumari, S.; Stenström, T.A.; Reddy, P.; Pillay, K.; Bux, F. Decision tree for identification and prediction of filamentous bulking at full-scale activated sludge wastewater treatment plant. Process Saf. Environ. Prot. 2019, 126, 25–34. [Google Scholar] [CrossRef]
- Vitorino, D.; Coelho, S.T.; Santos, P.; Sheets, S.; Jurkovac, B.; Amado, C. A Random Forest Algorithm Applied to Condition-based Wastewater Deterioration Modeling and Forecasting. Procedia Eng. 2014, 89, 401–410. [Google Scholar] [CrossRef]
- Youssef, A.M.; Pourghasemi, H.R.; Pourtaghi, Z.S.; Al-Katheeri, M.M. Landslide susceptibility mapping using random forest, boosted regression tree, classification and regression tree, and general linear models and comparison of their performance at Wadi Tayyah Basin, Asir Region, Saudi Arabia. Landslides 2016, 13, 839–856. [Google Scholar] [CrossRef]
- Yurtsever, M.; Yurtsever, U. Use of a convolutional neural network for the classification of microbeads in urban wastewater. Chemosphere 2019, 216, 271–280. [Google Scholar] [CrossRef]
- Zhao, X.; Barber, S.; Taylor, C.C.; Milan, Z. Interval forecasts based on regression trees for streaming data. Adv. Data Anal. Classif. 2019. [Google Scholar] [CrossRef]
- Shih, Y.-S.; Liu, K.-H. Regression trees for detecting preference patterns from rank data. Adv. Data Anal. Classif. 2019, 13, 683–702. [Google Scholar] [CrossRef]
- Ma, X. Using Classification and Regression Trees: A Practical Primer; Information Age Publishing: Charlotte, NC, USA, 2018. [Google Scholar]
- Esmaily, H.; Tayefi, M.; Doosti, H.; Ghayour-Mobarhan, M.; Nezami, H.; Amirabadizadeh, A. A Comparison between Decision Tree and Random Forest in Determining the Risk Factors Associated with Type 2 Diabetes. J. Res. Health Sci. 2018, 18, 1–7. [Google Scholar]
- Barnard, D.M.; Germino, M.J.; Pilliod, D.S.; Arkle, R.S.; Applestein, C.; Davidson, B.E.; Fisk, M.R. Cannot see the random forest for the decision trees: Selecting predictive models for restoration ecology. Restor. Ecol. 2019, 27, 1053–1063. [Google Scholar] [CrossRef]
- Ahmad, M.W.; Reynolds, J.; Rezgui, Y. Predictive modelling for solar thermal energy systems: A comparison of support vector regression, random forest, extra trees and regression trees. J. Clean. Prod. 2018, 203, 810–821. [Google Scholar] [CrossRef]
- Breiman, L. Random Forests. Mach. Learn. 2001, 45, 5–32. [Google Scholar] [CrossRef]
- Friedman, J.H. Stochastic gradient boosting. Comput. Stat. Data Anal. 2002, 38, 367–378. [Google Scholar] [CrossRef]
- Paul, A.; Mukherjee, D.P.; Das, P.; Gangopadhyay, A.; Chintha, A.R.; Kundu, S. Improved Random Forest for Classification. IEEE Trans. Image Process. 2018, 27, 4012–4024. [Google Scholar] [CrossRef] [PubMed]
- Senagi, K.; Jouandeau, N. A Non-Deterministic Strategy for Searching Optimal Number of Trees Hyperparameter in Random Forest. In 2018 Federated Conference on Computer Science and Information Systems; IEEE: Piscataway, NJ, USA, 2018; pp. 73–80. [Google Scholar]
- Güçlü, D.; Dursun, S. Artificial neural network modelling of a large-scale wastewater treatment plant operation. Bioprocess Biosyst. Eng. 2010, 33, 1051–1058. [Google Scholar] [CrossRef]
- Hastie, T.; Tibshirani, R.; Friedman, J. The Elements of Statistical Learning; Springer Series in Statistics; Springer: New York, NY, USA, 2009. [Google Scholar]
- Rumelhart, D.E.; Hinton, G.E.; Williams, R.J. Learning Internal Representations by Error Propagation. In Parallel Distributed Processing; Rumelhart, D.E., Mcclelland, J.L., Eds.; MIT Press: Cambridge, MA, USA, 1986; Volume 1, pp. 318–362. [Google Scholar]
- Haykin, S. Neural Networks: A Comprehensive Foundation, 2nd ed.; Prentice Hall PTR: Upper Saddle River, NJ, USA, 1998. [Google Scholar]
- Hecht-Nielsen, R. Kolmogorov’s mapping neural network existence theorem. In Proceedings of the 1st IEEE International Joint Conference of Neural Networks; Academic Press: New York, NY, USA, 1987; Volume 3, pp. 11–14. [Google Scholar]
- Burges, C. A Tutorial on Support Vector Machines for Pattern Recognition. Data Min. Knowl. Discov. 1998, 2, 121–167. [Google Scholar]
- Vapnik, V. The Support Vector Method of Function Estimation. In Nonlinear Modeling; Springer: Boston, MA, USA, 1998; pp. 55–85. [Google Scholar]
- Han, H.; Qiao, J. Hierarchical Neural Network Modeling Approach to Predict Sludge Volume Index of Wastewater Treatment Process. IEEE Trans. Control Syst. Technol. 2013, 21, 2423–2431. [Google Scholar] [CrossRef]
- Honggui, H.; Ying, L.; Junfei, Q. A fuzzy neural network approach for online fault detection in waste water treatment process. Comput. Electr. Eng. 2014, 40, 2216–2226. [Google Scholar] [CrossRef]
- Kusiak, A.; Zeng, Y.; Zhang, Z. Modeling and analysis of pumps in a wastewater treatment plant: A data-mining approach. Eng. Appl. Artif. Intell. 2013, 26, 1643–1651. [Google Scholar] [CrossRef]
- Asadi, A.; Verma, A.; Yang, K.; Mejabi, B. Wastewater treatment aeration process optimization: A data mining approach. J. Environ. Manag. 2017, 203, 630–639. [Google Scholar] [CrossRef]
- Zaborowska, E.; Czerwionka, K.; Makinia, J. Strategies for achieving energy neutrality in biological nutrient removal systems—A case study of the Slupsk WWTP (northern Poland). Water Sci. Technol. 2017, 75, 727–740. [Google Scholar] [CrossRef]
- Flores-Alsina, X.; Arnell, M.; Amerlinck, Y.; Corominas, L.; Gernaey, K.V.; Guo, L.; Lindblom, E.; Nopens, I.; Porro, J.; Shaw, A.; et al. Balancing effluent quality, economic cost and greenhouse gas emissions during the evaluation of (plant-wide) control/operational strategies in WWTPs. Sci. Total Environ. 2014, 466, 616–624. [Google Scholar] [CrossRef] [PubMed]
- Bayo, J.; Angosto, J.M.; Serrano-Aniorte, J.; Cascales-Pujalte, J.A.; Fernández-López1, C.; López-Castellanos, J. Evaluation of physicochemical parameters influencing bulking episodes in a municipal wastewater treatment plant. In Water Pollution VIII: Modelling, Monitoring and Management; WIT Transactions on Ecology and the Environment, Volume 95; WIT Press: Southampton, UK, 2006; Volume 1, pp. 531–540. [Google Scholar]
- Feuerman, M.; Miller, A.R. Relationships between statistical measures of agreement: Sensitivity, specificity and kappa. J. Eval. Clin. Pract. 2008, 14, 930–933. [Google Scholar] [CrossRef] [PubMed]
- Procházka, A.; Vyšata, O.; Ťupa, O.; Yadollahi, M.; Vališ, M. Discrimination of axonal neuropathy using sensitivity and specificity statistical measures. Neural Comput. Appl. 2014, 25, 1349–1358. [Google Scholar] [CrossRef]
- Farmer, E.J. Detecting Leaks in Pipelines; International Society of Automation: Research Triangle Park, NC, USA, 2018. [Google Scholar]
- Martins, A.M.P.; Heijnen, J.J.; van Loosdrecht, M.C.M. Bulking sludge in biological nutrient removal systems. Biotechnol. Bioeng. 2004, 86, 125–135. [Google Scholar] [CrossRef] [PubMed]
- Kowalska, E.; Paturej, E.; Zielińska, M. Use of Lecane inermis for control of sludge bulking caused by the Haliscomenobacter genus. Desalin. Water Treat. 2016, 57, 10916–10923. [Google Scholar] [CrossRef]
- Bezak-Mazur, E.; Stoińska, R.; Szeląg, B. Evaluation of the impact of operational parameters and particular filamentous bacteria on activated sludge volume index—Case study. Ann. Set. Environ. Prot. 2016, 18, 487. [Google Scholar]
- Szeląg, B.; Barbusiński, K.; Studziński, J. Application of the model of sludge volume index forecasting to assess reliability and improvement of wastewater treatment plant operating conditions. Desalin. Water Treat. 2019, 140, 143–154. [Google Scholar] [CrossRef]
- Alex, J.; Benedetti, L.; Copp, J.; Gernaey, K.V.; Jeppsson, U.; Nopens, I.; Pons, M.-N.; Steyer, J.-P.; Vanrolleghem, P.A. Benchmark Simulation Model No. 1 (BSM1); Lund University: Lund, Sweden, 2008; Volume TEIE-7229. [Google Scholar]
- Corominas, L.; Larsen, H.F.; Flores-Alsina, X.; Vanrolleghem, P.A. Including Life Cycle Assessment for decision-making in controlling wastewater nutrient removal systems. J. Environ. Manag. 2013, 128, 759–767. [Google Scholar] [CrossRef]
- Kim, M.; Kim, Y.; Kim, H.; Piao, W.; Kim, C. Evaluation of the k-nearest neighbor method for forecasting the influent characteristics of wastewater treatment plant. Front. Environ. Sci. Eng. 2016, 10, 299–310. [Google Scholar] [CrossRef]
- Wilimowska, Z.; Borzemski, L.; Świątek, J. (Eds.) Information Systems Architecture and Technology: Proceedings of 38th International Conference on Information Systems Architecture and Technology—ISAT 2017. In Advances in Intelligent Systems and Computing; Springer International Publishing: Cham, Switzerland, 2018; Volume 657. [Google Scholar]
- Ahnert, M.; Marx, C.; Krebs, P.; Kuehn, V. A black-box model for generation of site-specific WWTP influent quality data based on plant routine data. Water Sci. Technol. 2016, 74, 2978–2986. [Google Scholar] [CrossRef]
- Jurik, L.; Kaletova, T.; Sedmakova, M.; Balazova, P.; Cervenanska, A. Comparison of service characteristics of two town’s WWTP. J. Ecol. Eng. 2017, 18, 61–67. [Google Scholar] [CrossRef][Green Version]
- Rössle, W.H.; Pretorius, W.A. Batch and automated SVI measurements based on short-term temperature variations. Water SA 2019, 34, 237. [Google Scholar] [CrossRef]
- Bagheri, M.; Mirbagheri, S.A.; Bagheri, Z.; Kamarkhani, A.M. Modeling and optimization of activated sludge bulking for a real wastewater treatment plant using hybrid artificial neural networks-genetic algorithm approach. Process Saf. Environ. Prot. 2015, 95, 12–25. [Google Scholar] [CrossRef]
- Han, H.-G.; Qiao, J.-F. Prediction of activated sludge bulking based on a self-organizing RBF neural network. J. Process Control 2012, 22, 1103–1112. [Google Scholar] [CrossRef]
- Mirbagheri, S.A.; Bagheri, M.; Boudaghpour, S.; Ehteshami, M.; Bagheri, Z. Performance evaluation and modeling of a submerged membrane bioreactor treating combined municipal and industrial wastewater using radial basis function artificial neural networks. J. Environ. Health Sci. Eng. 2015, 13, 17. [Google Scholar] [CrossRef]
- Pham, B.T.; Pradhan, B.; Tien Bui, D.; Prakash, I.; Dholakia, M.B. A comparative study of different machine learning methods for landslide susceptibility assessment: A case study of Uttarakhand area (India). Environ. Model. Softw. 2016, 84, 240–250. [Google Scholar] [CrossRef]
- Dreiseitl, S.; Ohno-Machado, L. Logistic regression and artificial neural network classification models: A methodology review. J. Biomed. Inform. 2002, 35, 352–359. [Google Scholar] [CrossRef]
- Kusiak, A.; Wei, X. Prediction of methane production in wastewater treatment facility: A data-mining approach. Ann. Oper. Res. 2014, 216, 71–81. [Google Scholar] [CrossRef]







| Indicators | Units | Winter | Spring-Fall | ||||||
|---|---|---|---|---|---|---|---|---|---|
| Min | Mean | Max | Standard Deviation | Min | Mean | Max | Standard Deviation | ||
| Q | m3/d | 29,952 | 39,364 | 88,986 | 6563 | 30,125 | 41,842 | 94,772 | 8559 |
| BOD | mgO2/l | 151 | 290 | 489 | 81.83 | 132 | 340 | 557 | 81.2 |
| COD | mg O2/l | 384 | 782 | 1183 | 161.4 | 342 | 820 | 1703 | 178.2 |
| TSS | mg/l | 136 | 315 | 474 | 62.76 | 110 | 350 | 572 | 89.4 |
| N-NH4 | mg/l | 28 | 48.9 | 62 | 5.68 | 22 | 54.52 | 66.9 | 7.13 |
| TN | mg/l | 56.2 | 82.01 | 95.16 | 8.42 | 39.9 | 95.15 | 124.1 | 11.58 |
| TP | mg/l | 3.1 | 7.22 | 12.1 | 1.44 | 3.5 | 7.83 | 12.6 | 1.65 |
| T | °C | 10 | 11.9 | 13.5 | 0.8 | 11.3 | 17.8 | 23 | 3.1 |
| DO | mg/l | 1.8 | 2.85 | 3.25 | 0.8 | 1.51 | 2.2 | 3.25 | 0.65 |
| MLSS | mg/l | 2.85 | 4.95 | 6.54 | 0.84 | 2.15 | 4.11 | 5.28 | 0.95 |
| MLSSR | mg/l | 6.62 | 8.7 | 14.92 | 0.72 | 5.03 | 7.81 | 11.86 | 0.1 |
| WAS | t.s.m/d | 12.69 | 15.35 | 18.35 | 3.51 | 10.02 | 12.35 | 17.25 | 3.77 |
| RAS | % | 85.2 | 102.9 | 152 | 16.25 | 75.2 | 83.06 | 120.5 | 24.4 |
| SVI | cm3/g | 154 | 198 | 291 | 35 | 90 | 138 | 200 | 37 |
| mPIX | m3/d | 0 | 0.81 | 1.75 | 0.27 | 0 | 0.84 | 1.82 | 0.28 |
| Independent | BT | LR | MLP | SVM | RF | |||||||||
|---|---|---|---|---|---|---|---|---|---|---|---|---|---|---|
| SP | SE | N.T. | SP | SE | SP | SE | N:H:E | SP | SE | C, γ | SP | SE | N.T. | |
| A | 0.65 | 0.81 | 19 | 0.27 | 0.88 | 0.42 | 0.87 | 5:exp,lin | 0.38 | 0.92 | 900,0.35 | 0.46 | 0.88 | 170 |
| B | 0.88 | 0.81 | 88 | 0.35 | 0.94 | 0.31 | 0.96 | 4: sin,lin | 0.31 | 0.98 | 100,0.40 | 0.35 | 0.88 | 60 |
| C | 0.62 | 0.83 | 19 | 0.27 | 0.92 | 0.46 | 0.88 | 3: lin,lin | 0.50 | 0.85 | 1000,0.25 | 0.46 | 0.88 | 20 |
| A,B | 0.85 | 0.83 | 19 | 0.38 | 0.90 | 0.48 | 0.92 | 8:exp,tanh | 0.42 | 0.98 | 800; 0.35 | 0.00 | 1.00 | 25 |
| A/B | 0.77 | 0.73 | 11 | 0.27 | 0.85 | 0.35 | 0.94 | 3: tanh, lin | 0.54 | 0.85 | 800;0.25 | 0.58 | 0.81 | 40 |
| A/C | 0.73 | 0.75 | 38 | 0.35 | 0.85 | 0.35 | 0.92 | 3:sin,lin | 0.50 | 0.90 | 800;0.35 | 0.69 | 0.79 | 40 |
| A,C | 0.65 | 0.75 | 11 | 0.27 | 0.85 | 0.31 | 0.94 | 3:tanh,lin | 0.54 | 0.87 | 800;0.80 | 0.58 | 0.79 | 40 |
| D | 0.81 | 0.88 | 183 | 0.65 | 0.87 | 0.73 | 0.85 | 3:exp, sin | 0.62 | 0.88 | 900;0.33 | 0.88 | 0.77 | 30 |
| D,A/B | 0.88 | 0.77 | 10 | 0.68 | 0.87 | 0.65 | 0.87 | 4:lin,exp | 0.73 | 0.85 | 800;0.35 | 0.88 | 0.81 | 40 |
| D,A/C | 0.88 | 0.88 | 155 | 0.68 | 0.88 | 0.69 | 0.85 | 3:lin,lin | 0.73 | 0.87 | 800;0.33 | 0.88 | 0.80 | 30 |
| D,B | 0.88 | 0.77 | 10 | 0.62 | 0.88 | 0.65 | 0.90 | 7:tanh,lin | 0.73 | 0.87 | 900;0.33 | 0.88 | 0.82 | 10 |
| D,B,C | 0.88 | 0.80 | 24 | 0.62 | 0.88 | 0.68 | 0.90 | 6:tanh,lin | 0.76 | 0.88 | 800;0.25 | 0.88 | 0.86 | 30 |
| D,A,B,C | 0.92 | 0.83 | 14 | 0.65 | 0.92 | 0.69 | 0.94 | 9:lin,sin | 0.77 | 0.90 | 1000;0.25 | 0.85 | 0.87 | 30 |
| E | 0.88 | 0.75 | 119 | 0.62 | 0.83 | 0.88 | 0.92 | 5:log,exp | 0.85 | 0.88 | 900;0.40 | 0.50 | 0.98 | 119 |
| E,D | 0.95 | 0.96 | 98 | 0.88 | 0.96 | 0.92 | 1.00 | 5:exp,lin | 1.00 | 0.98 | 900;0.25 | 0.88 | 0.92 | 30 |
| E,F | 0.96 | 0.87 | 98 | 0.65 | 0.90 | 0.88 | 0.96 | 5:lin,lin | 0.88 | 0.96 | 900;0.20 | 0.46 | 1.00 | 200 |
| F | 0.92 | 0.81 | 195 | 0.00 | 1.00 | 0.46 | 0.90 | 4:tanh,tanh | 0.58 | 0.85 | 900;0.50 | 0.92 | 0.71 | 30 |
| D,F | 0.88 | 0.77 | 15 | 0.62 | 0.88 | 0.73 | 0.85 | 7:log,lin | 0.65 | 0.88 | 700;0.33 | 0.88 | 0.77 | 30 |
| D,F,B | 0.92 | 0.90 | 15 | 0.65 | 0.90 | 0.69 | 0.90 | 7:exp, lin | 0.69 | 0.90 | 700;0.25 | 0.85 | 0.85 | 30 |
| D,F,A/B | 0.90 | 0.84 | 5 | 0.70 | 0.88 | 0.85 | 0.79 | 6:tanh,lin | 0.81 | 0.87 | 900;0.33 | 0.88 | 0.77 | 30 |
| D,F,B,C | 0.88 | 0.81 | 10 | 0.65 | 0.90 | 0.69 | 0.92 | 8:tanh,tanh | 0.81 | 0.88 | 800;0.25 | 0.88 | 0.85 | 30 |
| F,B | 0.85 | 0.88 | 114 | 0.35 | 0.92 | 0.50 | 0.87 | 3:tanh,tanh | 0.46 | 0.96 | 700;0.20 | 0.88 | 0.77 | 140 |
| F,B,C | 0.92 | 0.92 | 186 | 0.31 | 0.94 | 0.55 | 0.96 | 5:sin,lin | 0.54 | 0.85 | 500;0.35 | 0.54 | 0.85 | 20 |
| F,C | 0.85 | 0.73 | 15 | 0.23 | 0.90 | 0.50 | 0.88 | 3:lin,lin | 0.54 | 0.87 | 600;0.40 | 0.50 | 0.75 | 30 |
| D,F,E | 1.00 | 0.93 | 162 | 0.88 | 0.96 | 0.96 | 0.98 | 7:exp,lin | 0.96 | 0.98 | 600;0.25 | 0.08 | 1.00 | 30 |
| A/C,F,E | 1.00 | 0.88 | 119 | 0.69 | 0.90 | 0.88 | 0.94 | 7:lin,lin | 0.88 | 0.94 | 600;0.35 | 0.85 | 1.00 | 30 |
| A/C,F,E,D | 1.00 | 0.96 | 195 | 0.92 | 0.96 | 0.91 | 0.95 | 7: lin,sin | 0.93 | 1.00 | 600;0.20 | 0.46 | 1.00 | 60 |
| A/C,A/B,F,E,D | 1.00 | 0.97 | 100 | 0.94 | 0.96 | 0.92 | 1.00 | 3:tanh,exp | 0.94 | 0.98 | 200;0.33 | 0.88 | 1.00 | 100 |
| B,C,E,F,D | 1.00 | 0.96 | 119 | 0.96 | 0.94 | 0.95 | 1.00 | 8:tanh,lin | 0.88 | 0.98 | 100;0.17 | 0.81 | 1.00 | 70 |
| B,C,E,F,D,G | 1.00 | 0.98 | 195 | 0.96 | 0.98 | 0.99 | 1.00 | 4: lin,lin | 0.92 | 0.98 | 100;0.25 | 0.88 | 0.96 | 70 |
| B,C,E,F | 0.96 | 0.88 | 195 | 0.85 | 0.94 | 0.93 | 0.99 | 4: lin,lin | 0.69 | 0.96 | 200;0.35 | 0.66 | 0.91 | 70 |
| B,E,F,D,G | 1.00 | 0.96 | 195 | 0.85 | 0.94 | 0.95 | 1.00 | 6:lin,tanh | 0.92 | 0.98 | 50;0.25 | 0.85 | 0.92 | 30 |
| B,E,F,D | 1.00 | 0.94 | 195 | 0.96 | 0.96 | 0.97 | 1.00 | 5: tanh,log | 0.92 | 0.95 | 70;0.20 | 0.73 | 1.00 | 30 |
| A/C,A/B,F,E,D,G | 1.00 | 0.98 | 195 | 0.97 | 0.96 | 1.00 | 0.98 | 9:exp,lin | 0.98 | 0.99 | 100;0.14 | 0.93 | 1.00 | 30 |
| A/C,A/B,F,E,G | 1.00 | 0.90 | 119 | 0.73 | 0.88 | 0.81 | 0.96 | 4:lin,lin | 0.88 | 0.94 | 900;0.25 | 0.85 | 0.96 | 170 |
| F,E,G | 0.96 | 0.88 | 119 | 0.65 | 0.90 | 0.78 | 0.96 | 8:sin,exp | 0.81 | 0.94 | 700;0.35 | 0.77 | 0.94 | 30 |
| F,E,G,D | 1.00 | 0.96 | 199 | 0.96 | 0.96 | 0.96 | 0.96 | 7:exp,lin | 1.00 | 0.94 | 700;0.2 | 0.81 | 1.00 | 40 |
| δ/λ | 0 | 1/3 | 1/3 | 1/3 (2/3) | 2/3 | 2/3 | 3/3 | |
|---|---|---|---|---|---|---|---|---|
| f(δ)/f(λ) | 0 | 1/6 | 2/6 | 3/6 | 4/6 | 5/6 | 6/6 | |
| 0 | 0 | X | BT | BT | BT | BT | BT | BT |
| 1/3 | 1/6 | RF | BT | RF | RF | RF | RF | BT |
| 1/3 | 2/6 | BT | MLP | BT | BT | BT | BT | BT |
| 1/3(2/3) | 3/6 | BT | BT | MLP | BT | BT | BT | MLP |
| 2/3 | 4/6 | SVM | BT | MLP | SVM | BT | MLP | BT |
| 2/3 | 5/6 | SVM | MLP | MLP | BT | MLP | MLP | BT |
| 3/3 | 6/6 | SVM | SVM | MLP | BT | SVM | BT | BT |
| δ/λ | 0 | 1/3 | 1/3 | 1/3 (2/3) | 2/3 | 2/3 | 3/3 | |
|---|---|---|---|---|---|---|---|---|
| f(δ)/f(λ) | 0 | 1/6 | 2/6 | 3/6 | 4/6 | 5/6 | 6/6 | |
| 0 | 0 | X | BT | BT | BT | BT | BT | BT |
| 1/3 | 1/6 | RF | BT | RF | RF | RF | RF | BT |
| 1/3 | 2/6 | BT | MLP | BT | BT | BT | BT | BT |
| 1/3(2/3) | 3/6 | LRVG | LRVG | LRVG | LRVG | LRVG | LRVG | LRVG |
| 2/3 | 4/6 | LRVG | LREX | LREX | LREX | LREX | LREX | LREX |
| 2/3 | 5/6 | SVM | LRVG | LRVG | LRVG | LRVG | LRVG | LREX |
| 3/3 | 6/6 | LRVG | SVM | MLP | BT | SVM | LREX | LREX |
| f(t) | 0 | 1 | 0 | 0 | 1 | 0 | 1 | |
|---|---|---|---|---|---|---|---|---|
| δ/λ | 0 | 1/3 | 1/3 | 1/3 (2/3) | 2/3 | 2/3 | 3/3 | |
| f(δ)/f(λ) | 0 | 1/6 | 2/6 | 3/6 | 4/6 | 5/6 | 6/6 | |
| 0 | 0 | X | X | BT | BT | X | BT | X |
| 1/3 | 1/6 | RF | X | RF | RF | X | RF | X |
| 1/3 | 2/6 | BT | X | BT | BT | X | BT | X |
| 1/3(2/3) | 3/6 | BT | X | MLP | BT | X | BT | X |
| 2/3 | 4/6 | SVM | X | MLP | SVM | X | MLP | X |
| 2/3 | 5/6 | SVM | X | MLP | BT | X | MLP | X |
| 3/3 | 6/6 | SVM | X | MLP | BT | X | BT | X |
© 2020 by the authors. Licensee MDPI, Basel, Switzerland. This article is an open access article distributed under the terms and conditions of the Creative Commons Attribution (CC BY) license (http://creativecommons.org/licenses/by/4.0/).
Share and Cite
Szeląg, B.; Drewnowski, J.; Łagód, G.; Majerek, D.; Dacewicz, E.; Fatone, F. Soft Sensor Application in Identification of the Activated Sludge Bulking Considering the Technological and Economical Aspects of Smart Systems Functioning. Sensors 2020, 20, 1941. https://doi.org/10.3390/s20071941
Szeląg B, Drewnowski J, Łagód G, Majerek D, Dacewicz E, Fatone F. Soft Sensor Application in Identification of the Activated Sludge Bulking Considering the Technological and Economical Aspects of Smart Systems Functioning. Sensors. 2020; 20(7):1941. https://doi.org/10.3390/s20071941
Chicago/Turabian StyleSzeląg, Bartosz, Jakub Drewnowski, Grzegorz Łagód, Dariusz Majerek, Ewa Dacewicz, and Francesco Fatone. 2020. "Soft Sensor Application in Identification of the Activated Sludge Bulking Considering the Technological and Economical Aspects of Smart Systems Functioning" Sensors 20, no. 7: 1941. https://doi.org/10.3390/s20071941
APA StyleSzeląg, B., Drewnowski, J., Łagód, G., Majerek, D., Dacewicz, E., & Fatone, F. (2020). Soft Sensor Application in Identification of the Activated Sludge Bulking Considering the Technological and Economical Aspects of Smart Systems Functioning. Sensors, 20(7), 1941. https://doi.org/10.3390/s20071941

