Energy-Efficient Protocol of Link Scheduling in Cognitive Radio Body Area Networks for Medical and Healthcare Applications †
Abstract
1. Introduction
- ELS allows each CRBAN to tune its working channel to the idle channel that is not occupied by the primary user (PU).
- ELS allows the gateway to schedule the transmission of multiple CRBANs into one data channel.
- ELS enables vital data from CRBANs to be aggregated at the gateway and forwarded to different medical servers.
2. System Model
2.1. Network Model
2.2. Channel Model for CRBAN Transmission
3. Energy-Efficient Link Scheduling Protocol for CRBANs
3.1. Energy-Efficient Link Scheduling
| Algorithm 1. Energy-efficient link scheduling at the gateway. |
| Input:N CRBANs, List of idle channels Ck, and synchronized time of superframe T0 Output: List of data channel and the start_time for N CRBANs 1. For each Ck ∈ CU ∪ CL 2. Find the sublist of CRBANs: SLk(t) = {SLk(t) ∩ Bi | Ck ∈ Li(t), 1 ≤ i ≤ N} 3. Assign ΔT = T0 4. Calculate T(CBi) as in (4) 5. For each CBi ∈ SLk(t) 6. Find CBi so that CBi has the highest priority value p(CBi) 7. If (CBi is not scheduled) 8. Set data channel for CBi: Chik(t) = 1 9. Set start_time for CBi: ΔT(CBi) = ΔT 10. Remove CBi out of SLk(t) 11. Update ΔT = ΔT(CBi) + T(CBi) 12. SYNC adds {Chik(t) = 1, ΔT(CBi)} 13. Else 14 Continue 15 End If 16. End For 17. End For 18. Broadcast SYNC |
3.2. Intra-CRBAN Data Transmission
| Algorithm 2. Intra-CRBAN data transmission. |
| Input: Information of data channel and start_time of CBi {Chik(t) = 1, ΔT(Bi)}, length of frame T, time slot for data transmission ts, set of unscheduled sensors sij ∈ CBi Output: Data transmission schedule of the sensor nodes 1. Assign schedule = ø 2. For each sij ∈ CBi 3. Find the sij so that (pij)max 4. Add sij to the schedule: schedule = {sij} 5. Assign start_time(sij ) = ΔT(Bi) 6. Update current_time = ΔT(Bi) + ts 7. Remove sij out of CBi 8. End For |
3.3. Link Scheduling Example in Multiple CRBANs
3.4. ELS Evaluation in Different Network Scenarios
4. Energy Consumption Analysis
4.1. Energy Consumption per CRBAN
4.2. Energy Consumption per CRBAN in Different Network Scenarios
5. Performance Evaluation
5.1. Simulation Environment
5.2. Simulation Results and Discussion
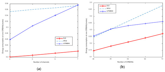
5.2.1. Energy Consumption at CRBANs
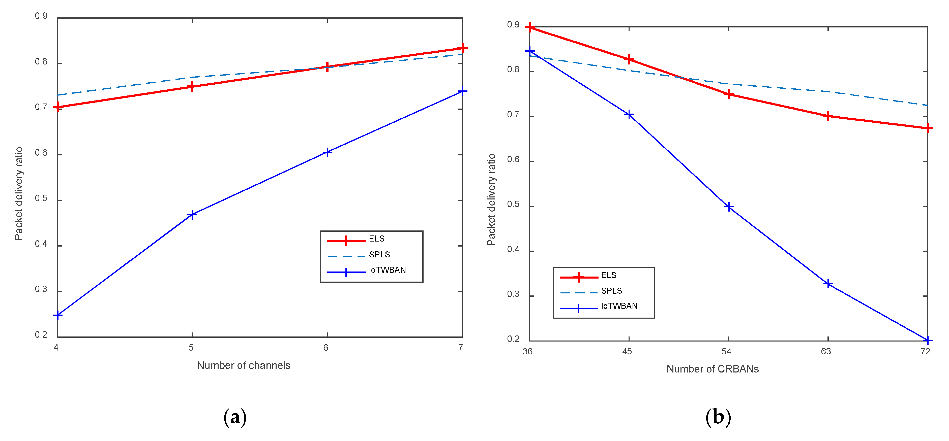
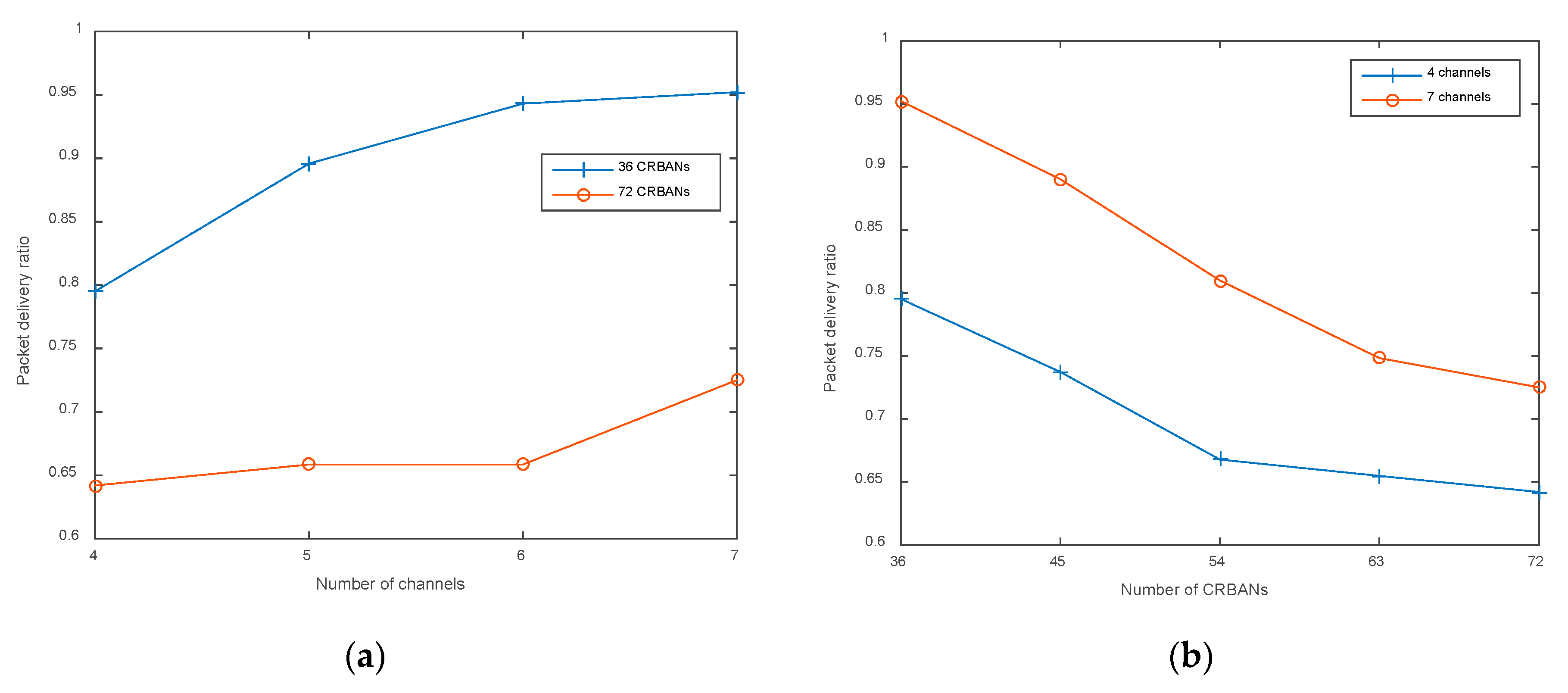
5.2.2. Packet Delivery Ratio
5.2.3. Delay per Packet
6. Conclusion
Author Contributions
Funding
Acknowledgments
Conflicts of Interest
References
- IEEE Standard for Local and Metropolitan Area Networks—Part 15.6: Wireless Body Area Networks; IEEE: Piscataway, NJ, USA, 2012; pp. 1–271.
- Filipe, F.; Fdez-Riverola, N.; Costa, N.; Pereira, A. Wireless Body Area Networks for Healthcare Applications: Protocol Stack Review. Int. J. Distrib. Sens. Netw. 2015, 11, 213705. [Google Scholar] [CrossRef]
- Phunchongharn, P.; Hossain, E.; Niyato, D.; Camorlinga, S. A Cognitive Radio System for E-health Applications in a Hospital Environment. IEEE Wirel. Commun. 2010, 17, 20–28. [Google Scholar] [CrossRef]
- Chávez-Santiago, R.; Balasingham, I. Cognitive Radio for Medical Wireless Body Area Networks. In Proceedings of the IEEE 16th International Workshop on Computer Aided Modeling and Design of Communication Links and Networks (CAMAD), Kyoto, Japan, 10–11 June 2011; pp. 148–152. [Google Scholar]
- Le, T.T.T.; Moh, S. Interference mitigation schemes for wireless body area sensor networks: A comparative survey. Sensors 2015, 15, 13805–13838. [Google Scholar] [CrossRef]
- Rashid, M.; Hossain, M.; Hossain, E.; Bhargava, V. Opportunistic Spectrum Scheduling for Multiuser Cognitive Radio: A Queueing Analysis. IEEE Trans. Wirel. Commun. 2009, 8, 5259–5269. [Google Scholar] [CrossRef]
- Shabnam, S.; Bozorgchami, B.; Aghvami, H. Technologies and Challenges for Cognitive Radio Enabled Medical Wireless Body Area Networks. IEEE Access 2018, 6, 29567–29586. [Google Scholar]
- Changyan, Y.; Cai, J. Transmission Management of Delay-Sensitive Medical Packets in beyond Wireless Body Area Networks: A Queueing Game Approach. IEEE Trans. Mob. Comput. 2018, 17, 2209–2222. [Google Scholar]
- Shen, Q.; Liu, J.; Yu, H.; Ma, Z.; Li, M.; Shen, Z.; Chen, C. Adaptive Cognitive Enhanced Platform for WBAN. In Proceedings of the IEEE/CIC International Conference on Communications in China (ICCC), Xi’an, China, 12–14 August 2013; pp. 739–744. [Google Scholar]
- Tauseef, A.; Moullec, Y.L. A QoS Optimization Approach in Cognitive Body Area Networks for Healthcare Applications. Sensors 2017, 17, 780. [Google Scholar]
- Le, T.T.T.; Moh, S. Energy-Efficient Link Scheduling for Cognitive Radio Body Area Networks in Medical Applications. In Proceedings of the 10th International Conference on ICT Convergence (ICTC), Jeju, Korea, 16–18 October 2019. [Google Scholar]
- Le, T.T.T.; Moh, S. A Spectrum-Aware Priority-Based Link Scheduling Algorithm for Cognitive Radio Body Area Networks. Sensors 2019, 19, 1640. [Google Scholar] [CrossRef] [PubMed]
- Ali, M.; Moungla, H.; Younis, M.; Mehaoua, A. IoT-enabled Channel Selection Approach for WBANs. In Proceedings of the 13th International Wireless Communications and Mobile Computing Conference (IWCMC), Valencia, Spain, 26–30 June 2017; pp. 1784–1790. [Google Scholar]
- Zou, S.; Xu, Y.; Wang, H.; Li, Z.; Chen, S.; Hu, B. A Survey on Secure Wireless Body Area Networks. Secur. Commun. Netw. 2017, 2017, 1–9. [Google Scholar] [CrossRef]
- Salim, S.; Moh, S. An Energy-Efficient Game-Theory-Based Spectrum Decision Scheme for Cognitive Radio Sensor Networks. Sensors 2016, 16, 1009. [Google Scholar] [CrossRef] [PubMed]
- Cotton, S.L.; D’Errico, R.; Oestges, C. A Review of Radio Channel Models for Body Centric Communications. Radio Sci. 2014, 49, 371–388. [Google Scholar] [CrossRef] [PubMed]










| Notation | Explanation |
|---|---|
| CBi | CRBAN index i |
| sij | Sensor node index j of CBi |
| pij | Traffic priority of sij: pij ∈ {p1, p2, p3} |
| Li(t) | List of idle channels of CBi |
| Ck | Channel index k, Ck ∈ (CL ∪ CU) |
| CL | Set of licensed channels |
| CU | Set of unlicensed channels |
| Chi,k(t) | Operation of CBi in channel Ck at superframe t |
| tREQ | Length of REQ packet |
| TTEQ | Total length of REQ packets of N CRBANs |
| tSYN | Length of SYNC packet |
| ΔT(CBi) | Start_time or the start of superframe of CBi |
| Chi,k(t) = 1 | CBi occupies channel Ck at superframe t |
| SF(t,Ck) | Superframe length of channel Ck |
| T(CBi) | Superframe length of CBi |
| Parameter | Value |
|---|---|
| Data slot time | 10 ms |
| Number of PUs | 9 (one PU per area) |
| Number of sensor per CRBAN | 6 |
| Number of CRBANs | 36–72 (54 by default) |
| Priority value | 1–3 (The highest priority is 3.) |
| Number of channels | 4–7 (5 by default) |
| Transmitted power of CRBAN | 10 dBm |
| Channel bandwidth | 1 MHz |
| Transmit current | 17.4 mA |
| Receive current | 19.7 mA |
| Energy consumption per channel switching | 2 mJ |
| Voltage | 3.3 V |
| Receiver sensitivity | −80 dBm |
© 2020 by the authors. Licensee MDPI, Basel, Switzerland. This article is an open access article distributed under the terms and conditions of the Creative Commons Attribution (CC BY) license (http://creativecommons.org/licenses/by/4.0/).
Share and Cite
Le, T.T.T.; Moh, S. Energy-Efficient Protocol of Link Scheduling in Cognitive Radio Body Area Networks for Medical and Healthcare Applications. Sensors 2020, 20, 1355. https://doi.org/10.3390/s20051355
Le TTT, Moh S. Energy-Efficient Protocol of Link Scheduling in Cognitive Radio Body Area Networks for Medical and Healthcare Applications. Sensors. 2020; 20(5):1355. https://doi.org/10.3390/s20051355
Chicago/Turabian StyleLe, Thien Thi Thanh, and Sangman Moh. 2020. "Energy-Efficient Protocol of Link Scheduling in Cognitive Radio Body Area Networks for Medical and Healthcare Applications" Sensors 20, no. 5: 1355. https://doi.org/10.3390/s20051355
APA StyleLe, T. T. T., & Moh, S. (2020). Energy-Efficient Protocol of Link Scheduling in Cognitive Radio Body Area Networks for Medical and Healthcare Applications. Sensors, 20(5), 1355. https://doi.org/10.3390/s20051355

