Simulation of Nanopore Sequencing Signals Based on BiGRU
Abstract
1. Introduction
2. Materials and Methods
2.1. Main Workflow
2.2. Gated Recurrent Units Neural Network
2.3. Proposed Signal Processing Model Based on BiGRU
2.4. Parameter Training of Proposed Signal Processing Model
2.5. Datasets
2.6. Analysis Methods of Simulation Results
3. Results and Discussion
3.1. Waveform Comparison of Two Filtered Signals
3.2. Analysis of Simulated Signals Using DTW Algorithm
3.3. Analysis of Simulated Signals Using CWT Algorithm
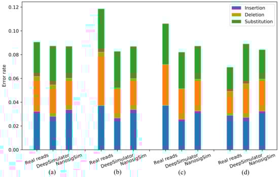
3.4. Analysis of Simulated Reads
3.5. Custom Model for Klebsiella Pneumoniae
4. Conclusions
Author Contributions
Funding
Conflicts of Interest
References
- Deamer, D.; Akeson, M.; Branton, D. Three decades of nanopore sequencing. Nat. Biotechnol. 2016, 34, 518–524. [Google Scholar] [CrossRef]
- Leggett, R.M.; Clark, M.D. A world of opportunities with nanopore sequencing. J. Exp. Bot. 2017, 68, 5419–5429. [Google Scholar] [CrossRef]
- Rang, F.J.; Kloosterman, W.P.; de Ridder, J. From squiggle to basepair: Computational approaches for improving nanopore sequencing read accuracy. Genome Biol. 2018, 19, 90. [Google Scholar] [CrossRef]
- Cherf, G.M.; Lieberman, K.R.; Rashid, H.; Lam, C.E.; Karplus, K.; Akeson, M. Automated forward and reverse ratcheting of DNA in a nanopore at 5-angstrom precision. Nat. Biotechnol. 2012, 30, 344–348. [Google Scholar] [CrossRef]
- Byrne, A.; Beaudin, A.E.; Olsen, H.E.; Jain, M.; Cole, C.; Palmer, T.; DuBois, R.M.; Forsberg, E.C.; Akeson, M.; Vollmers, C. Nanopore long-read RNAseq reveals widespread transcriptional variation among the surface receptors of individual B cells. Nat. Commun. 2017, 8, 16027. [Google Scholar] [CrossRef]
- Faria, N.R.; Sabino, E.C.; Nunes, M.R.T.; Alcantara, L.C.; Loman, N.J.; Pybus, O.G. Mobile real-time surveillance of Zika virus in Brazil. Genome Med. 2016, 8, 97. [Google Scholar] [CrossRef]
- Simpson, J.T.; Workman, R.E.; Zuzarte, P.C.; David, M.; Dursi, L.J.; Timp, W. Detecting DNA cytosine methylation using nanopore sequencing. Nat. Methods 2017, 14, 407–410. [Google Scholar] [CrossRef]
- Arima, A.; Harlisa, I.H.; Yoshida, T.; Tsutsui, M.; Tanaka, M.; Yokota, K.; Tonomura, W.; Yasuda, J.; Taniguchi, M.; Washio, T.; et al. Identifying single viruses using biorecognition solid-state nanopores. J. Am. Chem. Soc. 2018, 140, 16834–16841. [Google Scholar] [CrossRef]
- Varongchayakul, N.; Song, J.X.; Meller, A.; Grinstaff, M.W. Single-molecule protein sensing in a nanopore: A tutorial. Chem. Soc. Rev. 2018, 47, 8521. [Google Scholar] [CrossRef]
- Chinappi, M.; Cecconi, F. Protein sequencing via nanopore based devices: A nanofluidics perspective. J. Phys. Condes. Matter 2018, 30, 204002. [Google Scholar] [CrossRef]
- Fragasso, A.; Schmid, S.; Dekker, C. Comparing current noise in biological and solid-state nanopores. ACS Nano 2020, 14, 1338–1349. [Google Scholar] [CrossRef]
- Wee, Y.; Bhyan, S.B.; Liu, Y.N.; Lu, J.C.; Li, X.Y.; Zhao, M. The bioinformatics tools for the genome assembly and analysis based on third-generation sequencing. Brief. Funct. Genom. 2019, 18, 1–12. [Google Scholar] [CrossRef]
- Li, Y.; Huang, C.; Ding, L.Z.; Li, Z.X.; Pan, Y.J.; Gao, X. Deep learning in bioinformatics: Introduction, application, and perspective in the big data era. Methods 2019, 166, 4–21. [Google Scholar] [CrossRef]
- Makalowski, W.; Shabardina, V. Bioinformatics of nanopore sequencing. J. Hum. Genet. 2020, 65, 61–67. [Google Scholar] [CrossRef]
- Escalona, M.; Rocha, S.; Posada, D. A comparison of tools for the simulation of genomic next-generation sequencing data. Nat. Rev. Genet. 2016, 17, 459–469. [Google Scholar] [CrossRef]
- Yang, C.; Chu, J.; Warren, R.L.; Birol, I. NanoSim: Nanopore sequence read simulator based on statistical characterization. GigaScience 2017, 6, 1–6. [Google Scholar] [CrossRef]
- Li, Y.; Han, R.M.; Bi, C.W.; Li, M.; Wang, S.; Gao, X. DeepSimulator: A deep simulator for Nanopore sequencing. Bioinformatics 2018, 34, 2899–2908. [Google Scholar] [CrossRef]
- Li, Y.; Wang, S.; Bi, C.W.; Qiu, Z.W.; Li, M.; Gao, X. DeepSimulator1.5: A more powerful, quicker and lighter simulator for Nanopore sequencing. Bioinformatics 2020, 36, 2578–2580. [Google Scholar] [CrossRef]
- Loman, N.J.; Quick, J.; Simpson, J.T. A complete bacterial genome assembled de novo using only nanopore sequencing data. Nat. Methods 2015, 12, 733–735. [Google Scholar] [CrossRef]
- Wick, R.R.; Judd, L.M.; Holt, K.E. Performance of neural network basecalling tools for Oxford Nanopore sequencing. Genome Biol. 2019, 20, 129. [Google Scholar] [CrossRef]
- David, M.; Dursi, L.J.; Yao, D.L.; Boutros, P.C.; Simpson, J.T. Nanocall: An open source basecaller for Oxford Nanopore sequencing data. Bioinformatics 2017, 33, 49–55. [Google Scholar] [CrossRef]
- Boza, V.; Brejova, B.; Vinar, T. DeepNano: Deep recurrent neural networks for base calling in MinION nanopore reads. PLoS ONE 2017, 12, e0178751. [Google Scholar] [CrossRef]
- Shi, B.G.; Bai, X.; Yao, C. An end-to-end trainable neural network for image-based sequence recognition and its application to scene text recognition. IEEE Trans. Pattern Anal. Mach. Intell. 2017, 39, 2298–2304. [Google Scholar] [CrossRef]
- Jain, M.; Olsen, H.E.; Paten, B.; Akeson, M. The Oxford Nanopore MinION: Delivery of nanopore sequencing to the genomics community. Genome Biol. 2016, 17, 239. [Google Scholar] [CrossRef]
- Payne, A.; Holmes, N.; Rakyan, V.; Loose, M. BulkVis: A graphical viewer for Oxford nanopore bulk FAST5 files. Bioinformatics 2019, 35, 2193–2198. [Google Scholar] [CrossRef]
- Han, R.M.; Li, Y.; Gao, X.; Wang, S. An accurate and rapid continuous wavelet dynamic time warping algorithm for end-to-end mapping in ultra-long nanopore sequencing. Bioinformatics 2018, 34, 722–731. [Google Scholar] [CrossRef]
- Li, H. Minimap and miniasm: Fast mapping and de novo assembly for noisy long sequences. Bioinformatics 2016, 32, 2103–2110. [Google Scholar] [CrossRef]
- Li, H. Minimap2: Pairwise alignment for nucleotide sequences. Bioinformatics 2018, 34, 3094–3100. [Google Scholar] [CrossRef]
- Abadi, M. Tensorflow: Learning functions at scale. In Proceedings of the 21st ACM SIGPLAN International Conference on Functional Programming, Nara, Japan, 18–22 September 2016; Volume 51, p. 1. [Google Scholar]
- Teng, H.T.; Cao, M.D.; Hall, M.B.; Duarte, T.; Wang, S.; Coin, L.J.M. Chiron: Translating nanopore raw signal directly into nucleotide sequence using deep learning. GigaScience 2018, 7, 1–9. [Google Scholar] [CrossRef]
- Salvadora, S.; Chan, P. Toward accurate dynamic time warping in linear time and space. Intell. Data Anal. 2007, 11, 561–580. [Google Scholar] [CrossRef]
- Sosic, M.; Sikic, M. Edlib: A C/C plus plus library for fast, exact sequence alignment using edit distance. Bioinformatics 2017, 33, 1394–1395. [Google Scholar] [CrossRef]












| PCC (All) | PCC (Low-Frequency) | PCC (High-Frequency) | |
|---|---|---|---|
| DeepSimulator | 0.837 | 0.939 | 0.715 |
| NanosigSim | 0.913 | 0.964 | 0.850 |
| Improvement | 9.08% | 2.27% | 18.88% |
| Insertion | Deletion | Substitution | |
|---|---|---|---|
| Acinetobacter pittii | 35.54% | 32.45% | 32.01% |
| Klebsiella pneumoniae | 31.31% | 37.89% | 30.80% |
| Serratia marcescens | 35.06% | 32.52% | 32.42% |
| Staphylococcus aureus | 41.64% | 29.11% | 29.25% |
| DeepSimulator | 32.07% | 30.36% | 37.57% |
| NanosigSim | 38.74% | 30.04% | 31.22% |
Publisher’s Note: MDPI stays neutral with regard to jurisdictional claims in published maps and institutional affiliations. |
© 2020 by the authors. Licensee MDPI, Basel, Switzerland. This article is an open access article distributed under the terms and conditions of the Creative Commons Attribution (CC BY) license (http://creativecommons.org/licenses/by/4.0/).
Share and Cite
Chen, W.; Zhang, P.; Song, L.; Yang, J.; Han, C. Simulation of Nanopore Sequencing Signals Based on BiGRU. Sensors 2020, 20, 7244. https://doi.org/10.3390/s20247244
Chen W, Zhang P, Song L, Yang J, Han C. Simulation of Nanopore Sequencing Signals Based on BiGRU. Sensors. 2020; 20(24):7244. https://doi.org/10.3390/s20247244
Chicago/Turabian StyleChen, Weigang, Peng Zhang, Lifu Song, Jinsheng Yang, and Changcai Han. 2020. "Simulation of Nanopore Sequencing Signals Based on BiGRU" Sensors 20, no. 24: 7244. https://doi.org/10.3390/s20247244
APA StyleChen, W., Zhang, P., Song, L., Yang, J., & Han, C. (2020). Simulation of Nanopore Sequencing Signals Based on BiGRU. Sensors, 20(24), 7244. https://doi.org/10.3390/s20247244

