Synthesis of ZnO Nanorod Film Deposited by Spraying with Application for Flexible Piezoelectric Energy Harvesting Microdevices
Abstract
1. Introduction
2. Materials and Methods
2.1. Materials
2.2. Synthesis of ZnO Nanorod Film
2.3. Characterization
2.4. Microdevice Fabrication
2.5. Microdevice Performance
3. Results and Discussion
3.1. Electromechanical Behavior
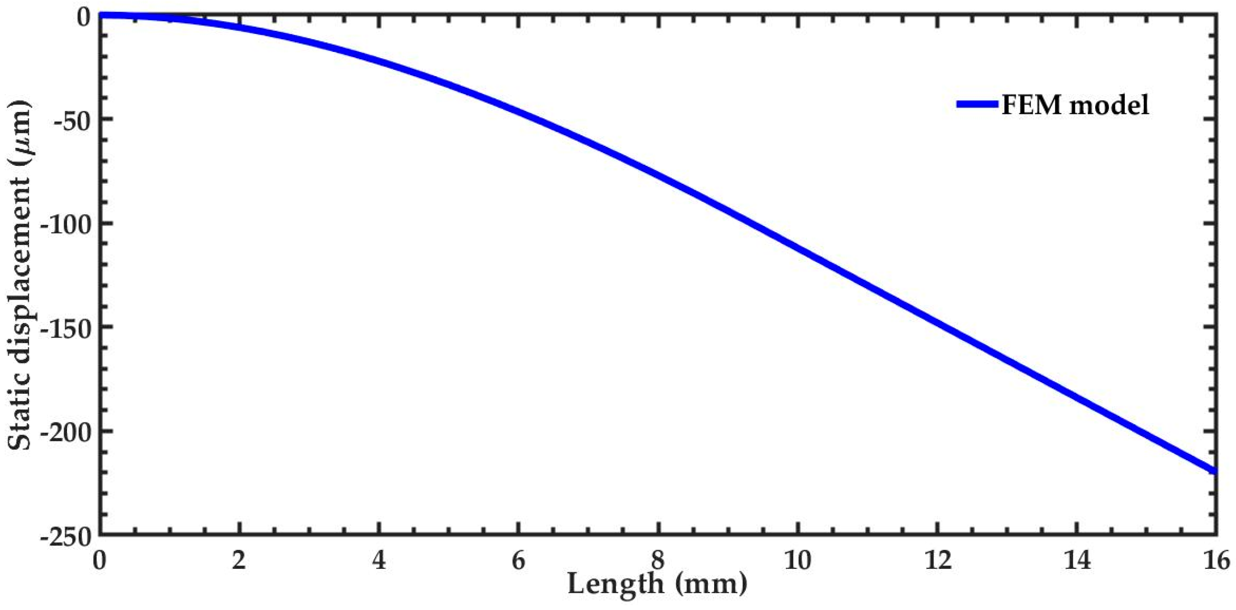
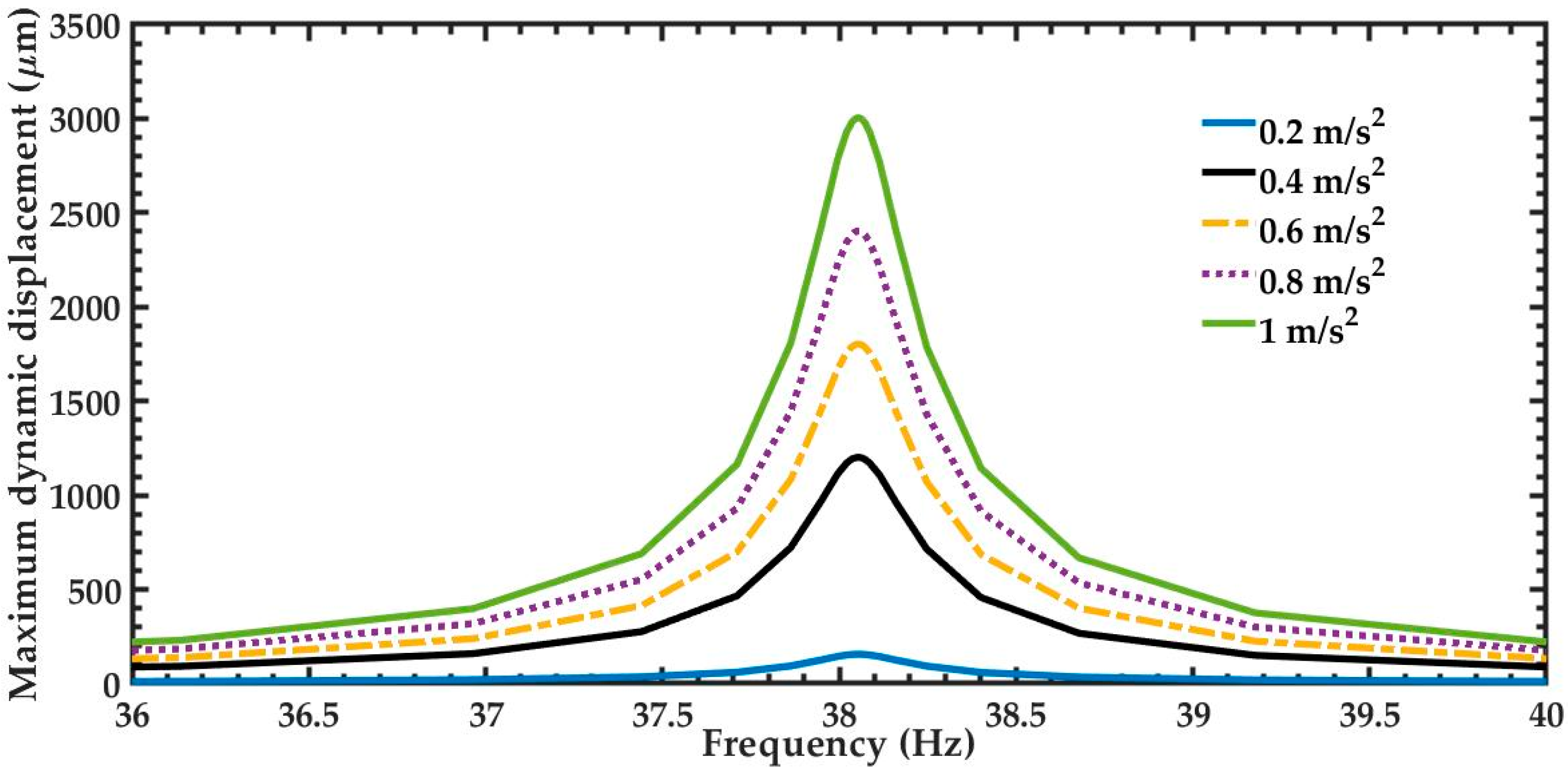
3.2. Modeling of the pVEH Microdevice
The Finite Element Method (FEM)
4. Conclusions
Supplementary Materials
Author Contributions
Funding
Acknowledgments
Conflicts of Interest
References
- Kraśny, M.J.; Bowen, C.R. A system for characterisation of piezoelectric materials and associated electronics for vibration powered energy harvesting devices. Measurement 2021, 168, 108285. [Google Scholar] [CrossRef]
- Le, A.T.; Ahmadipour, M.; Pung, S.-Y. A review on ZnO-based piezoelectric nanogenerators: Synthesis, characterization techniques, performance enhancement and applications. J. Alloys Compd. 2020, 844, 156172. [Google Scholar] [CrossRef]
- Damya, A.; Sani, E.A.; Rezazadeh, G. An innovative piezoelectric energy harvester using clamped-clamped beam with proof mass for WSN applications. Microsyst. Technol. 2018, 26, 3203–3211. [Google Scholar] [CrossRef]
- Qin, Y.; Wang, X.; Wang, Z. Microfibre-nanowire hybrid structure for energy scavenging. Nature 2008, 451, 809–813. [Google Scholar] [CrossRef] [PubMed]
- Malakooti, M.H.; Patterson, B.A.; Hwang, H.-S.; Sodano, H.A. ZnO nanowire interfaces for high strength multifunctional composites with embedded energy harvesting. Energy Environ. Sci. 2016, 2, 634–643. [Google Scholar] [CrossRef]
- Briscoe, J.; Jalali, N.; Woolliams, P.; Stewart, M.; Weaver, P.M.; Cain, M.; Dunn, S. Measurement techniques for piezoelectric nanogenerators. Energy Environ. Sci. 2013, 10, 3035–3045. [Google Scholar] [CrossRef]
- Li, X.; Lin, Z.-H.; Cheng, G.; Wen, X.; Liu, Y.; Niu, S.; Wang, Z.L. 3D fiber-based hybrid nanogenerator for energy harvesting and as a self-powered pressure sensor. ACS Nano 2014, 8, 10674–10681. [Google Scholar] [CrossRef] [PubMed]
- Lu, L.; Ding, W.; Liu, J.; Yang, B. Flexible PVDF based piezoelectric nanogenerators. Nano Energy 2020, 78, 105251. [Google Scholar] [CrossRef]
- Koç, M.; Paralı, L.; Şan, O. Fabrication and vibrational energy harvesting characterization of flexible piezoelectric nanogenerator (PEN) based on PVDF/PZT. Polym. Test 2020, 90, 106695. [Google Scholar] [CrossRef]
- Arunguvai, J.; Lakshmi, P. Flexible nano-vibration energy harvester using three-phase polymer composites. J. Mater. Sci. Mater. Electron. 2020, 31, 8283–8290. [Google Scholar] [CrossRef]
- Jugade, S.S.; Kulkarni, S.M. PDMS-ZnO flexible piezoelectric composites for measurement of muscle activity. Bull. Mater. Sci. 2020, 43, 209. [Google Scholar] [CrossRef]
- Batra, K.; Sinha, N.; Kumar, B. Tb-doped ZnO: PDMS based flexible nanogenerator with enhanced piezoelectric output performance by optimizing nanofiller concentration. Ceram. Int. 2020, 46, 24120–24128. [Google Scholar] [CrossRef]
- Pimentel, A.; Nunes, D.; Duarte, P.; Rodrigues, J.; Costa, F.M.; Monteiro, T.; Martins, R.; Fortunato, F. Synthesis of Long ZnO Nanorods under Microwave Irradiation or Conventional Heating. J. Phys. Chem. C 2014, 118, 14629–14639. [Google Scholar] [CrossRef]
- Bhat, D. Facile synthesis of ZnO nanorods by microwave irradiation of zinc-hydrazine hydrate complex. Nanoscale Res. Lett. 2008, 3, 31. [Google Scholar] [CrossRef][Green Version]
- Al-Ruqeishi, M.S.; Mohiuddin, T.; Al-Habsi, B.; Al-Ruqeishi, F.; Al-Fahdi, A.; Al-Khusaibi, A. Piezoelectric nanogenerator based on ZnO nanorods. Arab. J. Chem. 2019, 12, 5173–5179. [Google Scholar] [CrossRef]
- Blom, F.R.; Bouwstra, S.; Elwenspoek, M.; Fluitman, J.H.J. Dependence of the quality factor of micromachined silicon beam resonators on pressure and geometry. J. Vac. Sci. Technol. B Microelectron. Nanom. Struct. 1992, 10, 19. [Google Scholar] [CrossRef]
- Deng, Q.; Kammoun, M.; Erturk, A.; Sharma, P. Nanoscale flexoelectric energy harvesting. Int. J. Solids Struct. 2014, 51, 3218–3225. [Google Scholar] [CrossRef]
- Anton, S.R.; Farinholt, K.M.; Erturk, A. Piezoelectret foam-based vibration energy harvesting. J. Intell. Mater. Syst. Struct. 2014, 25, 1681–1692. [Google Scholar] [CrossRef]














| Resistance (kΩ) | Voltage Peak to Peak (V) | RMS Voltage (V) | Current (μA) | Power (μW) |
|---|---|---|---|---|
| 107.7 | 1.2 | 0.848 | 7.87 | 6.67 |
| 205.8 | 1.6 | 1.131 | 5.49 | 6.2 |
| 304.7 | 1.84 | 1.3 | 4.26 | 5.53 |
| 761 | 2.7 | 1.9 | 2.49 | 4.73 |
| Material | Density (kg/m3) | Young’s Modulus (GPa) | Poisson Ratio |
|---|---|---|---|
| PET | 1400 | 2.4 | 0.36 |
| Silver | 10,490 | 74 | 0.395 |
| ZnO | 5665 | 137 | 0.25 |
| Silicone | 1100 | 0.05 | 0.49 |
Publisher’s Note: MDPI stays neutral with regard to jurisdictional claims in published maps and institutional affiliations. |
© 2020 by the authors. Licensee MDPI, Basel, Switzerland. This article is an open access article distributed under the terms and conditions of the Creative Commons Attribution (CC BY) license (http://creativecommons.org/licenses/by/4.0/).
Share and Cite
Elvira-Hernández, E.A.; Romero-García, J.; Ledezma-Pérez, A.; Herrera-May, A.L.; Hernández-Hernández, E.; Uscanga-González, L.A.; Jarvio-Cordova, V.A.; Hurtado, G.; Gallardo-Vega, C.; de León, A. Synthesis of ZnO Nanorod Film Deposited by Spraying with Application for Flexible Piezoelectric Energy Harvesting Microdevices. Sensors 2020, 20, 6759. https://doi.org/10.3390/s20236759
Elvira-Hernández EA, Romero-García J, Ledezma-Pérez A, Herrera-May AL, Hernández-Hernández E, Uscanga-González LA, Jarvio-Cordova VA, Hurtado G, Gallardo-Vega C, de León A. Synthesis of ZnO Nanorod Film Deposited by Spraying with Application for Flexible Piezoelectric Energy Harvesting Microdevices. Sensors. 2020; 20(23):6759. https://doi.org/10.3390/s20236759
Chicago/Turabian StyleElvira-Hernández, Ernesto A., Jorge Romero-García, Antonio Ledezma-Pérez, Agustín L. Herrera-May, Ernesto Hernández-Hernández, Luis A. Uscanga-González, Víctor A. Jarvio-Cordova, Gilberto Hurtado, Carlos Gallardo-Vega, and Arxel de León. 2020. "Synthesis of ZnO Nanorod Film Deposited by Spraying with Application for Flexible Piezoelectric Energy Harvesting Microdevices" Sensors 20, no. 23: 6759. https://doi.org/10.3390/s20236759
APA StyleElvira-Hernández, E. A., Romero-García, J., Ledezma-Pérez, A., Herrera-May, A. L., Hernández-Hernández, E., Uscanga-González, L. A., Jarvio-Cordova, V. A., Hurtado, G., Gallardo-Vega, C., & de León, A. (2020). Synthesis of ZnO Nanorod Film Deposited by Spraying with Application for Flexible Piezoelectric Energy Harvesting Microdevices. Sensors, 20(23), 6759. https://doi.org/10.3390/s20236759

