Development of a Novel Electrochemical Biosensor Based on Carbon Nanofibers–Gold Nanoparticles–Tyrosinase for the Detection of Ferulic Acid in Cosmetics
Abstract
1. Introduction
2. Materials and Methods
2.1. Reagents and Solution
2.2. Apparatus and Electrodes
2.3. Biosensor Preparation
2.4. Cosmetic Product Analysis
3. Results and Discussion
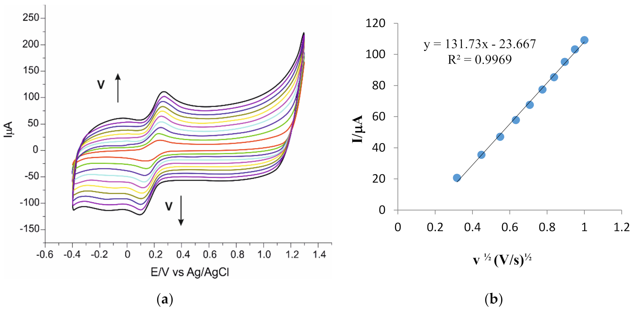
3.1. The Voltametric Behavior of Electrodes in PBS and Potassium Ferro-Cyanide
3.2. Electrochemically Active Surface Area
3.3. The Voltammetric Responses of Electrodes in Ferulic Acid Solution
3.4. Effect of Ferulic Acid Concentration on the Biosensor Response
3.5. Stability, Reproducibility of Fabrication, Repeatability, Interference Studies
3.6. FA Measurement in Cosmetic Products
4. Conclusions
Author Contributions
Funding
Conflicts of Interest
References
- Erady, V.; Mascarenhas, R.J.; Satpati, A.K.; Detriche, S.; Mekhalif, Z.; Dalhalle, J.; Dhason, A. Sensitive detection of Ferulic acid using multi-walled carbon nanotube decorated with silver nano-particles modified carbon paste electrode. J. Electroanal. Chem. 2017, 806, 22–31. [Google Scholar] [CrossRef]
- Liu, L.; Gou, Y.; Gao, X.; Zhang, P.; Chen, W.; Feng, S.; Hu, F.; Li, Y. Electrochemically reduced graphene oxide-based electrochemical sensor for the sensitive determination of ferulic acid in A. sinensis and biological samples. Mater. Sci. Eng. C 2014, 42, 227–233. [Google Scholar] [CrossRef] [PubMed]
- Girsang, E.; Lister, I.N.E.; Ginting, C.N.; Bethasari, M.; Amalia, A.; Widowati, W. Comparison of Antiaging and Antioxidant Activities of Protocatechuic and Ferulic Acids. Mol. Cell. Biomed. Sci. 2020, 4, 68–75. [Google Scholar] [CrossRef]
- Yin, Z.N.; Wu, W.J.; Sun, C.Z.; Liu, H.F.; Chen, W.B.; Zhan, Q.P.; Lei, Z.G.; Xuan, X.I.N.; Juan, J.; Kun, Y.A.O. Antioxidant and anti-inflammatory capacity of ferulic acid released from wheat bran by solid-state fermentation of Aspergillus Niger. Biomed. Environ. Sci. 2019, 32, 11–21. [Google Scholar]
- Shuai, S.; Yue, G. Ferulic Acid, A Potential Antithrombotic Drug. J. Lung Health Dis. 2018, 2, 25–28. [Google Scholar] [CrossRef]
- Dra, L.A.; Sellami, S.; Rais, H.; Aziz, F.; Aghraz, A.; Bekkouche, K.; Markouk, M.; Larhsini, M. Antidiabetic potential of Caralluma europaea against alloxan-induced diabetes in mice. Saudi J. Biol. Sci. 2019, 26, 1171–1178. [Google Scholar] [CrossRef]
- Umre, R.; Ganeshpurkar, A.; Ganeshpurkar, A.; Pandey, S.; Pandey, V.; Shrivastava, A.; Dubey, N. In vitro, in vivo and in silico antiulcer activity of ferulic acid. Future J. Pharm. Sci. 2018, 4, 248–253. [Google Scholar] [CrossRef]
- Chansiw, N.; Paradee, N.; Chotinantakul, K.; Srichairattanakool, S. Anti-hemolytic, antibacterial and anti-cancer activities of methanolic extracts from leaves and stems of Polygonum odoratum. Asian Pac. J. Trop. Biomed. 2018, 8, 580. [Google Scholar] [CrossRef]
- Ma, X.; Guo, Z.; Zhang, Z.; Li, X.; Wang, X.; Liu, Y.; Wang, X. Ferulic acid isolated from propolis inhibits porcine parvovirus replication potentially through Bid-mediate apoptosis. Int. Immunopharmacol. 2020, 83, 106379. [Google Scholar] [CrossRef]
- Hunke, M.; Martinez, W.; Kashyap, A.; Bokoskie, T.; Pattabiraman, M.; Chandra, S. Antineoplastic Actions of Cinnamic Acids and Their Dimers in Breast Cancer Cells: A Comparative Study. Anticancer Res. 2018, 38, 4469–4474. [Google Scholar] [CrossRef]
- Gao, X.; Wang, S.; Xu, Y.; Li, H.; Zhao, H.; Pan, X. Ferulic acid and PDMS modified medical carbon materials for artificial joint prosthesis. PLoS ONE 2018, 13, e0203542. [Google Scholar] [CrossRef] [PubMed]
- Swaroop, A.; Bagchi, M.; Moriyama, H.; Bagchi, D. Salient Features for Designing a Functional Beverage Formulation to Boost Energy. In Sustained Energy for Enhanced Human Functions and Activity; Elsevier: London, UK, 2017; pp. 411–419. ISBN 978-0-12-805413-0. [Google Scholar]
- Karimi-Maleh, H.; Farahmandfar, R.; Hosseinpour, R.; Alizadeh, J.; Abbaspourrad, A. Determination of ferulic acid in the presence of butylated hydroxytoluene as two phenolic antioxidants using a highly conductive food nanostructure electrochemical sensor. Chem. Pap. 2019, 73, 2441–2447. [Google Scholar] [CrossRef]
- Berton, S.B.; Cabral, M.R.; de Jesus, G.A.; Sarragiotto, M.H.; Pilau, E.J.; Martins, A.F.; Bonafé, E.G.; Matsushita, M. Ultra-high-performance liquid chromatography supports a new reaction mechanism between free radicals and ferulic acid with antimicrobial and antioxidant activities. Ind. Crop. Prod. 2020, 154, 112701. [Google Scholar] [CrossRef]
- Xu, Y.; Lin, D.; Yu, X.; Xie, X.; Wang, L.; Lian, L.; Fei, N.; Chen, J.; Zhu, N.; Wang, G.; et al. The antinociceptive effects of ferulic acid on neuropathic pain: Involvement of descending monoaminergic system and opioid receptors. Oncotarget 2016, 7, 20455–20468. [Google Scholar] [CrossRef]
- Bumrungpert, A.; Lilitchan, S.; Tuntipopipat, S.; Tirawanchai, N.; Komindr, S. Ferulic Acid Supplementation Improves Lipid Profiles, Oxidative Stress, and Inflammatory Status in Hyperlipidemic Subjects: A Randomized, Double-Blind, Placebo-Controlled Clinical Trial. Nutrients 2018, 10, 713. [Google Scholar] [CrossRef]
- Zheng, Y.; You, X.; Guan, S.; Huang, J.; Wang, L.; Zhang, J.; Wu, J. Poly(Ferulic Acid) with an Anticancer Effect as a Drug Nanocarrier for Enhanced Colon Cancer Therapy. Adv. Funct. Mater. 2019, 29, 1808646. [Google Scholar] [CrossRef]
- Mori, T.; Tsuchiya, R.; Doi, M.; Nagatani, N.; Tanaka, T. Solubilization of ultraviolet absorbers by cyclodextrin and their potential application in cosmetics. J. Incl. Phenom. Macrocycl. Chem. 2019, 93, 91–96. [Google Scholar] [CrossRef]
- Romana-Souza, B.; Silva-Xavier, W.; Monte-Alto-Costa, A. Topical application of a commercially available formulation of vitamin C stabilized by vitamin E and ferulic acid reduces tissue viability and protein synthesis in ex vivo human normal skin. J. Cosmet. Derm. 2020, jocd.13413. [Google Scholar] [CrossRef]
- Brito, L.G.; Leite, G.Q.; Duarte, F.Í.C.; Ostrosky, E.A.; Ferrari, M.; de Lima, A.A.N.; Nogueira, F.H.A.; Aragão, C.F.S.; de Lelis Ferreira, B.D.; de Freitas Marques, M.B. Thermal behavior of ferulic acid employing isoconversional models and artificial neural network. J. Therm. Anal. Calorim. 2019, 138, 3715–3726. [Google Scholar] [CrossRef]
- Chaudhary, A.; Jaswal, V.S.; Choudhary, S.; Sharma, A.; Beniwal, V.; Tuli, H.S.; Sharma, S. Ferulic Acid: A Promising therapeutic phytochemical and recent patents advances. Recent Pat. Inflamm. Allergy Drug Discov. 2019, 13, 115–123. [Google Scholar] [CrossRef]
- Zduńska, K.; Dana, A.; Kolodziejczak, A.; Rotsztejn, H. Antioxidant Properties of Ferulic Acid and Its Possible Application. Skin Pharm. Physiol. 2018, 31, 332–336. [Google Scholar] [CrossRef]
- Zhou, Z.; Shi, T.; Hou, J.; Li, M. Ferulic acid alleviates atopic dermatitis-like symptoms in mice via its potent anti-inflammatory effect. Immunopharmacol. Immunotoxicol. 2020, 42, 156–164. [Google Scholar] [CrossRef]
- Li, X.; Liu, G.; Tu, Y.; Li, J.; Yan, S. Ferulic acid pretreatment alleviates the decrease in hardness of cooked Chinese radish (Raphanus sativus L. var. longipinnatus Bailey). Food Chem. 2019, 278, 502–508. [Google Scholar] [CrossRef]
- Xia, Z.; Zhang, Y.; Li, Q.; Du, H.; Gui, G.; Zhao, G. Electrochemical Determination of Ferulic Acid in Pinellia Ternata Based on GOs/MWCNTs Nanocomposite Modified Electrode. Int. J. Electrochem. Sci. 2020, 15, 559–566. [Google Scholar] [CrossRef]
- Fu, Z.; Li, G.; Hu, Y. Chemiluminescence of nitrogen-rich quantum dots in diperiodatoargentate (III) solution and its application in ferulic acid analysis. Anal. Bioanal. Chem. 2016, 408, 8813–8820. [Google Scholar] [CrossRef]
- Seal, T. Quantitative HPLC analysis of phenolic acids, flavonoids and ascorbic acid in four different solvent extracts of two wild edible leaves, Sonchus arvensis and Oenanthe linearis of North-Eastern region in India. J. Appl. Pharm. Sci. 2016, 157–166. [Google Scholar] [CrossRef]
- Martí, R.; Valcárcel, M.; Herrero-Martínez, J.M.; Cebolla-Cornejo, J.; Roselló, S. Simultaneous determination of main phenolic acids and flavonoids in tomato by micellar electrokinetic capillary electrophoresis. Food Chem. 2017, 221, 439–446. [Google Scholar] [CrossRef]
- Zabihpour, T.; Shahidi, S.-A.; Karimi-Maleh, H.; Ghorbani-HasanSaraei, A. An ultrasensitive electroanalytical sensor based on MgO/SWCNTs-1-Butyl-3-methylimidazolium bis (trifluoromethylsulfonyl) imide paste electrode for the determination of ferulic acid in the presence sulfite in food samples. Microchem. J. 2020, 154, 104572. [Google Scholar] [CrossRef]
- Zhao, X.; Zhang, Y.; Gao, D.; Xiong, H.; Gao, Y.; Li, S.; Li, X.; Yang, Z.; Liu, M.; Dai, J.; et al. Electrochemical Behavior and Determination of four drugs using Multi-Wall Carbon Nanotubes Modified Glassy Carbon Electrode. Int. J. Electrochem. Sci. 2019, 506–515. [Google Scholar] [CrossRef]
- Liu, L.; Gao, X.; Zhang, P.; Feng, S.; Hu, F.; Li, Y.; Wang, C. Ultrasensitive Detection of Ferulic Acid Using Poly(diallyldimethylammonium chloride) Functionalized Graphene-Based Electrochemical Sensor. J. Anal. Methods Chem. 2014, 2014, 1–9. [Google Scholar] [CrossRef] [PubMed]
- Karim, M.N.; Lee, H.J. Amperometric phenol biosensor based on covalent immobilization of tyrosinase on Au nanoparticle modified screen printed carbon electrodes. Talanta 2013, 116, 991–996. [Google Scholar] [CrossRef] [PubMed]
- Cerrato-Alvarez, M.; Bernalte, E.; Bernalte-García, M.J.; Pinilla-Gil, E. Fast and direct amperometric analysis of polyphenols in beers using tyrosinase-modified screen-printed gold nanoparticles biosensors. Talanta 2019, 193, 93–99. [Google Scholar] [CrossRef] [PubMed]
- Camargo, J.R.; Baccarin, M.; Raymundo-Pereira, P.A.; Campos, A.M.; Oliveira, G.G.; Fatibello-Filho, O.; Oliveira, O.N., Jr.; Janegitz, B.C. Electrochemical biosensor made with tyrosinase immobilized in a matrix of nanodiamonds and potato starch for detecting phenolic compounds. Anal. Chim. Acta 2018, 1034, 137–143. [Google Scholar] [CrossRef]
- Arkan, E.; Karami, C.; Rafipur, R. Immobilization of tyrosinase on Fe3O4@Au core–shell nanoparticles as bio-probe for detection of dopamine, phenol and catechol. J. Biol. Inorg. Chem. 2019, 24, 961–969. [Google Scholar] [CrossRef] [PubMed]
- Wang, Y.; Zhai, F.; Hasebe, Y.; Jia, H.; Zhang, Z. A highly sensitive electrochemical biosensor for phenol derivatives using a graphene oxide-modified tyrosinase electrode. Bioelectrochemistry 2018, 122, 174–182. [Google Scholar] [CrossRef] [PubMed]
- Wee, Y.; Park, S.; Kwon, Y.H.; Ju, Y.; Yeon, K.-M.; Kim, J. Tyrosinase-immobilized CNT based biosensor for highly-sensitive detection of phenolic compounds. Biosens. Bioelectron. 2019, 132, 279–285. [Google Scholar] [CrossRef] [PubMed]
- Martinez-Periñan, E.; Hernández-Artiga, M.P.; Palacios-Santander, J.M.; ElKaoutit, M.; Naranjo-Rodriguez, I.; Bellido-Milla, D. Estimation of beer stability by sulphur dioxide and polyphenol determination. Evaluation of a Laccase-Sonogel-Carbon biosensor. Food Chem. 2011, 127, 234–239. [Google Scholar] [CrossRef]
- Li, M.; Li, D.-W.; Xiu, G.; Long, Y.-T. Applications of screen-printed electrodes in current environmental analysis. Curr. Opin. Electrochem. 2017, 3, 137–143. [Google Scholar] [CrossRef]
- Zrinski, I.; Pungjunun, K.; Martinez, S.; Zavašnik, J.; Stanković, D.; Kalcher, K.; Mehmeti, E. Evaluation of phenolic antioxidant capacity in beverages based on laccase immobilized on screen-printed carbon electrode modified with graphene nanoplatelets and gold nanoparticles. Microchem. J. 2020, 152, 104282. [Google Scholar] [CrossRef]
- Mohtar, L.G.; Aranda, P.; Messina, G.A.; Nazareno, M.A.; Pereira, S.V.; Raba, J.; Bertolino, F.A. Amperometric biosensor based on laccase immobilized onto a nanostructured screen-printed electrode for determination of polyphenols in propolis. Microchem. J. 2019, 144, 13–18. [Google Scholar] [CrossRef]
- Zdarta, J.; Meyer, A.; Jesionowski, T.; Pinelo, M. A General Overview of Support Materials for Enzyme Immobilization: Characteristics, Properties, Practical Utility. Catalysts 2018, 8, 92. [Google Scholar] [CrossRef]
- Vilian, A.T.E.; Chen, S.-M. Preparation of carbon nanotubes decorated with manganese dioxide nanoparticles for electrochemical determination of ferulic acid. Microchim. Acta 2015, 182, 1103–1111. [Google Scholar] [CrossRef]
- Abdel-Hamid, R.; Newair, E. Voltammetric Determination of Ferulic Acid Using Polypyrrole-Multiwalled Carbon Nanotubes Modified Electrode with Sample Application. Nanomaterials 2015, 5, 1704–1715. [Google Scholar] [CrossRef] [PubMed]
- Bharathi, T.D.; Prem Anandh, S.; Rangarajan, M. Differential Pulse Voltammetric Detection of Ferulic Acid Using RGO-TiO2 Electrodes. In Proceedings of the 2018 15th IEEE India Council International Conference (INDICON); IEEE: Coimbatore, India, 2018; pp. 1–6. [Google Scholar]
- Chul-Woo, O.; Seong-Min, K.; Ezhil Vilian, A.T.; Young-Gyu, H.; Yoon-Seok, H. Highly sensitive electrochemical sensor for determination of ferulic acid based on the manganese dioxide nanoparticles-MWCNT nanocomposites. Abstr. Collect. Res. Pap. Korean Ind. Chem. Soc. 2018, 2018, 393. [Google Scholar]
- Yao, Y.; Zhang, C. A Novel One-Step Fabricated, Droplet-Based Electrochemical Sensor for Facile Biochemical Assays. Sensors 2016, 16, 1231. [Google Scholar] [CrossRef]
- Odaci, D.; Timur, S.; Pazarlioglu, N.; Montereali, M.R.; Vastarella, W.; Pilloton, R.; Telefoncu, A. Determination of phenolic acids using Trametes versicolor laccase. Talanta 2007, 71, 312–317. [Google Scholar] [CrossRef]
- Apetrei, I.; Apetrei, C. Development of a Novel Biosensor Based on Tyrosinase/Platinum Nanoparticles/Chitosan/Graphene Nanostructured Layer with Applicability in Bioanalysis. Materials 2019, 12, 1009. [Google Scholar] [CrossRef]
- Apetrei, I.M.; Apetrei, C. Study of Different Carbonaceous Materials as Modifiers of Screen-Printed Electrodes for Detection of Catecholamines. IEEE Sens. J. 2015, 15, 3094–3101. [Google Scholar] [CrossRef]
- Bounegru, A.; Apetrei, C. Voltammetric Sensors Based on Nanomaterials for Detection of Caffeic Acid in Food Supplements. Chemosensors 2020, 8, 41. [Google Scholar] [CrossRef]
- Thakurathi, M.; Gurung, E.; Cetin, M.M.; Thalangamaarachchige, V.D.; Mayer, M.F.; Korzeniewski, C.; Quitevis, E.L. The Stokes-Einstein equation and the diffusion of ferrocene in imidazolium-based ionic liquids studied by cyclic voltammetry: Effects of cation ion symmetry and alkyl chain length. Electrochim. Acta 2018, 259, 245–252. [Google Scholar] [CrossRef]
- Cancelliere, R.; Carbone, K.; Pagano, M.; Cacciotti, I.; Micheli, L. Biochar from Brewers’ Spent Grain: A Green and Low-Cost Smart Material to Modify Screen-Printed Electrodes. Biosensors 2019, 9, 139. [Google Scholar] [CrossRef]
- Huo, Z.; Zhou, Y.; Liu, Q.; He, X.; Liang, Y.; Xu, M. Sensitive simultaneous determination of catechol and hydroquinone using a gold electrode modified with carbon nanofibers and gold nanoparticles. Microchim. Acta 2011, 173, 119–125. [Google Scholar] [CrossRef]
- Dziike, F.; Franklyn, P.J.; Hlekelele, L.; Durbach, S. Recovery of waste gold for the synthesis of gold nanoparticles supported on radially aligned nanorutile: The growth of carbon nanomaterials. RSC Adv. 2020, 10, 28090–28099. [Google Scholar] [CrossRef]
- Tomac, I.; Šeruga, M. Electrochemical properties of chlorogenic acids and determination of their content in coffee using differential pulse voltammetry. Int. J. Electrochem. Sci. 2016, 11, 2854–2876. [Google Scholar] [CrossRef]
- Centeno, D.A.; Solano, X.H.; Castillo, J.J. A new peroxidase from leaves of guinea grass (Panicum maximum): A potential biocatalyst to build amperometric biosensors. Bioelectrochemistry 2017, 116, 33–38. [Google Scholar] [CrossRef]
- Apetrei, I.; Apetrei, C. Amperometric Biosensor Based on Diamine Oxidase/Platinum Nanoparticles/Graphene/Chitosan Modified Screen-Printed Carbon Electrode for Histamine Detection. Sensors 2016, 16, 422. [Google Scholar] [CrossRef] [PubMed]
- Apetrei, R.-M.; Cârâc, G.; Bahrim, G.; Camurlu, P. Sensitivity enhancement for microbial biosensors through cell Self-Coating with polypyrrole. Int. J. Polym. Mater. Polym. Biomater. 2019, 68, 1058–1067. [Google Scholar] [CrossRef]
- Manaia, M.A.N.; Diculescu, V.C.; Gil, E.d.S.; Oliveira-Brett, A.M. Guaicolic spices curcumin and capsaicin electrochemical oxidation behaviour at a glassy carbon electrode. J. Electroanal. Chem. 2012, 682, 83–89. [Google Scholar] [CrossRef]
- Trabelsi, S.K.; Tahar, N.B.; Trabelsi, B.; Abdelhedi, R. Electrochemical Oxidation of Ferulic Acid in Aqueous Solutions at Gold Oxide and Lead Dioxide Electrodes. J. Appl. Electrochem. 2005, 35, 967–973. [Google Scholar] [CrossRef]
- Da Silva, L.V.; Lopes, C.B.; da Silva, W.C.; de Paiva, Y.G.; Silva, F.d.A.d.S.; Lima, P.R.; Kubota, L.T.; Goulart, M.O.F. Electropolymerization of ferulic acid on multi-walled carbon nanotubes modified glassy carbon electrode as a versatile platform for NADH, dopamine and epinephrine separate detection. Microchem. J. 2017, 133, 460–467. [Google Scholar] [CrossRef]
- Gaspar, A.; Garrido, E.M.; Esteves, M.; Quezada, E.; Milhazes, N.; Garrido, J.; Borges, F. New insights into the antioxidant activity of hydroxycinnamic acids: Synthesis and physicochemical characterization of novel halogenated derivatives. Eur. J. Med. Chem. 2009, 44, 2092–2099. [Google Scholar] [CrossRef] [PubMed]
- Quinn, E.A.; Malkin, S.H.; Rowley, A.F.; Coates, C.J. Laccase and catecholoxidase activities contribute to innate immunity in slipper limpets, Crepidula fornicata. Dev. Comp. Immunol. 2020, 110, 103724. [Google Scholar] [CrossRef] [PubMed]
- Liang, C.P.; Chang, C.H.; Liang, C.C.; Hung, K.Y.; Hsieh, C.W. In Vitro Antioxidant Activities, Free Radical Scavenging Capacity, and Tyrosinase Inhibitory of Flavonoid Compounds and Ferulic Acid from Spiranthes sinensis (Pers.) Ames. Molecules 2014, 19, 4681–4694. [Google Scholar] [CrossRef]
- Zhao, Y.; Li, W.; Pan, L.; Zhai, D.; Wang, Y.; Li, L.; Cheng, W.; Yin, W.; Wang, X.; Xu, J.-B.; et al. ZnO-nanorods/graphene heterostructure: A direct electron transfer glucose biosensor. Sci. Rep. 2016, 6, 32327. [Google Scholar] [CrossRef] [PubMed]
- Wang, L.; Wang, Y.; Zhuang, Q. Simple self-referenced ratiometric electrochemical sensor for dopamine detection using electrochemically pretreated glassy carbon electrode modified by acid-treated multiwalled carbon nanotube. J. Electroanal. Chem. 2019, 851, 113446. [Google Scholar] [CrossRef]
- Schmoldt, A.; Benthe, H.F.; Haberland, G. Digitoxin metabolism by rat liver microsomes. Biochem. Pharm. 1975, 24, 1639–1641. [Google Scholar] [CrossRef]
- Apetrei, C.; Saja, J.; Zurro, J.; Rodríguez-Méndez, M. Advantages of the Biomimetic Nanostructured Films as an Immobilization Method vs. the Carbon Paste Classical Method. Catalysts 2012, 2, 517–531. [Google Scholar] [CrossRef]
- 2-Propenoic Acid, 3-(4-hydroxy-3-methoxyphenyl)-. Available online: https://webbook.nist.gov/cgi/cbook.cgi?ID=C1135246&Type=IR-SPEC&Index=2 (accessed on 19 October 2020).







| (Bio)Sensor | Detection Technique | Linear Range | LOD | Reference |
|---|---|---|---|---|
| multi-walled carbon nanotube decorated with silver nano-particle-modified carbon paste electrodes (CPE/MWCNTs-Ag) | CV | 4.0 × 10−8–1.0 × 10−3 M | 3.0 × 10−8 M | [1] |
| MgO/SWCNTs-1-Butyl-3-methylimidazolium bis(trifluoromethylsulfonyl)imide paste electrode MgO/SWCNTs-[Bmim][Tf2N]-CPE | DPV | 0.009–450 µM | 3.0 nM | [29] |
| carbon nanotubes decorated with manganese dioxide nanoparticles f-MWCNTs/MnO2 modified GCE | SWV | 0.082–220 μM | 10 nM | [43] |
| polypyrrole-multi-walled carbon nanotube-modified glassy carbon electrode PPy-MWCNTs/GCE | CV SWV | 3.32 × 10−6–2.59 × 10−5 M | 1.17 × 10−6 M | [44] |
| graphene oxide sheets (GOs) and multi-walled carbon nanotube (MWCNT) nanocomposites modified glassy carbon electrode GOs/MWCNTs/GCE | CV | 0.24 μM–32 μM 88 μM–1.23 mM | 0.08 μM | [25] |
| TiO2 nanoparticle-decorated, chemically reduced graphene oxide-modified glassy carbon electroder GO-TiO2-GCE | CV DPV | 0.1 μM–1 μM 1 μM–300 μM | 0.01 μM | [45] |
| a glassy carbon electrode modified with functional multi-walled carbon nanotubes that are decorated with MnO2 nanoparticles | CV | 0.082–220 μM | 10 nM | [46] |
| droplet-based electrochemical sensor | CV | 0.0257–0.515 mM | 0.024 mM | [47] |
| oxygen electrode-based Trametes versicolor laccase ferrocene-modified screen-printed graphite electrode-based Trametes versicolor laccase | HV | 0.05–0.2 μM 2.0–10.0 μM | 0.01 μM 1.8 μM | [48] |
| Electrode | Epa 1 (V) | Epc 2 (V) | E1/2 3 (V) | ΔE 4 (V) | Ipa 5 (µA) | Ipc 6 (µA) | Ipc/Ipa |
|---|---|---|---|---|---|---|---|
| CNF/SPE | 0.227 | 0.149 | 0.188 | 0.078 | 20.3664 | −21.6371 | 1.04541 |
| CNF-GNP/SPE | 0.231 | 0.146 | 0.188 | 0.084 | 20.6964 | −21.7651 | 1.05164 |
| CNF-GNP-Ty/SPE | 0.242 | 0.089 | 0.165 | 0.152 | 18.8795 | −21.575 | 1.1428 |
| Electrode | Active Area (cm2) |
|---|---|
| CNF/SPE | 0.1819 ± 0.0036 |
| CNF-GNP/SPE | 0.1868 ± 0.0037 |
| CNF-GNP-Ty/SPE | 0.1774 ± 0.0035 |
| Electrode | Epa 1 (V) | Epc 2 (V) | E1/2 3 (V) | Ipa 4 (µA) | Ipc 5 (µA) | Ipc/Ipa |
|---|---|---|---|---|---|---|
| CNF-GNP/SPE | 0.240 | 0.124 | 0.182 | 32.813 | −33.108 | 1.008 |
| CNF-GNP-Ty/SPE | 0.229 | −0.123 | 0.176 | 21.721 | −46.096 | 2.122 |
| Electrode | Equation | R2 | Γ (mol·cm−2) |
|---|---|---|---|
| CNF-GNP/SPE | y = −2.585 × 10−5 x − 2.348 × 10−5 | 0.9994 | 5.02 × 10−11 |
| CNF-GNP-Ty/SPE | y = −3.1137 × 10−5 x − 3.4962 × 10−5 | 0.9996 | 6.05 × 10−11 |
| Cosmetic Product | c% FA FTIR Method | c% FA Biosensor Method |
|---|---|---|
| Ordinary | 2.932 | 3.114 |
| Gerovital | 0.090 | 0.104 |
| Sabio | 0.096 | 0.112 |
Publisher’s Note: MDPI stays neutral with regard to jurisdictional claims in published maps and institutional affiliations. |
© 2020 by the authors. Licensee MDPI, Basel, Switzerland. This article is an open access article distributed under the terms and conditions of the Creative Commons Attribution (CC BY) license (http://creativecommons.org/licenses/by/4.0/).
Share and Cite
Bounegru, A.V.; Apetrei, C. Development of a Novel Electrochemical Biosensor Based on Carbon Nanofibers–Gold Nanoparticles–Tyrosinase for the Detection of Ferulic Acid in Cosmetics. Sensors 2020, 20, 6724. https://doi.org/10.3390/s20236724
Bounegru AV, Apetrei C. Development of a Novel Electrochemical Biosensor Based on Carbon Nanofibers–Gold Nanoparticles–Tyrosinase for the Detection of Ferulic Acid in Cosmetics. Sensors. 2020; 20(23):6724. https://doi.org/10.3390/s20236724
Chicago/Turabian StyleBounegru, Alexandra Virginia, and Constantin Apetrei. 2020. "Development of a Novel Electrochemical Biosensor Based on Carbon Nanofibers–Gold Nanoparticles–Tyrosinase for the Detection of Ferulic Acid in Cosmetics" Sensors 20, no. 23: 6724. https://doi.org/10.3390/s20236724
APA StyleBounegru, A. V., & Apetrei, C. (2020). Development of a Novel Electrochemical Biosensor Based on Carbon Nanofibers–Gold Nanoparticles–Tyrosinase for the Detection of Ferulic Acid in Cosmetics. Sensors, 20(23), 6724. https://doi.org/10.3390/s20236724
