Fluid Intake Monitoring System Using a Wearable Inertial Sensor for Fluid Intake Management
Abstract
1. Introduction
- Drinking with different types of containers may affect the performance of fluid intake. It would lead to technical problems of the diversity and variability to fluid intake monitoring, especially to amount estimation. Most previous works did not tackle these problems. Therefore, container-dependent amount estimation models are proposed to enhance the reliability of the fluid intake monitoring system.
- The previous amount estimation approach only used typical statistical approaches (e.g., linear regression) for intake amount assessment. An elaborate approach based on machine learning models should be explored for reliable wearable-based fluid intake estimation. Therefore, this work applies a machine-learning-based estimation approach (e.g., support vector machine regression) to improve the performance on the amount estimation.
2. Related Work
2.1. Drinking Activity Recognition
2.2. Fluid Intake Amount Estimation
3. Materials and Methods
3.1. Data Acquisition and Experimental Protocols
3.2. Data Pre-Processing
3.3. Drinking Detection
- Adaptive Boosting (AdaBoost)AdaBoost is an ensemble learning technique. By multiple weak models and weights of training samples, AdaBoost can construct a strong classifier. At each iteration of the training progress, a higher weighting is assigned to the misclassified data of the weak classifier and a lower weighting is allocated to the correctly classified data. The data with weights are utilized to train the next weak classifier. These weak classifiers are combined and the final class is decided by a weighted sum of the weak classifiers. In this study, the strong classifier is an ensemble of weak decision trees using classification and regression trees (CARTs).
- Decision Tree (DT)DT is a classical model to classify the data. The tree-like model generates decision nodes and leaf nodes based on rules and thresholds. The data can be classified by following the nodes. In this work, CARTs based on impurity are utilized to classify the data.
- Random Forest (RF)RF combines multiple decision trees based on the bagging technique to solve the overfitting problem of decision tree. Firstly, the model randomly selects a subset of training data. Next, a decision tree is trained by the subset. Finally, the previous two steps repeat iteratively to generate multiple decision trees. The final class are decided by a majority vote. The decision trees in RF are implemented based on CARTs with minimum leaf size of 1 and minimum parent size of 2.
- Naïve Bayes (NB)NB models classify data based on Bayes’ theorem. The probabilistic model states the independence between extracted features. The distribution of the features must be assumed. Then, the final class can be predicted by maximum probability of the class. In this work, different distributions (e.g., multinomial distribution, multivariate multinomial distribution and normal distribution) are tested, and the NB model with normal distribution reaches the best performance.
- K-nearest Neighbor (k-NN)K-nearest neighbor model is a simple method for classification. The k-NN model calculates the distance between data and decides the class by the majority vote of the closest k training instances. In this work, a range of k from 1 to 15 is explored to find the best performance using k-NN. The results show that the best performance of drinking detection is achieved by k = 3.
- Support Vector Machine (SVM)An SVM model is one of the widely used supervised machine learning models for classification. The SVM model calculates the separating hyperplane that has the maximum distance between two classes of data. The classification can be determined by the hyperplane. In this work, a liner kernel function is applied to the SVM model.
3.4. Gesture Spotting
3.5. Amount Estimation
3.6. Performance Evaluation
4. Results
4.1. Drinking Detection and Gesture Spotting
4.2. Amount Estimation
5. Discussion
6. Conclusions
Author Contributions
Funding
Acknowledgments
Conflicts of Interest
References
- McKinley, M.J.; Johnson, A.K. The physiological regulation of thirst and fluid intake. Physiology 2004, 19, 1–6. [Google Scholar] [CrossRef] [PubMed]
- Armstrong, L.E. Challenges of linking chronic dehydration and fluid consumption to health outcomes. Nutr. Rev. 2012, 70, S121–S127. [Google Scholar] [CrossRef] [PubMed]
- Thornton, S.N. Increased hydration can be associated with weight loss. Front. Nutr. 2016, 3, 18. [Google Scholar] [CrossRef] [PubMed]
- Gandy, J. Water intake: Validity of population assessment and recommendations. Eur. J. Nutr. 2015, 54, 11–16. [Google Scholar] [CrossRef] [PubMed]
- Ritz, P.; Berrut, G. The importance of good hydration for day-to-day health. Nutr. Rev. 2005, 63, S6–S13. [Google Scholar] [CrossRef] [PubMed]
- Adan, A. Cognitive performance and dehydration. J. Am. Coll. Nutr. 2012, 31, 71–78. [Google Scholar] [CrossRef] [PubMed]
- Popkin, B.M.; D’Anci, K.E.; Rosenberg, I.H. Water, hydration, and health. Nutr. Rev. 2010, 68, 439–458. [Google Scholar] [CrossRef] [PubMed]
- Hedrick, V.E.; Comber, D.L.; Estabrooks, P.A.; Savla, J.; Davy, B.M. The beverage intake questionnaire: Determining initial validity and reliability. J. Am. Diet. Assoc. 2010, 110, 1227–1232. [Google Scholar] [CrossRef] [PubMed]
- Vance, V.A.; Woodruff, S.J.; McCargar, L.J.; Husted, J.; Hanning, R.M. Self-reported dietary energy intake of normal weight, overweight and obese adolescents. Public Health Nutr. 2009, 12, 222–227. [Google Scholar] [CrossRef] [PubMed]
- Schoeller, D.A.; Bandini, L.G.; Dietz, W.H. Inaccuracies in self-reported intake identified by comparison with the doubly labelled water method. Can. J. Physiol. Pharmacol. 1990, 68, 941–949. [Google Scholar] [CrossRef] [PubMed]
- Amft, O.; Bannach, D.; Pirkl, G.; Kreil, M.; Lukowicz, P. Towards wearable sensing-based assessment of fluid intake. In Proceedings of the 8th IEEE International Conference on Pervasive Computing and Communications Workshops (PERCOM Workshops), Mannheim, Germany, 24 May 2010; pp. 298–303. [Google Scholar]
- Hondori, H.M.; Khademi, M.; Lopes, C.V. Monitoring intake gestures using sensor fusion (microsoft kinect and inertial sensors) for smart home tele-rehab setting. In Proceedings of the 1st Annual IEEE Healthcare Innovation Conference, Houston, TX, USA, 7–9 November 2012. [Google Scholar]
- Iosifidis, A.; Marami, E.; Tefas, A.; Pitas, I. Eating and drinking activity recognition based on discriminant analysis of fuzzy distances and activity volumes. In Proceedings of the IEEE International Conference on Acoustics, Speech and Signal Processing (ICASSP), Kyoto, Japan, 25–30 March 2012; pp. 2201–2204. [Google Scholar]
- Tham, J.S.; Chang, Y.C.; Fauzi, M.F.A. Automatic identification of drinking activities at home using depth data from RGB-D camera. In Proceedings of the 2014 International Conference on Control, Automation and Information Sciences (ICCAIS 2014), Gwangju, Korea, 2–5 December 2014; pp. 153–158. [Google Scholar]
- Liu, K.-C.; Hsieh, C.-Y.; Huang, H.-Y.; Chiu, L.-T.; Hsu, S.J.-P.; Chan, C.-T. Drinking Event Detection and Episode Identification Using 3D-Printed Smart Cup. IEEE Sens. J. 2020. [Google Scholar] [CrossRef]
- Dong, B.; Gallant, R.; Biswas, S. A self-monitoring water bottle for tracking liquid intake. In Proceedings of the 2014 IEEE Healthcare Innovation Conference (HIC), Seattle, WA, USA, 8–10 October 2014; pp. 311–314. [Google Scholar]
- Jayatilaka, A.; Ranasinghe, D.C. Real-time fluid intake gesture recognition based on batteryless UHF RFID technology. Pervasive Mob. Comput. 2017, 34, 146–156. [Google Scholar] [CrossRef]
- Rahman, T.; Adams, A.T.; Zhang, M.; Cherry, E.; Zhou, B.; Peng, H.; Choudhury, T. BodyBeat: A mobile system for sensing non-speech body sounds. In Proceedings of the 12th Annual International Conference on Mobile Systems, Applications, and Services (MobiSys), Bretton Woods, NH, USA, 16–19 June 2014; pp. 2–13. [Google Scholar]
- Bi, Y.; Lv, M.; Song, C.; Xu, W.; Guan, N.; Yi, W. AutoDietary: A wearable acoustic sensor system for food intake recognition in daily life. IEEE Sens. J. 2015, 16, 806–816. [Google Scholar] [CrossRef]
- Dong, B.; Biswas, S. Wearable sensing for liquid intake monitoring via apnea detection in breathing signals. Biomed. Eng. Lett. 2014, 4, 378–387. [Google Scholar] [CrossRef]
- Junker, H.; Amft, O.; Lukowicz, P.; Tröster, G. Gesture spotting with body-worn inertial sensors to detect user activities. Pattern Recognit. 2008, 41, 2010–2024. [Google Scholar] [CrossRef]
- Amft, O.; Tröster, G. Recognition of dietary activity events using on-body sensors. Artif. Intell. Med. 2008, 42, 121–136. [Google Scholar] [CrossRef] [PubMed]
- Gomes, D.; Sousa, I. Real-Time drink trigger detection in free-living conditions using inertial sensors. Sensors 2019, 19, 2145. [Google Scholar] [CrossRef] [PubMed]
- Hamatani, T.; Elhamshary, M.; Uchiyama, A.; Higashino, T. FluidMeter: Gauging the Human Daily Fluid Intake Using Smartwatches. Proc. ACM Interact. Mob. Wearable Ubiquitous Technol. 2018, 2, 113. [Google Scholar] [CrossRef]
- Gomes, D.; Mendes-Moreira, J.; Sousa, I.; Silva, J.J.S. Eating and Drinking Recognition in Free-Living Conditions for Triggering Smart Reminders. Sensors 2019, 19, 2803. [Google Scholar] [CrossRef] [PubMed]
- Chun, K.S.; Sanders, A.B.; Adaimi, R.; Streeper, N.; Conroy, D.E.; Thomaz, E. Towards a generalizable method for detecting fluid intake with wrist-mounted sensors and adaptive segmentation. In Proceedings of the International Conference on Intelligent User Interfaces, Marina del Ray, CA, USA, 17–20 March 2019; pp. 80–85. [Google Scholar]
- Zimmermann, C.; Zeilfelder, J.; Bloecher, T.; Diehl, M.; Essig, S.; Stork, W. Evaluation of a smart drink monitoring device. In Proceedings of the IEEE Sensors Applications Symposium (SAS), Glassboro, NJ, USA, 13–15 March 2017; pp. 1–5. [Google Scholar]
- Griffith, H.; Shi, Y.; Biswas, S.J.S. A Container-Attachable Inertial Sensor for Real-Time Hydration Tracking. Sensors 2019, 19, 4008. [Google Scholar] [CrossRef] [PubMed]
- Anderez, D.O.; Lotfi, A.; Pourabdollah, A. Temporal convolution neural network for food and drink intake recognition. In Proceedings of the 12th ACM International Conference on Pervasive Technologies Related to Assistive Environments, Rhodes, Greece, 6–8 June 2019; pp. 580–586. [Google Scholar]
- Anderez, D.O.; Lotfi, A.; Langensiepen, C. A hierarchical approach in food and drink intake recognition using wearable inertial sensors. In Proceedings of the 11th Pervasive Technologies Related to Assistive Environments Conference, Corfu, Greece, 26–29 June 2018; pp. 552–557. [Google Scholar]








| Features | Description | 
|---|---|
| – | Mean of , , , , , , , , , , | 
| – | Standard deviation of , , , , , , , , , , | 
| – | Variance of , , , , , , , , , , | 
| – | Maximum of , , , , , , , , , , | 
| – | Minimum of , , , , , , , , , , | 
| – | Range of , , , , , , , , , , | 
| – | Kurtosis of, , , , , , , , , , | 
| – | Skewness of , , , , , , , , , , | 
| Features | Description | 
|---|---|
| – | Mean of , , , , , , , , , , | 
| – | Standard deviation of , , , , , , , , , , | 
| – | Variance of , , , , , , , , , , | 
| – | Maximum of , , , , , , , , , , | 
| – | Minimum of , , , , , , , , , , | 
| – | Range of , , , , , , , , , , | 
| – | Kurtosis of, , , , , , , , , , | 
| – | Skewness of , , , , , , , , , , | 
| Duration of the sip gesture | 
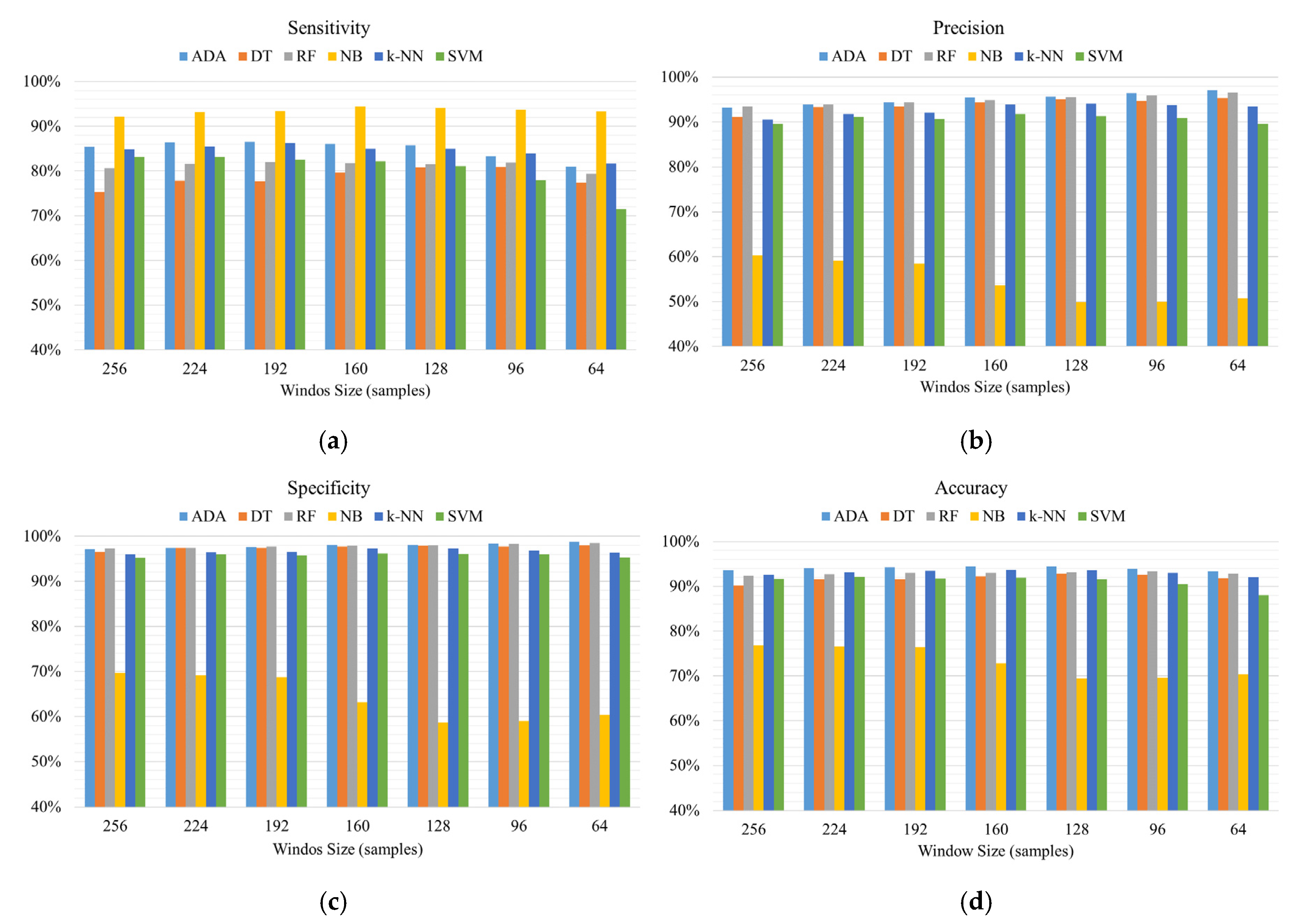
| Machine Learning Model | Window Size (Samples) | Overlap (%) | Sensitivity (%) | Precision (%) | Specificity (%) | Accuracy (%) | 
|---|---|---|---|---|---|---|
| ADA | 160 | 50 | 86.06 | 95.50 | 98.08 | 94.42 | 
| DT | 128 | 50 | 80.83 | 95.05 | 97.91 | 92.79 | 
| RF | 96 | 50 | 81.87 | 95.96 | 98.29 | 93.34 | 
| NB | 256 | 50 | 92.20 | 60.28 | 69.75 | 76.76 | 
| k-NN | 128 | 25 | 84.87 | 94.29 | 97.45 | 93.68 | 
| SVM | 224 | 50 | 83.17 | 91.07 | 96.02 | 92.14 | 
| Machine Learning Model | Window Size (Samples) | Overlap (%) | Metric | Gesture | Overall | ||||
|---|---|---|---|---|---|---|---|---|---|
| Fetch | Lift | Sip | Drop | Release | |||||
| ADA | 16 | 50 | Sensitivity (%) | 83.26 | 89.74 | 93.10 | 90.62 | 76.58 | 86.66 | 
| Precision (%) | 85.64 | 91.55 | 93.83 | 89.88 | 85.26 | 89.23 | |||
| DT | 16 | 25 | Sensitivity (%) | 89.72 | 84.08 | 92.24 | 86.98 | 80.79 | 86.76 | 
| Precision (%) | 84.03 | 91.92 | 94.66 | 91.61 | 87.53 | 89.95 | |||
| RF | 16 | 50 | Sensitivity (%) | 89.35 | 88.70 | 94.75 | 90.61 | 87.44 | 90.17 | 
| Precision (%) | 91.63 | 95.27 | 95.35 | 93.98 | 87.80 | 92.80 | |||
| NB | 16 | 25 | Sensitivity (%) | 57.35 | 77.01 | 90.46 | 88.46 | 54.78 | 73.61 | 
| Precision (%) | 71.02 | 90.93 | 88.23 | 64.08 | 71.51 | 77.15 | |||
| k-NN | 16 | 50 | Sensitivity (%) | 78.10 | 83.04 | 95.69 | 85.60 | 71.58 | 82.80 | 
| Precision (%) | 84.53 | 86.19 | 85.28 | 82.05 | 86.04 | 84.82 | |||
| SVM | 16 | 25 | Sensitivity (%) | 76.87 | 87.14 | 96.28 | 90.62 | 75.80 | 85.34 | 
| Precision (%) | 83.30 | 95.64 | 94.58 | 92.70 | 78.41 | 88.93 | |||
| Regression Model | Container-Independent | Container-Dependent | ||||||||
|---|---|---|---|---|---|---|---|---|---|---|
| Can | Bottle | Handleless Mug | Handled Mug | |||||||
| MPE | MAPE | MPE | MAPE | MPE | MAPE | MPE | MAPE | MPE | MAPE | |
| Linear | 28.96 | 49.53 | 27.73 | 48.51 | 20.65 | 44.22 | 24.12 | 43.16 | 24.44 | 44.53 | 
| Gaussian | 15.72 | 44.45 | 18.58 | 45.80 | 23.13 | 44.20 | 11.19 | 38.66 | 11.64 | 41.10 | 
| SVM-linear 1 | 12.68 | 40.06 | 5.65 | 29.53 | 9.65 | 34.28 | 7.14 | 38.94 | 16.28 | 46.69 | 
| SVM-Poly 2 | 24.51 | 47.75 | 24.97 | 47.49 | 22.24 | 45.45 | 19.26 | 41.14 | 19.91 | 42.74 | 
| SVM-RBF 3 | 20.66 | 45.93 | 18.86 | 44.25 | 14.01 | 38.92 | 14.93 | 40.86 | 19.96 | 45.80 | 
| Situation | Container-Independent | Container-Dependent | ||||||||
|---|---|---|---|---|---|---|---|---|---|---|
| Can | Bottle | Handleless Mug | Handled Mug | |||||||
| MPE | MAPE | MPE | MAPE | MPE | MPE | MAPE | MPE | MPE | MAPE | |
| (1) Drinking Activity | −34.85 | 65.86 | −27.24 | 51.59 | −0.82 | 50.76 | −35.89 | 69.09 | −1.30 | 55.51 | 
| (2) Sip Gesture | −12.34 | 40.11 | −29.09 | 47.28 | −8.41 | 36.52 | −5.90 | 40.77 | −8.17 | 39.87 | 
| Publisher’s Note: MDPI stays neutral with regard to jurisdictional claims in published maps and institutional affiliations. | 
© 2020 by the authors. Licensee MDPI, Basel, Switzerland. This article is an open access article distributed under the terms and conditions of the Creative Commons Attribution (CC BY) license (http://creativecommons.org/licenses/by/4.0/).
Share and Cite
Huang, H.-Y.; Hsieh, C.-Y.; Liu, K.-C.; Hsu, S.J.-P.; Chan, C.-T. Fluid Intake Monitoring System Using a Wearable Inertial Sensor for Fluid Intake Management. Sensors 2020, 20, 6682. https://doi.org/10.3390/s20226682
Huang H-Y, Hsieh C-Y, Liu K-C, Hsu SJ-P, Chan C-T. Fluid Intake Monitoring System Using a Wearable Inertial Sensor for Fluid Intake Management. Sensors. 2020; 20(22):6682. https://doi.org/10.3390/s20226682
Chicago/Turabian StyleHuang, Hsiang-Yun, Chia-Yeh Hsieh, Kai-Chun Liu, Steen Jun-Ping Hsu, and Chia-Tai Chan. 2020. "Fluid Intake Monitoring System Using a Wearable Inertial Sensor for Fluid Intake Management" Sensors 20, no. 22: 6682. https://doi.org/10.3390/s20226682
APA StyleHuang, H.-Y., Hsieh, C.-Y., Liu, K.-C., Hsu, S. J.-P., & Chan, C.-T. (2020). Fluid Intake Monitoring System Using a Wearable Inertial Sensor for Fluid Intake Management. Sensors, 20(22), 6682. https://doi.org/10.3390/s20226682
 
        

 
       