A Novel BN Learning Algorithm Based on Block Learning Strategy
Abstract
1. Introduction
2. Related Theory
2.1. BN and Structure Learning
2.2. Blocking Algorithms
3. BLMKM Algorithm
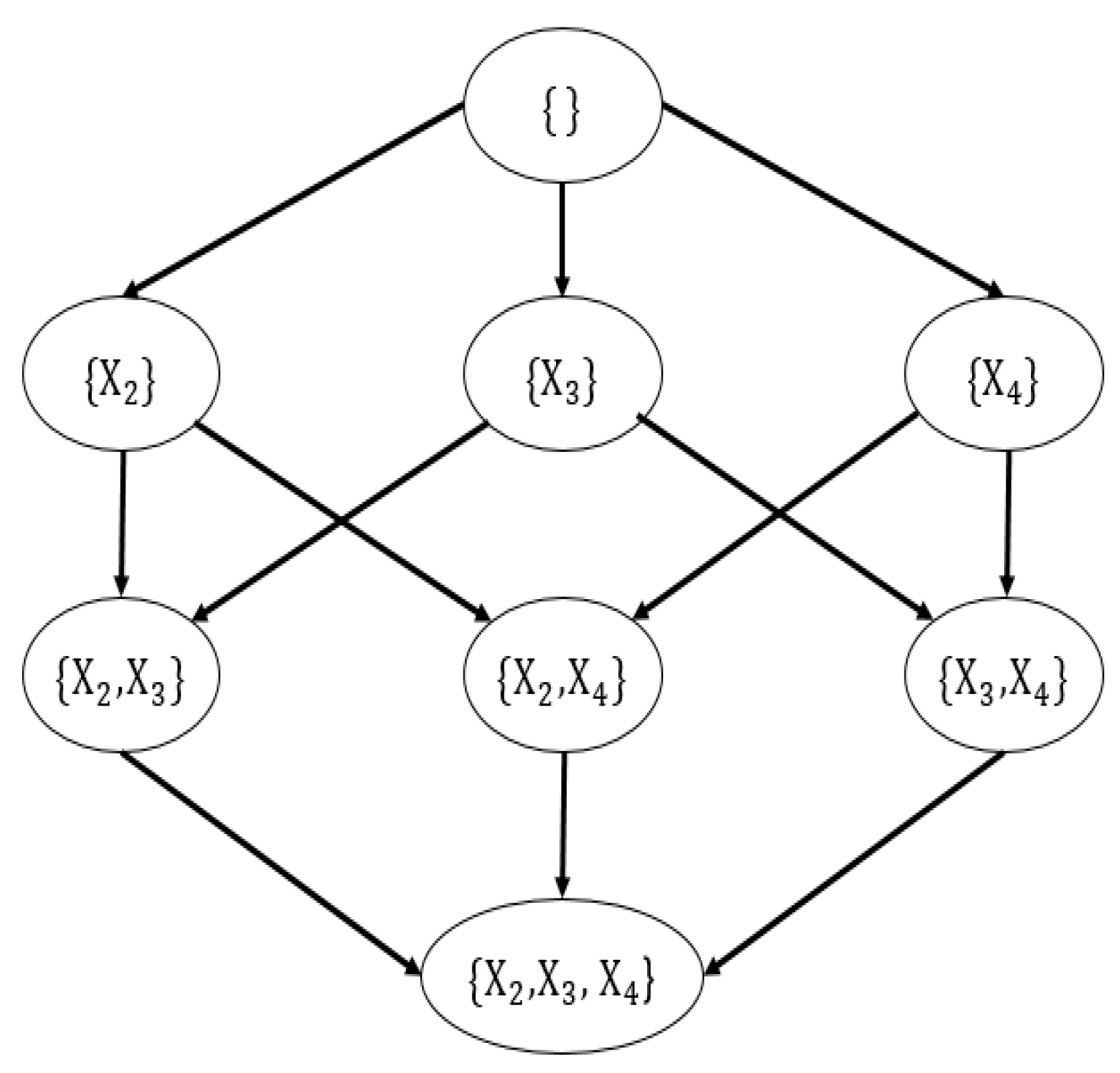
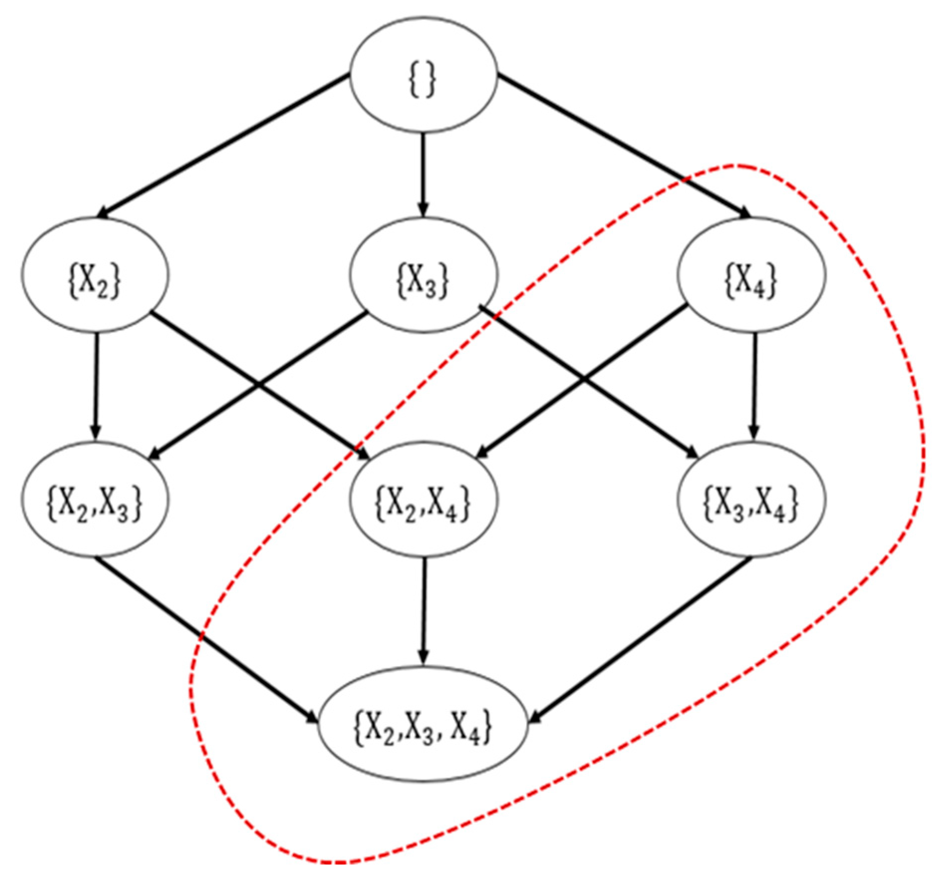
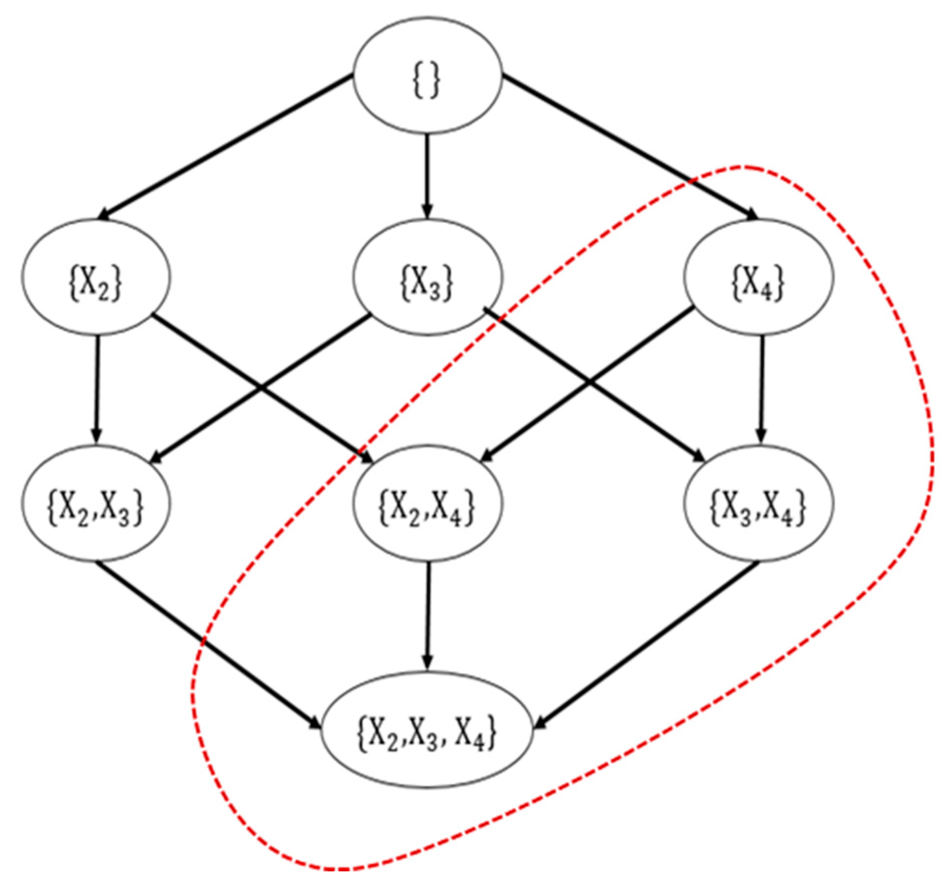
3.1. MKM Algorithm
- (1)
- Non-negative: ;
- (2)
- Identity: if and only if ;
- (3)
- Symmetry: ;
- (4)
- Directivity: .
- (a)
- Non-negative: Since the mutual information is from the overall perspective of the random variables X and Y, and the problem is observed in the average sense, the average mutual information amount will not appear negative, .
- (b)
- Identity: if and only if X and Y are independent random variables. When X and Y are independent, , therefore .
- (c)
- Symmetry: , and just stand on different ground, the amount of information about X extracted by Y is the same as the amount of information about Y extracted from X. From another perspective, .
- (d)
- Directivity: , if a Markov chain is formed, the average mutual information between the input message and the output message tends to become smaller as the number of processors increases after the message is processed at multiple levels, that is, , .
3.2. BLMKM Algorithm
| Algorithm 1 Pruned Dynamic Programming Algorithm |
| procedure |
| 1. for each do |
| 2. |
| 3. end for |
| 4. for each node do |
| 5. for each do |
| 6. |
| 7. |
| 8. if then |
| 9. |
| 10. end if |
| 11. if then |
| 12. end for |
| 13. end for |
| 14. |
| 15. |
| end procedure |
| procedure |
| 16. for each node do |
| 17. for each and do |
| 18. if is null then |
| 19. |
| 20. end if |
| 21. if then |
| 22. |
| 23. end if |
| 24. if then |
| 25. end for |
| 26. end for |
| 27. |
| 28. |
| end procedure |
| proceduremain |
| 29. for do |
| 30. |
| 31. end for |
| end procedure |
| Algorithm 2 BLMKM Algorithm |
| Input: dataset , number of clusters |
| Output: optimal BN and score |
| 1. |
| 2. |
| 3. |
| 4. for do |
| 5. |
| 6. end for |
| 7. Optimal BN |
4. Experiments
4.1. Experiments of BLMKM Algorithm on Classic Networks
4.1.1. Comparison of Algorithm’s Running Time
4.1.2. Comparison of Algorithm’s Accuracy
4.2. Experiments for Analysis of Radar Effect Mechanism
4.2.1. Construct BN Model—The BLMKM Algorithm
4.2.2. Inverse Problem Analysis—BN Inference
5. Conclusions
Author Contributions
Funding
Acknowledgments
Conflicts of Interest
References
- Pearl, J. Fusion, propagation, and structuring in belief networks. Artif. Intell. 1986, 29, 241–288. [Google Scholar] [CrossRef]
- Friedman, N.J.S. Inferring cellular networks using probabilistic graphical models. Science 2004, 303, 799–805. [Google Scholar] [CrossRef] [PubMed]
- Palaniappan, S.K.; Akshay, S.; Liu, B.; Genest, B.; Thiagarajan, P.S. A hybrid factored frontier algorithm for dynamic Bayesian networks with a biopathways application. IEEE/ACM Trans. Comput. Biol. Bioinform. 2012, 9, 1352–1365. [Google Scholar] [CrossRef] [PubMed]
- González-López, J.; García-Aparicio, Á.M.; Sánchez-Ponce, D.; Muñoz-Sanz, N.; Fernandez-Ledo, N.; Beneyto, P.; Westcott, M.J.E. Development and validation of a Bayesian network for the differential diagnosis of anterior uveitis. Eye 2016, 30, 865–872. [Google Scholar] [CrossRef] [PubMed]
- Bueno, M.L.; Hommersom, A.; Lucas, P.J.; Lappenschaar, M.; Janzing, J.G.J.J.o.B.I. Understanding disease processes by partitioned dynamic Bayesian networks. J. Biomed. Informatics 2016, 61, 283–297. [Google Scholar] [CrossRef] [PubMed]
- Velikova, M.; van Scheltinga, J.T.; Lucas, P.J.; Spaanderman, M. Exploiting causal functional relationships in Bayesian network modelling for personalised healthcare. Int. J. Approx. Reason. 2014, 55, 59–73. [Google Scholar] [CrossRef]
- Tien, I.; Der Kiureghian, A.J.R.E.; Safety, S. Algorithms for Bayesian network modeling and reliability assessment of infrastructure systems. Reliab. Eng. Syst. Saf. 2016, 156, 134–147. [Google Scholar] [CrossRef]
- Wang, Z.; Wang, Z.; He, S.; Gu, X.; Yan, Z.F.J.A.e. Fault detection and diagnosis of chillers using Bayesian network merged distance rejection and multi-source non-sensor information. Appl. Energy 2017, 188, 200–214. [Google Scholar] [CrossRef]
- Pernkopf, F.; Wohlmayr, M.; Tschiatschek, S. Maximum margin Bayesian network classifiers. IEEE Trans. Pattern Anal. Mach. Intell. 2011, 34, 521–532. [Google Scholar] [CrossRef] [PubMed]
- Margaritis, D. Learning Bayesian Network Model Structure from Data. Ph.D. Thesis, Carnegie-Mellon Univ Pittsburgh Pa School of Computer Science, Pittsburgh, PA, USA, 2003. [Google Scholar]
- Grossman, D.; Domingos, P. Learning Bayesian network classifiers by maximizing conditional likelihood. In Proceedings of the twenty-first international conference on Machine learning, Banff, AB, Canada, 4–8 July 2004; p. 46. [Google Scholar]
- Singh, A.P.; Moore, A.W. Finding Optimal Bayesian Networks by Dynamic Programming; CMU-CALD-05-106; Carnegie Mellon University: Pittsburgh, PA, USA, June 2005. [Google Scholar]
- Koller, D.; Friedman, N. Probabilistic Graphical Models: Principles and Techniques; MIT Press: Cambridge, MA, USA, 2009. [Google Scholar]
- Li, S.; Zhang, J.; Huang, K.; Gao, C. A graph partitioning approach for bayesian network structure learning. In Proceedings of Proceedings of the 33rd Chinese Control Conference, Nanjing, China, 28–30 July 2014; Institute of Electrical and Electronics Engineers (IEEE): Piscataway, NJ, USA; pp. 2887–2892. [Google Scholar]
- Liu, H.; Zhou, S.; Lam, W.; Guan, J.J.K.-B.S. A new hybrid method for learning bayesian networks: Separation and reunion. Knowl. Based Syst. 2017, 121, 185–197. [Google Scholar] [CrossRef]
- Guo, H.; Zhang, L. Introduction to Bayesian Networks; Science Press: Beijing, China, 2006. [Google Scholar]
- Lloyd, S.J.I.t.o.i.t. Least squares quantization in PCM. IEEE Trans. Inf. Theory 1982, 28, 129–137. [Google Scholar] [CrossRef]
- Li, J.; Yang, G.-y. Dynamic Bayesian Network for Radar Masking Jamming Effectiveness Assessment. Electron. Inf. Warf. Technol. 2012, 2, 55–59. [Google Scholar]
- Wang, J.-P.; Chu, C.-Q.; Wu, J.; Liu, Z. Approach to Radar Pulse Repetition Intervals Modulation Recognition Based on Bayesian Networks. Electron. Inf. Warf. Technol. 2007, 2, 14–17. [Google Scholar]
- Malone, B.; Yuan, C.; Hansen, E. Memory-efficient dynamic programming for learning optimal Bayesian networks. In Proceedings of the Twenty-Fifth AAAI Conference on Artificial Intelligence, San Francisco, CA, USA, 7–11 August 2011. [Google Scholar]
- Birant, D.; Kut, A.J.D. ST-DBSCAN: An algorithm for clustering spatial—Temporal data. Data Knowl. Eng. 2007, 60, 208–221. [Google Scholar] [CrossRef]
- Viswanath, P.; Pinkesh, R. l-dbscan: A fast hybrid density based clustering method. In Proceedings of the 18th International Conference on Pattern Recognition (ICPR’06), Hong Kong, China, 20–24 August 2006; pp. 912–915. [Google Scholar]
- Newman, M.E.J.P.r.E. Fast algorithm for detecting community structure in networks. Phys. Rev. E 2004, 69, 066133. [Google Scholar] [CrossRef]
- Vinh, N.X.; Chetty, M.; Coppel, R.; Wangikar, P.P.J.B. GlobalMIT: Learning globally optimal dynamic bayesian network with the mutual information test criterion. Bioinformatics 2011, 27, 2765–2766. [Google Scholar] [CrossRef]
- Yasin, A.; Leray, P. iMMPC: A local search approach for incremental Bayesian network structure learning. In Proceedings of the International Symposium on Intelligent Data Analysis, Porto, Portugal, 29–31 October 2011; Volume 7014, pp. 401–412. [Google Scholar]
- Tsamardinos, I.; Aliferis, C.F.; Statnikov, A. Time and sample efficient discovery of Markov blankets and direct causal relations. In Proceedings of the Ninth ACM SIGKDD International Conference on Knowledge Discovery and Data Mining, Washington, DC, USA, 24–27 August 2003; pp. 673–678. [Google Scholar]
- Rissanen, J.J.A. Modeling by shortest data description. Automatica 1978, 14, 465–471. [Google Scholar] [CrossRef]
- Heckerman, D. A tutorial on learning with Bayesian networks. In Innovations in Bayesian Networks; Springer: Berlin/Heidelberg, Germany, 2008; pp. 33–82. [Google Scholar]
- Liu, G.-S.; Gu, H.; Su, W.-M.; Sun, H.-B.; Zhang, J.-H.J.I.T.o.A.; Systems, E. Random signal radar-a winner in both the military and civilian operating environments. IEEE Trans. Aerosp. Electron. Syst. 2003, 39, 489–498. [Google Scholar]
- Wang, X.N.; Su, F.; Yu, W.; Luo, J.L. Radar Countermeasure Question in Complex Electromagnetic Environment [J]. Modern Radar 2008, 4. [Google Scholar]
- Wang, Y.M.; Tan, Z.L.; Bi, J.J. Effects of Complex Electromagnetic Environment on Radar and C2 System [J]. Equipment Environ. Eng. 2013, 3. [Google Scholar]











| The Name of Networks | The Number of Nodes | The Number of Edges |
|---|---|---|
| Sachs | 11 | 17 |
| Mybnet1 | 18 | 27 |
| Boerlage92 | 23 | 36 |
| Mybnet2 | 32 | 42 |
| Alarm | 37 | 46 |
| BLMKM Algorithm | BLFN Algorithm | SAR Algorithm | MMHC Based on Graph Partitioning Algorithm | GS Based on Graph Partitioning Algorithm | Dynamic Programming Algorithm | HC Algorithm | |
|---|---|---|---|---|---|---|---|
| Sachs | |||||||
| 0 | 0 | 0 | 0 | 0 | 1 | 1 | |
| 3 | 3 | 0 | 3 | 3 | 0 | 0 | |
| 4 | 3 | 2 | 6 | 6 | 3 | 4 | |
| 7 | 6 | 2 | 9 | 9 | 4 | 5 | |
| Mybnet1 | |||||||
| 0 | 0 | 0 | 0 | 0 | 3 | 4 | |
| 2 | 3 | 1 | 2 | 2 | 2 | 2 | |
| 6 | 8 | 3 | 6 | 11 | 12 | 6 | |
| 8 | 11 | 4 | 8 | 13 | 17 | 12 | |
| Boerlage92 | |||||||
| 0 | 0 | 3 | 0 | 0 | 7 | 0 | |
| 9 | 9 | 6 | 10 | 9 | 3 | 10 | |
| 5 | 7 | 7 | 8 | 8 | 8 | 9 | |
| 14 | 16 | 16 | 18 | 17 | 18 | 19 | |
| Mybnet2 | |||||||
| 0 | 0 | 1 | 0 | 0 | - | 0 | |
| 5 | 6 | 5 | 7 | 7 | - | 8 | |
| 9 | 9 | 9 | 11 | 9 | - | 6 | |
| 14 | 15 | 15 | 18 | 16 | - | 14 | |
| Alarm | |||||||
| 0 | 0 | 7 | 0 | 0 | - | 8 | |
| 9 | 11 | 4 | 8 | 11 | - | 5 | |
| 6 | 8 | 4 | 14 | 9 | - | 12 | |
| 15 | 19 | 15 | 22 | 20 | - | 25 | |
| BLMKM Algorithm | BLFN Algorithm | MMHC Based on Graph Partitioning Algorithm | GS Based on Graph Partitioning Algorithm | Dynamic Programming Algorithm | HC Algorithm | |
|---|---|---|---|---|---|---|
| Sachs | −3.7004 | −3.7907 | −3.7038 | −3.7813 | −3.6616 | −3.6753 |
| Mybnet1 | −5.0766 | −5.0823 | −5.0833 | −5.0853 | −5.0946 | −5.0773 |
| Boerlage92 | −5.0474 | −5.0754 | −5.0853 | −5.0773 | −5.0650 | −5.0758 |
| Mybnet2 | −9.1036 | −9.1300 | −9.1478 | −9.1459 | - | −9.0947 |
| Alarm | −6.5210 | −6.7179 | −6.7889 | −6.7486 | - | −6.8439 |
| Data Type | Parameter Type |
|---|---|
| Environmental input signal parameters | Suppress interference power (dBm) |
| Suppress interference bandwidth (MHz) | |
| Spoofing interferes with the false target interval (μs), etc. | |
| Radar front-end reception parameters | Spectrum average (dB), etc. |
| Signal processing(back-end) parameters | Digital down-conversion spectrum peak (dB) |
| Spectrum average (dB) | |
| 3dB bandwidth (MHz), etc. | |
| Data processing parameters | Point trace error (m), etc. |
Publisher’s Note: MDPI stays neutral with regard to jurisdictional claims in published maps and institutional affiliations. |
© 2020 by the authors. Licensee MDPI, Basel, Switzerland. This article is an open access article distributed under the terms and conditions of the Creative Commons Attribution (CC BY) license (http://creativecommons.org/licenses/by/4.0/).
Share and Cite
Li, X.; Gao, X.; Wang, C. A Novel BN Learning Algorithm Based on Block Learning Strategy. Sensors 2020, 20, 6357. https://doi.org/10.3390/s20216357
Li X, Gao X, Wang C. A Novel BN Learning Algorithm Based on Block Learning Strategy. Sensors. 2020; 20(21):6357. https://doi.org/10.3390/s20216357
Chicago/Turabian StyleLi, Xinyu, Xiaoguang Gao, and Chenfeng Wang. 2020. "A Novel BN Learning Algorithm Based on Block Learning Strategy" Sensors 20, no. 21: 6357. https://doi.org/10.3390/s20216357
APA StyleLi, X., Gao, X., & Wang, C. (2020). A Novel BN Learning Algorithm Based on Block Learning Strategy. Sensors, 20(21), 6357. https://doi.org/10.3390/s20216357
