Data-Driven Methods for the Estimation of Leaf Water and Dry Matter Content: Performances, Potential and Limitations
Abstract
1. Introduction
2. Materials and Methods
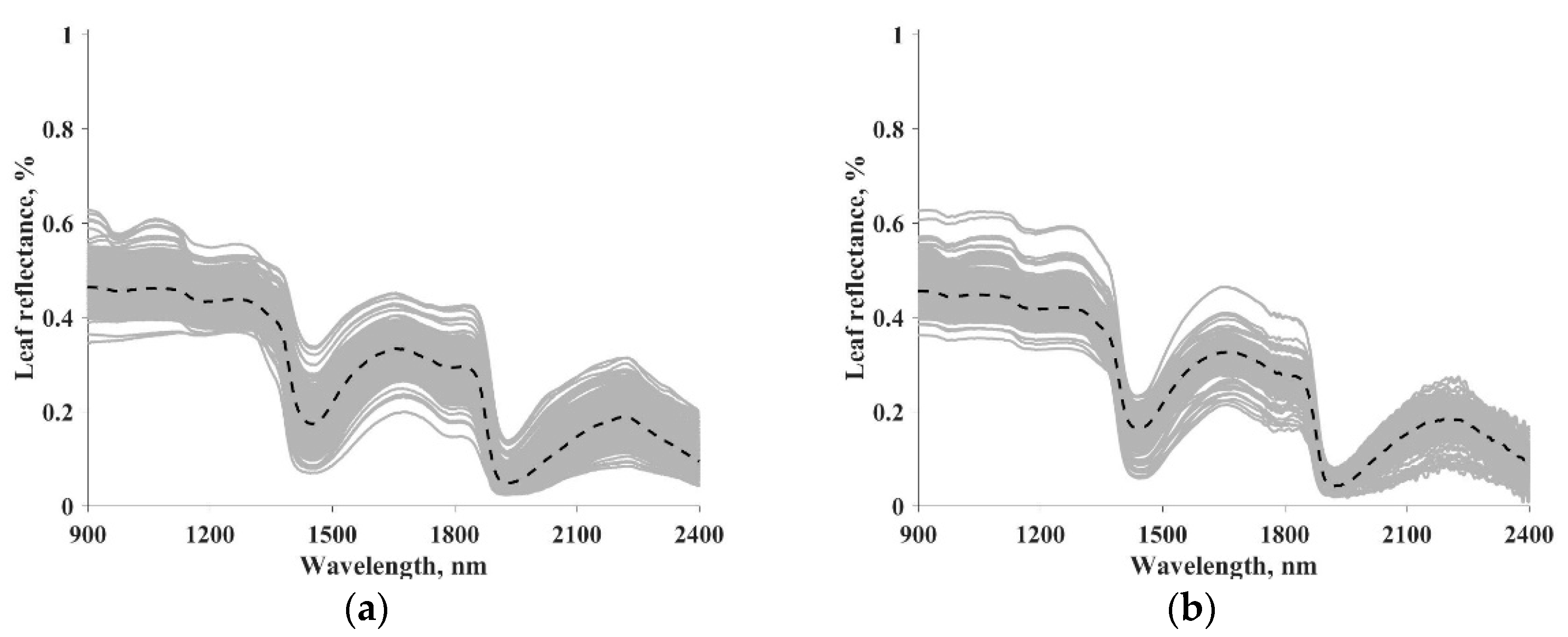
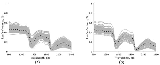
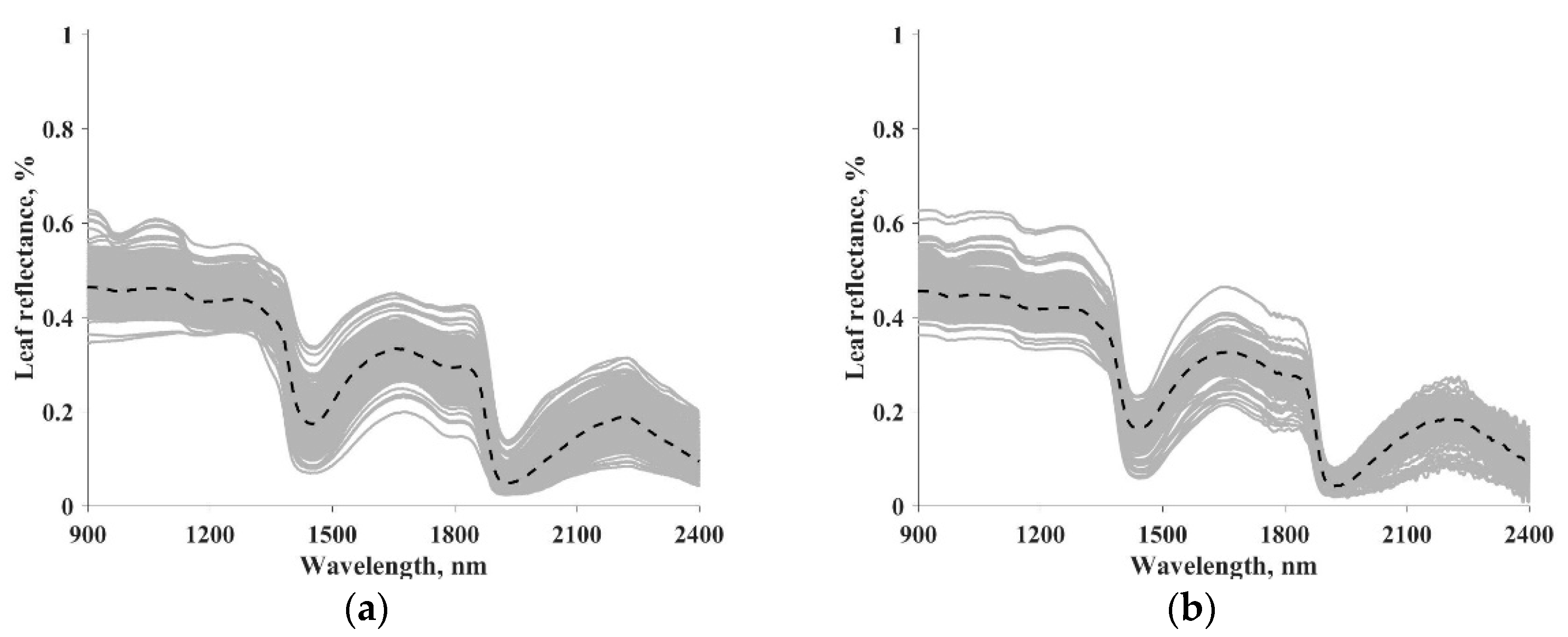
2.1. Description of the Experimental Datasets
2.2. Vegetation Indices
2.2.1. Vegetation Indices Sensitive to EWT
2.2.2. Vegetation Indices Sensitive to LMA
2.3. Machine Learning Techniques
2.3.1. K-Nearest Neighbor (KNN)
2.3.2. Partial Least Squares Regression (PLSR)
2.3.3. Support Vector Regression (SVR)
2.3.4. Random Forest (RF)
2.3.5. Cross-Validation
2.4. Design of Experiments
3. Results
3.1. VI-Based Method (M1) for the Estimation of EWT and LMA
3.2. ML-Reflectance-Based Method (M2) for the Estimation of EWT and LMA
3.3. ML-VI-Based Method (M3) for the Estimation of EWT and LMA
4. Discussion
4.1. Performances of the Data-Driven Methods
4.2. Potential and Limitations of the Data-Driven Methods
5. Conclusions
Author Contributions
Funding
Acknowledgments
Conflicts of Interest
References
- de la Riva, E.G.; Olmo, M.; Poorter, H.; Ubera, J.L.; Villar, R. Leaf Mass per Area (LMA) and Its Relationship with Leaf Structure and Anatomy in 34 Mediterranean Woody Species along a Water Availability Gradient. PLoS ONE 2016, 11, e0148788. [Google Scholar] [CrossRef] [PubMed]
- Féret, J.B.; le Maire, G.; Jay, S.; Berveiller, D.; Bendoula, R.; Hmimina, G.; Cheraiet, A.; Oliveira, J.C.; Ponzoni, F.J.; Solanki, T.; et al. Estimating leaf mass per area and equivalent water thickness based on leaf optical properties: Potential and limitations of physical modeling and machine learning. Remote. Sens. Environ. 2019, 231, 110959. [Google Scholar] [CrossRef]
- Schimel, D.; Pavlick, R.; Fisher, J.B.; Asner, G.P.; Saatchi, S.; Townsend, P.; Miller, C.; Frankenberg, C.; Hibbard, K.; Cox, P. Observing terrestrial ecosystems and the carbon cycle from space. Glob. Chang. Biol. 2015, 21, 1762–1776. [Google Scholar] [CrossRef] [PubMed]
- Jacquemoud, S.; Ustin, S.; Verdebout, J.; Schmuck, G.; Andreoli, G.; Hosgood, B. Estimating leaf biochemistry using the PROSPECT leaf optical properties model. Remote. Sens. Environ. 1996, 56, 194–202. [Google Scholar] [CrossRef]
- Cheng, T.; Rivard, B.; Sánchez-Azofeifa, A.G.; Féret, J.-B.; Jacquemoud, S.; Ustin, S.L. Deriving leaf mass per area (LMA) from foliar reflectance across a variety of plant species using continuous wavelet analysis. ISPRS J. Photogramm. Remote Sens. 2014, 87, 28–38. [Google Scholar] [CrossRef]
- Qiu, F.; Chen, J.M.; Ju, W.M.; Wang, J.; Zhang, Q.; Fang, M.H. Improving the PROSPECT Model to Consider Anisotropic Scattering of Leaf Internal Materials and Its Use for Retrieving Leaf Biomass in Fresh Leaves. IEEE Trans. Geosci. Remote Sens. 2018, 56, 3119–3136. [Google Scholar] [CrossRef]
- Conejo, E.; Frangi, J.-P.; de Rosny, G. Neural network implementation for a reversal procedure for water and dry matter estimation on plant leaves using selected LED wavelengths. Appl. Opt. 2015, 54, 5453. [Google Scholar] [CrossRef]
- Yi, Q.; Wang, F.; Bao, A.; Jiapaer, G. Leaf and canopy water content estimation in cotton using hyperspectral indices and radiative transfer models. Int. J. Appl. Earth Obs. Geoinf. 2014, 33, 67–75. [Google Scholar] [CrossRef]
- Baret, F.; Buis, S. Estimating Canopy Characteristics from Remote Sensing Observations: Review of Methods and Associated Problems. In Advances in Land Remote Sensing: System, Modeling, Inversion and Application; Liang, S., Ed.; Springer: Dordrecht, The Netherlands, 2008; pp. 173–201. [Google Scholar]
- Féret, J.B.; Gitelson, A.A.; Noble, S.D.; Jacquemoud, S. PROSPECT-D: Towards modeling leaf optical properties through a complete lifecycle. Remote. Sens. Environ. 2017, 193, 204–215. [Google Scholar] [CrossRef]
- Jacquemoud, S.; Baret, F. PROSPECT: A model of leaf optical properties spectra. Remote. Sens. Environ. 1990, 34, 75–91. [Google Scholar] [CrossRef]
- Wang, B.; Ju, W. Limitations and Improvements of the Leaf Optical Properties Model Leaf Incorporating Biochemistry Exhibiting Reflectance and Transmittance Yields (LIBERTY). Remote Sens. 2017, 9, 431. [Google Scholar] [CrossRef]
- Dawson, T.P.; Curran, P.J.; Plummer, S.E. LIBERTY—Modeling the Effects of Leaf Biochemical Concentration on Reflectance Spectra. Remote. Sens. Environ. 1998, 65, 50–60. [Google Scholar] [CrossRef]
- Maier, S.W.; Lüdeker, W.; Günther, K.P. SLOP: A Revised Version of the Stochastic Model for Leaf Optical Properties. Remote. Sens. Environ. 1999, 68, 273–280. [Google Scholar] [CrossRef]
- Ali, A.M.; Darvishzadeh, R.; Skidmore, A.K.; Duren, I.V.; Heiden, U.; Heurich, M. Estimating leaf functional traits by inversion of PROSPECT: Assessing leaf dry matter content and specific leaf area in mixed mountainous forest. Int. J. Appl. Earth Obs. Geoinf. 2016, 45, 66–76. [Google Scholar] [CrossRef]
- Li, P.; Wang, Q. Retrieval of Leaf Biochemical Parameters Using PROSPECT Inversion: A New Approach for Alleviating Ill-Posed Problems. IEEE Trans. Geosci. Remote Sens. 2011, 49, 2499–2506. [Google Scholar]
- Koirala, B.; Zahiri, Z.; Scheunders, P. A Machine Learning Framework for Estimating Leaf Biochemical Parameters from Its Spectral Reflectance and Transmission Measurements. IEEE Trans. Geosci. Remote Sens. 2020, 1–13. [Google Scholar] [CrossRef]
- Liu, L.; Song, B.; Zhang, S.; Liu, X. A Novel Principal Component Analysis Method for the Reconstruction of Leaf Reflectance Spectra and Retrieval of Leaf Biochemical Contents. Remote Sens. 2017, 9, 1113. [Google Scholar] [CrossRef]
- Asner, G.P.; Martin, R.E.; Tupayachi, R.; Emerson, R.; Martinez, P.; Sinca, F.; Powell, G.V.N.; Wright, S.J.; Lugo, A.E. Taxonomy and remote sensing of leaf mass per area (LMA) in humid tropical forests. Ecol. Appl. 2011, 21, 85–98. [Google Scholar] [CrossRef]
- Yao, X.; Huang, Y.; Shang, G.; Zhou, C.; Cheng, T.; Tian, Y.; Cao, W.; Zhu, Y. Evaluation of Six Algorithms to Monitor Wheat Leaf Nitrogen Concentration. Remote Sens. 2015, 7, 14939–14966. [Google Scholar] [CrossRef]
- Shah, S.H.; Angel, Y.; Houborg, R.; Ali, S.; McCabe, M.F. A Random Forest Machine Learning Approach for the Retrieval of Leaf Chlorophyll Content in Wheat. Remote Sens. 2019, 11, 920. [Google Scholar] [CrossRef]
- Féret, J.-B.; François, C.; Gitelson, A.; Asner, G.P.; Barry, K.M.; Panigada, C.; Richardson, A.D.; Jacquemoud, S. Optimizing spectral indices and chemometric analysis of leaf chemical properties using radiative transfer modeling. Remote. Sens. Environ. 2011, 115, 2742–2750. [Google Scholar] [CrossRef]
- le Maire, G.; François, C.; Soudani, K.; Berveiller, D.; Pontailler, J.-Y.; Bréda, N.; Genet, H.; Davi, H.; Dufrêne, E. Calibration and validation of hyperspectral indices for the estimation of broadleaved forest leaf chlorophyll content, leaf mass per area, leaf area index and leaf canopy biomass. Remote. Sens. Environ. 2008, 112, 3846–3864. [Google Scholar] [CrossRef]
- Frampton, W.J.; Dash, J.; Watmough, G.; Milton, E.J. Evaluating the capabilities of Sentinel-2 for quantitative estimation of biophysical variables in vegetation. ISPRS J. Photogramm. Remote Sens. 2013, 82, 83–92. [Google Scholar] [CrossRef]
- Colombo, R.; Meroni, M.; Marchesi, A.; Busetto, L.; Rossini, M.; Giardino, C.; Panigada, C. Estimation of leaf and canopy water content in poplar plantations by means of hyperspectral indices and inverse modeling. Remote. Sens. Environ. 2008, 112, 1820–1834. [Google Scholar] [CrossRef]
- Yang, B.; He, Y.; Chen, W. A simple method for estimation of leaf dry matter content in fresh leaves using leaf scattering albedo. Glob. Ecol. Conserv. 2020, 23, e01201. [Google Scholar] [CrossRef]
- Wang, L.L.; Qu, J.J.; Hao, X.J.; Hunt, E.R. Estimating dry matter content from spectral reflectance for green leaves of different species. Int. J. Remote Sens. 2011, 32, 7097–7109. [Google Scholar] [CrossRef]
- Penuelas, J.; Pinol, J.; Ogaya, R.; Filella, I. Estimation of plant water concentration by the reflectance Water Index WI (R900/R970). Int. J. Remote Sens. 2010, 18, 2869–2875. [Google Scholar] [CrossRef]
- Gao, B.-C. NDWI—A normalized difference water index for remote sensing of vegetation liquid water from space. Remote. Sens. Environ. 1996, 58, 257–266. [Google Scholar] [CrossRef]
- Zarco-Tejada, P.J.; Rueda, C.A.; Ustin, S.L. Water content estimation in vegetation with MODIS reflectance data and model inversion methods. Remote Sens. Environ. 2003, 85, 109–124. [Google Scholar] [CrossRef]
- Yilmaz, M.T.; Hunt, E.R.; Jackson, T.J. Remote sensing of vegetation water content from equivalent water thickness using satellite imagery. Remote Sens. Environ. 2008, 112, 2514–2522. [Google Scholar] [CrossRef]
- Hunt, E.R.; Rock, B.N. Detection of changes in leaf water content using Near- and Middle-Infrared reflectances. Remote. Sens. Environ. 1989, 30, 43–54. [Google Scholar]
- Wang, Z.; Wang, T.; Darvishzadeh, R.; Skidmore, A.; Jones, S.; Suarez, L.; Woodgate, W.; Heiden, U.; Heurich, M.; Hearne, J. Vegetation Indices for Mapping Canopy Foliar Nitrogen in a Mixed Temperate Forest. Remote Sens. 2016, 8, 491. [Google Scholar] [CrossRef]
- Axelsson, C.; Skidmore, A.; Schlerf, M.; Fauzi, A.; Verhoef, W. Hyperspectral analysis of mangrove foliar chemistry using PLSR and support vector regression. Int. J. Remote Sens. 2013, 34, 1724–1743. [Google Scholar] [CrossRef]
- Chlingaryan, A.; Sukkarieh, S.; Whelan, B. Machine learning approaches for crop yield prediction and nitrogen status estimation in precision agriculture: A review. Comput. Electron. Agric. 2018, 151, 61–69. [Google Scholar] [CrossRef]
- Hosgood, B.; Jacquemoud, S.; Andreoli, G.; Verdebout, J.; Pedrini, G.; Schmuck, G. Leaf Optical Properties EXperiment 93 (LOPEX93); Ispra (Italy) European Commission—Joint Research Centre EUR 16095 EN; European Commission—Joint Research Centre: Ispra, Italy, 1994; p. 20. [Google Scholar]
- Feret, J.-B.; François, C.; Asner, G.P.; Gitelson, A.A.; Martin, R.E.; Bidel, L.P.R.; Ustin, S.L.; le Maire, G.; Jacquemoud, S. PROSPECT-4 and 5: Advances in the leaf optical properties model separating photosynthetic pigments. Remote. Sens. Environ. 2008, 112, 3030–3043. [Google Scholar] [CrossRef]
- Hardisky, M.A.; Klemas, V.; Smart, R.M. The influence of soil salinity, growth, form and leaf moisture on the spectral radiance of Spartina alterflora canopies. Photogramm. Eng. Remote Sens. 1983, 49, 77–83. [Google Scholar]
- Gao, Y.; Lu, D.; Li, G.; Wang, G.; Chen, Q.; Liu, L.; Li, D. Comparative Analysis of Modeling Algorithms for Forest Aboveground Biomass Estimation in a Subtropical Region. Remote Sens. 2018, 10, 627. [Google Scholar] [CrossRef]
- Wei, C.; Huang, J.; Mansaray, L.; Li, Z.; Liu, W.; Han, J. Estimation and Mapping of Winter Oilseed Rape LAI from High Spatial Resolution Satellite Data Based on a Hybrid Method. Remote Sens. 2017, 9, 488. [Google Scholar] [CrossRef]
- McRoberts, R.E.; Magnussen, S.; Tomppo, E.O.; Chirici, G. Parametric, bootstrap, and jackknife variance estimators for the k-Nearest Neighbors technique with illustrations using forest inventory and satellite image data. Remote. Sens. Environ. 2011, 115, 3165–3174. [Google Scholar] [CrossRef]
- Reese, H.; Nilsson, M.; Sandstrom, P.; Olsson, H. Applications using estimates of forest parameters derived from satellite and forest inventory data. Comput. Electron. Agric. 2002, 37, 37–55. [Google Scholar] [CrossRef]
- Tomppo, E. Using coarse scale forest variables as ancillary information and weighting of variables in k-NN estimation: A genetic algorithm approach. Remote Sens. Environ. 2004, 92, 1–20. [Google Scholar] [CrossRef]
- Jin, J.; Wang, Q. Evaluation of Informative Bands Used in Different PLS Regressions for Estimating Leaf Biochemical Contents from Hyperspectral Reflectance. Remote Sens. 2019, 11, 197. [Google Scholar] [CrossRef]
- Hansen, P.M.; Schjoerring, J.K. Reflectance measurement of canopy biomass and nitrogen status in wheat crops using normalized difference vegetation indices and partial least squares regression. Remote. Sens. Environ. 2003, 86, 542–553. [Google Scholar] [CrossRef]
- Asner, G.P.; Martin, R.E.; Ford, A.J.; Metcalfe, D.J.; Liddell, M.J. Leaf chemical and spectral diversity in Australian tropical forests. Ecol. Appl. 2009, 19, 236–253. [Google Scholar] [CrossRef] [PubMed]
- Brown, M.P.S.; Grundy, W.N.; Lin, D.; Cristianini, N.; Sugnet, C.W.; Furey, T.S.; Ares, M.; Haussler, D. Knowledge-based analysis of microarray gene expression data by using support vector machines. Proc. Natl. Acad. Sci. USA 2000, 97, 262–267. [Google Scholar] [CrossRef] [PubMed]
- Cherkassky, V.; Ma, Y. Practical selection of SVM parameters and noise estimation for SVM regression. Neural Netw. 2004, 17, 113–126. [Google Scholar] [CrossRef]
- Li, M.; Im, J.; Quackenbush, L.J.; Liu, T. Forest Biomass and Carbon Stock Quantification Using Airborne LiDAR Data: A Case Study Over Huntington Wildlife Forest in the Adirondack Park. IEEE J. Sel. Top. Appl. Earth Observ. 2014, 7, 3143–3156. [Google Scholar] [CrossRef]
- Gara, T.W.; Darvishzadeh, R.; Skidmore, A.K.; Wang, T.; Heurich, M. Accurate modelling of canopy traits from seasonal Sentinel-2 imagery based on the vertical distribution of leaf traits. ISPRS J. Photogramm. Remote Sens. 2019, 157, 108–123. [Google Scholar] [CrossRef]
- He, Y.; Yang, B.; Lin, H.; Zhang, J. Modeling Polarized Reflectance of Natural Land Surfaces Using Generalized Regression Neural Networks. Remote Sens. 2020, 12, 248. [Google Scholar] [CrossRef]
- Li, Y.; Huang, J. Remote Sensing of Pigment Content at a Leaf Scale: Comparison among Some Specular Removal and Specular Resistance Methods. Remote Sens. 2019, 11, 983. [Google Scholar] [CrossRef]
- Mountrakis, G.; Im, J.; Ogole, C. Support vector machines in remote sensing: A review. ISPRS J. Photogramm. Remote Sens. 2011, 66, 247–259. [Google Scholar] [CrossRef]
- Merzlyak, M.N.; Chivkunova, O.B.; Melø, T.B.; Naqvi, K.R. Does a leaf absorb radiation in the near infrared (780–900 nm) region? A new approach to quantifying optical reflection, absorption and transmission of leaves. Photosynth. Res. 2002, 72, 263–270. [Google Scholar] [CrossRef]
- Pearlman, J.S.; Barry, P.S.; Segal, C.C.; Shepanski, J.; Beiso, D.; Carman, S.L. Hyperion, a space-based imaging spectrometer. IEEE Trans. Geosci. Remote Sens. 2003, 41, 1160–1173. [Google Scholar] [CrossRef]
- Green, R.O.; Eastwood, M.L.; Sarture, C.M.; Chrien, T.G.; Aronsson, M.; Chippendale, B.J.; Faust, J.A.; Pavri, B.E.; Chovit, C.J.; Solis, M.; et al. Imaging Spectroscopy and the Airborne Visible/Infrared Imaging Spectrometer (AVIRIS). Remote. Sens. Environ. 1998, 65, 227–248. [Google Scholar] [CrossRef]
- Jacquemoud, S.; Verhoef, W.; Baret, F.; Bacour, C.; Zarco-Tejada, P.J.; Asner, G.P.; Francois, C.; Ustin, S.L. PROSPECT plus SAIL models: A review of use for vegetation characterization. Remote. Sens. Environ. 2009, 113, S56–S66. [Google Scholar] [CrossRef]
- Verhoef, W. Light scattering by leaf layers with application to canopy reflectance modeling: The SAIL model. Remote Sens. Environ. 1984, 16, 125–141. [Google Scholar] [CrossRef]
- Gastellu-Etchegorry, J.P.; Martin, E.; Gascon, F. DART: A 3D model for simulating satellite images and studying surface radiation budget. Int. J. Remote Sens. 2004, 25, 73–96. [Google Scholar] [CrossRef]
- Gastellu-Etchegorry, J.-P.; Yin, T.; Lauret, N.; Cajgfinger, T.; Gregoire, T.; Grau, E.; Feret, J.-B.; Lopes, M.; Guilleux, J.; Dedieu, G.; et al. Discrete Anisotropic Radiative Transfer (DART 5) for Modeling Airborne and Satellite Spectroradiometer and LIDAR Acquisitions of Natural and Urban Landscapes. Remote Sens. 2015, 7, 1667–1701. [Google Scholar] [CrossRef]
- Huang, D.; Knyazikhin, Y.; Wang, W.; Deering, D.W.; Stenberg, P.; Shabanov, N.; Tan, B.; Myneni, R.B. Stochastic transport theory for investigating the three-dimensional canopy structure from space measurements. Remote. Sens. Environ. 2008, 112, 35–50. [Google Scholar] [CrossRef]
- Yang, B.; Knyazikhin, Y.; Xie, D.; Zhao, H.; Zhang, J.; Wu, Y. Influence of Leaf Specular Reflection on Canopy Radiative Regime Using an Improved Version of the Stochastic Radiative Transfer Model. Remote Sens. 2018, 10, 1632. [Google Scholar] [CrossRef]
- Knyazikhin, Y.; Schull, M.A.; Stenberg, P.; Mottus, M.; Rautiainen, M.; Yang, Y.; Marshak, A.; Carmona, P.L.; Kaufmann, R.K.; Lewis, P.; et al. Hyperspectral remote sensing of foliar nitrogen content. Proc. Natl. Acad. Sci. USA 2013, 110, E185–E192. [Google Scholar] [CrossRef]
- Stenberg, P.; Mõttus, M.; Rautiainen, M. Photon recollision probability in modelling the radiation regime of canopies—A review. Remote Sens. Environ. 2016, 183, 98–108. [Google Scholar] [CrossRef]
- Wang, Z.; Skidmore, A.K.; Wang, T.; Darvishzadeh, R.; Heiden, U.; Heurich, M.; Latifi, H.; Hearne, J. Canopy foliar nitrogen retrieved from airborne hyperspectral imagery by correcting for canopy structure effects. Int. J. Appl. Earth Obs. Geoinf. 2017, 54, 84–94. [Google Scholar] [CrossRef]
- Yang, B.; Knyazikhin, Y.; Lin, Y.; Yan, K.; Chen, C.; Park, T.; Choi, S.; Mõttus, M.; Rautiainen, M.; Myneni, R.; et al. Analyses of Impact of Needle Surface Properties on Estimation of Needle Absorption Spectrum: Case Study with Coniferous Needle and Shoot Samples. Remote Sens. 2016, 8, 563. [Google Scholar] [CrossRef]
- Ustin, S.L. Remote sensing of canopy chemistry. Proc. Natl. Acad. Sci. USA 2013, 110, 804–805. [Google Scholar] [CrossRef]




| LOPEX | ANGERS | |
|---|---|---|
| Samples | 320 | 276 |
| Species/genotypes | 45 | 43 |
| EWT (mg.cm−2) | ||
| Min–max | 2.10–52.49 | 4.39–34.00 |
| Mean ± SD | 11.44 ± 6.86 | 11.62 ± 4.86 |
| LMA (mg.cm−2) | ||
| Min–max | 1.71–15.73 | 1.66–33.10 |
| Mean ± SD | 5.36 ± 2.48 | 5.24 ± 3.67 |
| Biochemical Component | Vegetation Index | Formula | Reference |
|---|---|---|---|
| EWT | WI | R900/R970 | [28] |
| NDWI | (R860 − R1240)/(R860 + R1240) | [29] | |
| SRWI | R860/R1240 | [30] | |
| NDII | (R819 − R1600)/(R819 + R1600) | [31] | |
| MSI | R1600/R820 | [32] | |
| DWI | (R816 − R2218)/(R816 + R2218) | [25] | |
| LMA | NDLMA | (R1368 − R1722)/(R1368 + R1722) | [23] |
| NDMI | (R1649 − R1722)/(R1649 + R1722) | [27] | |
| ND | (R2295 − R1550)/(R2295 + R1550) | [23] | |
| RI1368,1722 | R1368/R1722 | [22] |
| Components | VI | Formula | ||
|---|---|---|---|---|
| S1 | S2 | S3 | ||
| EWT | WI | |||
| NDWI | ||||
| SRWI | ||||
| NDII | ||||
| MSI | ||||
| DWI | ||||
| LMA | NDLMA | |||
| NDMI | ||||
| ND | ||||
| RI1368 | ||||
| Components | VI | S1 | S2 | S3 | |||
|---|---|---|---|---|---|---|---|
| RMSE | R2 | RMSE | R2 | RMSE | R2 | ||
| EWT | WI | 3.0244 | 0.7782 | 5.5288 | 0.6821 | 2.7380 | 0.8097 |
| NDWI | 3.0205 | 0.7016 | 4.4504 | 0.6376 | 3.0689 | 0.7433 | |
| SRWI | 3.0393 | 0.6995 | 4.6990 | 0.6116 | 3.1076 | 0.7489 | |
| NDII | 2.5061 | 0.8093 | 2.9805 | 0.8168 | 2.5646 | 0.8523 | |
| MSI | 2.2633 | 0.8535 | 2.6081 | 0.9012 | 2.1831 | 0.8759 | |
| DWI | 3.2537 | 0.8436 | 3.2200 | 0.8553 | 2.5724 | 0.8096 | |
| LMA | NDLMA | 1.8933 | 0.7915 | 2.8150 | 0.5589 | 1.8645 | 0.7801 |
| NDMI | 2.1267 | 0.7725 | 1.4489 | 0.7124 | 1.4209 | 0.8999 | |
| ND | 3.0859 | 0.3348 | 2.1180 | 0.3575 | 2.9588 | 0.3843 | |
| RI1368 | 2.6451 | 0.7069 | 2.6956 | 0.5706 | 2.1559 | 0.7454 | |
| Components | VI | S1 | S2 | S3 | |||
|---|---|---|---|---|---|---|---|
| RMSE | R2 | RMSE | R2 | RMSE | R2 | ||
| EWT | KNN | 2.2216 | 0.8336 | 3.3370 | 0.8333 | 2.4954 | 0.8257 |
| PLSR | 2.2088 | 0.9094 | 3.1585 | 0.8500 | 2.3079 | 0.8395 | |
| SVR | 1.5008 | 0.9208 | 2.5865 | 0.8880 | 2.2022 | 0.8544 | |
| RF | 2.3136 | 0.8613 | 3.4974 | 0.8032 | 2.3467 | 0.8353 | |
| LMA | KNN | 3.3199 | 0.2531 | 2.7787 | 0.1682 | 2.6046 | 0.5920 |
| PLSR | 3.0988 | 0.7243 | 3.3513 | 0.4784 | 2.1280 | 0.7049 | |
| SVR | 3.4337 | 0.7193 | 2.7915 | 0.5517 | 2.1111 | 0.7816 | |
| RF | 3.2095 | 0.3413 | 3.1539 | 0.1309 | 2.0228 | 0.7025 | |
| Components | VI | S1 | S2 | S3 | |||
|---|---|---|---|---|---|---|---|
| RMSE | R2 | RMSE | R2 | RMSE | R2 | ||
| EWT | KNN | 1.8600 | 0.8914 | 3.1195 | 0.8649 | 2.1233 | 0.8669 |
| PLSR | 2.0148 | 0.8779 | 3.2849 | 0.8036 | 1.9680 | 0.8839 | |
| SVR | 2.0922 | 0.8905 | 2.9502 | 0.8835 | 1.8847 | 0.8940 | |
| RF | 1.9546 | 0.8920 | 2.9848 | 0.8601 | 2.2065 | 0.8562 | |
| LMA | KNN | 2.3000 | 0.6288 | 1.5937 | 0.7200 | 1.5829 | 0.8736 |
| PLSR | 1.3319 | 0.8690 | 1.9215 | 0.7452 | 1.1196 | 0.9087 | |
| SVR | 1.4697 | 0.8888 | 1.8224 | 0.7239 | 1.0833 | 0.9158 | |
| RF | 2.2438 | 0.6850 | 2.0376 | 0.6193 | 1.3913 | 0.9033 | |
| Sampling | ML | M2 | M3 | ||
|---|---|---|---|---|---|
| EWT | LMA | EWT | LMA | ||
| S1 | KNN | 2.2216 | 3.3199 | 1.8600 | 2.3000 |
| PLS | 2.2088 | 3.0988 | 2.0148 | 1.3319 | |
| SVR | 1.5008 | 3.4337 | 2.0922 | 1.4697 | |
| RF | 2.3136 | 3.2095 | 1.9546 | 2.2438 | |
| S2 | KNN | 3.3370 | 2.7787 | 3.1195 | 1.5937 |
| PLS | 3.1585 | 3.3513 | 3.2849 | 1.9215 | |
| SVR | 2.5865 | 2.7915 | 2.9502 | 1.8224 | |
| RF | 3.4974 | 3.1539 | 2.9848 | 2.0376 | |
| S3 | KNN | 2.4954 | 2.6046 | 2.1233 | 1.5829 |
| PLS | 2.3079 | 2.1280 | 1.9680 | 1.1196 | |
| SVR | 2.2022 | 2.1111 | 1.8847 | 1.0833 | |
| RF | 2.3467 | 2.0228 | 2.2065 | 1.3913 | |
| Average | - | 2.5147 | 2.8337 | 2.3703 | 1.6581 |
| Sampling | M1 | M3 | ||
|---|---|---|---|---|
| EWT (MSI) | LMA (NDMI) | EWT (SVR) | LMA (SVR) | |
| S1 | 2.2633 | 2.1267 | 2.0922 | 1.4697 |
| S2 | 2.6081 | 1.4489 | 2.9502 | 1.8224 |
| S3 | 2.1831 | 1.4209 | 1.8847 | 1.0833 |
| Average | 2.3515 | 1.6655 | 2.3090 | 1.4585 |
© 2020 by the authors. Licensee MDPI, Basel, Switzerland. This article is an open access article distributed under the terms and conditions of the Creative Commons Attribution (CC BY) license (http://creativecommons.org/licenses/by/4.0/).
Share and Cite
Yang, B.; Lin, H.; He, Y. Data-Driven Methods for the Estimation of Leaf Water and Dry Matter Content: Performances, Potential and Limitations. Sensors 2020, 20, 5394. https://doi.org/10.3390/s20185394
Yang B, Lin H, He Y. Data-Driven Methods for the Estimation of Leaf Water and Dry Matter Content: Performances, Potential and Limitations. Sensors. 2020; 20(18):5394. https://doi.org/10.3390/s20185394
Chicago/Turabian StyleYang, Bin, Hui Lin, and Yuhao He. 2020. "Data-Driven Methods for the Estimation of Leaf Water and Dry Matter Content: Performances, Potential and Limitations" Sensors 20, no. 18: 5394. https://doi.org/10.3390/s20185394
APA StyleYang, B., Lin, H., & He, Y. (2020). Data-Driven Methods for the Estimation of Leaf Water and Dry Matter Content: Performances, Potential and Limitations. Sensors, 20(18), 5394. https://doi.org/10.3390/s20185394

