Environmental Impacts on Hardware-Based Link Quality Estimators in Wireless Sensor Networks
Abstract
1. Introduction
2. Related Works
3. Experimental Setup
3.1. Experimental Environments
3.2. Data Acquiring and Processing
4. Typical Hardware-Based LQEs: A Survey
4.1. Mapping Models between Communication Distance and PRR
4.2. SNR Based LQEs and Their Mapping Models
4.3. RSSI Based LQEs and Their Mapping Models
4.4. LQI Based LQEs and Their Mapping Models
5. Environmental Impacts on Hardware-Based LQEs
5.1. Environmental Impacts on Mapping Models between Distance and PRR
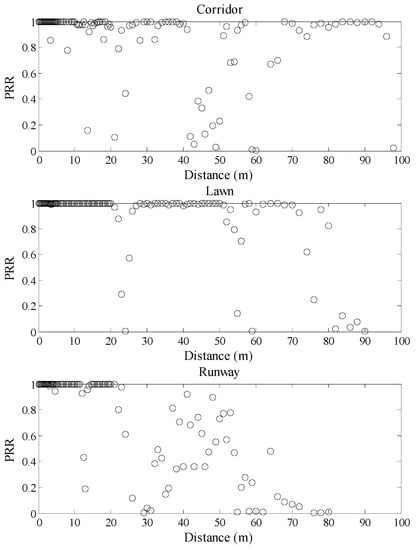
5.1.1. Communication Distance and PRR in Different Environments
5.1.2. Environmental Impacts on Mapping Models between Distance and PRR
5.2. Environmental Impacts on RSSI Based LQEs
5.2.1. RSSI and PRR in Different Environments
5.2.2. Environmental Impacts on RSSI Based LQEs
5.3. Environmental Impacts on SNR Based LQEs
5.3.1. SNR and PRR in Different Environments
5.3.2. Environmental Impacts on SNR Based LQEs
5.4. Environmental Impacts on LQI Based LQEs
5.4.1. LQI and PRR in Different Environments
5.4.2. Environmental Impacts on LQI Based LQEs
5.5. Main Conclusions and Deep Analysis
- Conclusion 1. It is not accurate to estimate PRR using communication distance, and they may be useless when changing environments.
- Conclusion 2. When the environment changes, the fluctuation range of RSSI and SNR will be affected and that of LQI is almost unchanged.
- Conclusion 3.RSSI based LQEs may degrade when the environment changes. Fortunately, this degradation is mainly caused by the change of background noise, which could be compensated conveniently.
- Conclusion 4. The best environmental adaptability is gained by LQI and SNR based LQEs, as they are almost unaffected when the environment changes.
- Conclusion 5. LQI based LQEs are more accurate than SNR based ones in the transitional region. Nevertheless, compared with SNR, the fluctuation range of LQI is much larger, which needs a larger smoothing window to converge. In addition, the calculation of LQI is typically vendor-specific [2]. Therefore, the tradeoff between accuracy, agility, and convenience should be considered in practice.
6. Conclusions and Future Works
Author Contributions
Funding
Conflicts of Interest
References
- Prasad, P. Recent trend in wireless sensor network and its applications: A survey. Sens. Rev. 2015, 35, 229–236. [Google Scholar] [CrossRef]
- Baccour, N.; Koubaa, A.; Mottola, L.; Youssef, H.; Boano, C.A.; Alves, M. Radio link quality estimation in wireless sensor networks: A survey. ACM Trans. Sens. Netw. 2012, 8, 1–33. [Google Scholar] [CrossRef]
- Woo, A.; Culler, D. Evaluation of Efficient Link Reliability Estimators for Low-Power Wireless Networks; Technical Report UCB/CSD-03-1270; EECS Department, University of California: Berkeley, CA, USA, 2003. [Google Scholar]
- Baccour, N.; Koubaa, A.; Youssef, H.; Jamaa, M.B.; Rosario, D.; Alves, M.; Becker, L.B. F-LQE: A fuzzy link quality estimator for wireless sensor networks. In Proceedings of the 7th European Conference on Wireless Sensor Networks, Coimbra, Portugal, 17–19 February 2010; pp. 240–255. [Google Scholar]
- Rekik, S.; Baccour, N.; Jmaiel, M.; Drira, K. Low-power link quality estimation in smart grid environments. In Proceedings of the International Wireless Communications and Mobile Computing Conference, Dubrovnik, Croatia, 24–28 August 2015; pp. 1211–1216. [Google Scholar]
- Jayasri, T.; Hemalatha, M. Link quality estimation for adaptive data streaming in WSN. Wirel. Pers. Commun. 2016, 94, 1543–1562. [Google Scholar] [CrossRef]
- Liu, W.; Xia, Y.; Luo, R. FaLQE: Fluctuation adaptive link quality estimator for wireless sensor networks. Commun. Comput. Inf. Sci. 2019, 1101, 48–60. [Google Scholar]
- Senel, M.; Chintalapudi, K.; Lal, D.; Keshavarzian, A.; Coyle, E.J. A kalman filter based link quality estimation scheme for wireless sensor networks. In Proceedings of the IEEE Global Telecommunications Conference, Washington, DC, USA, 26–30 November 2007; pp. 875–880. [Google Scholar]
- Zhao, J.; Govindan, R. Understanding packet delivery performance in dense wireless sensor networks. In Proceedings of the 1st International Conference on Embedded Networked Sensor Systems, Los Angeles, CA, USA, 5–7 November 2003; pp. 1–13. [Google Scholar]
- Srinivasan, K.; Kazandjieva, M.A.; Agarwal, S.; Levis, P. The β-factor: Measuring wireless link burstiness. In Proceedings of the 6th ACM Conference on Embedded Networked Sensor Systems, Raleigh, NC, USA, 5–7 November 2008; pp. 29–42. [Google Scholar]
- Liu, Z.; Tao, J.; Chen, W. Effect evaluation of one-hop transmission distance vs performance in wireless sensor network. J. Commun. 2012, 33, 255–261. (In Chinese) [Google Scholar]
- Sun, W.; Yuan, X.; Wang, J.; Li, Q.; Chen, L.; Mu, D. End-to-end data delivery reliability model for estimating and optimizing the link quality of industrial WSNs. IEEE Trans. Autom. Sci. Eng. 2018, 15, 1127–1137. [Google Scholar] [CrossRef]
- Texas Instruments, Inc. CC2420. Available online: http://www.ti.com/lit/ds/symlink/cc2420.pdf (accessed on 1 April 2020).
- Microchip, Inc. AT86RF230. Available online: https://www.microchip.com/wwwproducts/en/at86rf230 (accessed on 1 April 2020).
- Bildea, A.; Alphand, O.; Rousseau, F.; Duda, A. Link quality metrics in large scale indoor wireless sensor networks. In Proceedings of the IEEE International Symposium on Personal Indoor and Mobile Radio Communications, London, UK, 8–11 September 2013; pp. 1888–1892. [Google Scholar]
- Shu, J.; Tao, J.; Liu, L.; Chen, Y.; Zang, C. CCI-based link quality estimation mechanism for wireless sensor networks under non-perceived packet loss. J. China Univ. Posts Telecommun. 2013, 20, 1–10. [Google Scholar] [CrossRef]
- Luo, J.; Yu, L.; Zhang, D.; Xia, Z.; Chen, W. A new link quality estimation mechanism based on LQI in WSN. Inf. Technol. J. 2013, 12, 1626–1631. [Google Scholar] [CrossRef][Green Version]
- Carles, G.; Antoni, B.; Josep, P. Impact of LQI-Based routing metrics on the performance of a one-to-one routing protocol for IEEE 802.15.4 multihop networks. Eurasip J. Wirel. Commun. Netw. 2010, 6, 1–20. [Google Scholar]
- Gomes, R.D.; Queiroz, D.V.; Filho, A.C.L.; Fonseca, I.E. Real-time link quality estimation for industrial wireless sensor networks using dedicated nodes. Ad Hoc Netw. 2017, 59, 116–133. [Google Scholar] [CrossRef]
- Ye, R.; Boukerche, A.; Wang, H.; Zhou, X.; Yan, B. RECODAN: An efficient redundancy coding-based data transmission scheme for wireless sensor networks. Comput. Netw. 2016, 110, 351–363. [Google Scholar] [CrossRef]
- Sun, W.; Lu, W.; Li, Q.; Chen, L.; Mu, D.; Yuan, X. WNN-LQE: Wavelet-neural-network-based link quality estimation for smart grid WSNs. IEEE Access 2017, 5, 12788–12797. [Google Scholar] [CrossRef]
- Chang, X.; Huang, J.; Liu, S.; Xing, G.; Zhang, H.; Wang, J.; Huang, L.; Zhuang, Y. Accuracy-aware interference modeling and measurement in wireless sensor networks. IEEE Trans. Mob. Comput. 2016, 15, 278–291. [Google Scholar] [CrossRef]
- Srinivasan, K.; Dutta, P.; Tavakoli, A.; Levis, P. An empirical study of low-power wireless. ACM Trans. Sens. Netw. 2010, 6, 1–49. [Google Scholar] [CrossRef]
- Qin, F.; Dai, X.; Mitchell, J. Effective-SNR estimation for wireless sensor network using Kalman filter. Ad Hoc Netw. 2013, 11, 944–958. [Google Scholar] [CrossRef]
- Liu, W.; Xia, Y.; Luo, R.; Hu, S. Lightweight multi-parameter fusion link quality estimation based on weighted Euclidean distance. In Proceedings of the 30th Annual IEEE International Symposium on Personal, Indoor and Mobile Radio Communications, Istanbul, Turkey, 8–11 September 2019; pp. 1–6. [Google Scholar]
- Liu, T.; Cerpa, A.E. Data-driven link quality prediction using link features. ACM Trans. Sens. Netw. 2014, 10, 1–35. [Google Scholar] [CrossRef]
- Liu, T.; Cerpa, A.E. Temporal adaptive link quality prediction with online learning. ACM Trans. Sens. Netw. 2014, 10, 1–41. [Google Scholar] [CrossRef]
- Marinca, D.; Minet, D. On-line learning and prediction of link quality in wireless sensor networks. In Proceedings of the IEEE Global Telecommunications Conference, Austin, TX, USA, 8–12 December 2014; pp. 1245–1251. [Google Scholar]
- Fu, S.; Ceriotti, M.; Jiang, Y.; Shih, C.; Huan, X.; Marron, P.J. An approach to detect anomalous degradation in signal strength of IEEE 802.15.4 links. In Proceedings of the 15th Annual IEEE International Conference on Sensing, Communication, and Networking, Hong Kong, China, 11–13 June 2018; pp. 1–9. [Google Scholar]
- Shu, J.; Liu, S.; Liu, L.; Zhan, L.; Hu, G. Research on link quality estimation mechanism for wireless sensor networks based on support vector machine. Chin. J. Electron. 2017, 26, 377–384. [Google Scholar] [CrossRef]
- MEMSIC, Inc. TelosB Datasheet. Available online: http://www.memsic.cn/userfiles/files/6020-0094-02_B_TELOSB.pdf (accessed on 1 April 2020).
- Zheng, G.; Han, D.; Zheng, R.; Schmitz, C.; Yuan, X. A link quality inference model for IEEE 802.15.4 low-rate WPANs. In Proceedings of the IEEE Global Telecommunications Conference, Kathmandu, Nepal, 5–9 December 2011; pp. 1–6. [Google Scholar]
- Filip, B.; Mikael, G.; Tingting, Z. Ubiquitous, yet deceptive: Hardware-based channel metrics on interfered WSN links. IEEE Trans. Veh. Technol. 2015, 64, 1766–1778. [Google Scholar]


























| Ref. | RF Chip (Node Type) | Experimental Environment | Parameters | Modeling Method |
|---|---|---|---|---|
| [3] | N/A (Berkeley Mote) | indoor | PRR | N/A |
| [4] | CC2420 (TelosB) | outdoor (garden) | SNR, PRR | N/A |
| [5] | CC2420 (TelosB) | outdoor (500 kV substation), indoor (underground transformer vault and main power control room) | SNR, PRR, RNP | N/A |
| [6] | CC2550 (N/A) | indoor (industrial environment) | SNR, LQI, PRR | N/A |
| [7] | CC2420 (TelosB) | indoor (corridor), outdoor (rooftop and playground) | PRR | N/A |
| [8] | CC2420 (N/A) | indoor (office) | SNR, PRR | Pre-calibrated SNR-PRR relationship |
| [9] | RFM TR1000 (Mica) | indoor (office), outdoor (park and parking lot) | Distance, PRR | N/A |
| [10] | CC2420 (MicaZ, TelosB) | indoor (office), outdoor (dry lake) | RSSI, PRR | N/A |
| [11] | CC2420 (Imote2) | outdoor (road) | Distance, PRR | Fitting model |
| [12] | CC2530 (N/A) | outdoor (distribution substation, low-voltage transformer, and distribution lines in residential area) | Distances, SNR, RSSI, PRR | Theoretical model |
| [15] | CC1101 (N/A) | single environment | RSSI, LQI, PRR | N/A |
| [16] | CC2420 (TelosB) | outdoor | LQI, PRR | Cubic model |
| [17] | CC2420 (N/A) | indoor | LQI, PRR | Cubic model |
| [18] | CC2420 (TelosB) | indoor (laboratory) | LQI, PRR | Piecewise linear model |
| [19] | MRF24J40 (N/A) | indoor (industrial environment) | RSSI, PRR | Polynomial regression |
| [20] | CC2530 (N/A) | indoor, outdoor (square and grove) | RSSI, PRR | Logistic regression |
| [21] | CC2420 (MicaZ, TelosB) | indoor (office and a small home), outdoor (dry lake) | SNR, RSSI, LQI, PRR | N/A |
| [22] | CC2530 (N/A) | outdoor (smart grid) | SNR, RSSI, PRR | Theoretical model |
| [23] | CC2420 (TelosB) | indoor (office), outdoor (park, square) | SNR, PRR | Theoretical model |
| [24] | AT86RF231 (N/A) | outdoor (industrial) | SNR, PRR | Theoretical model |
| [25] | CC2420 (N/A) | indoor (corridor), outdoor (rooftop and playground) | SNR, LQI, PRR | Logistic regression |
| [26] | CC2420 (Tmote Sky) | indoor, outdoor | SNR, RSSI, LQI, PRR | Logistic regression |
| [27] | CC2420 (Tmote Sky) | indoor (office building) | SNR, RSSI, LQI, PRR | Logistic regression |
| [28] | N/A | different environments | LQI, PRR | N/A |
| [29] | CC2420 (TelosB) | indoor | RSSI | N/A |
| [30] | CC2420 (TelosB) | outdoor (road) | RSSI, LQI, PRR | N/A |
| Parameter | Value |
|---|---|
| Lc | 31.6899 dB |
| n | 1.5871 |
| σ | 1.0081 dB |
| Pn | −98.37 dBm |
| Runway | Lawn | Corridor | |
|---|---|---|---|
| Theoretical model | 0.2862 | 0.4507 | 0.5304 |
| Fitting model | 0.3191 | 0.4402 | 0.4474 |
| Runway | Artificial Lawn | Corridor | |
|---|---|---|---|
| LR model | 0.1161 | 0.1634 | 0.2693 |
| PR model | 0.1284 | 0.1455 | 0.1129 |
| Runway | Artificial Lawn | Corridor | |
|---|---|---|---|
| Theoretical model before calibration | 0.3009 | 0.1909 | 0.1749 |
| Theoretical model after calibration | 0.1253 | 0.0609 | 0.1442 |
| LR model after calibration | 0.1154 | 0.0659 | 0.1284 |
| Runway | Lawn | Corridor | |
|---|---|---|---|
| Cubic model | 0.1146 | 0.0921 | 0.1386 |
| Piecewise linear model | 0.1152 | 0.0826 | 0.1499 |
| LR model | 0.1152 | 0.0897 | 0.1417 |
© 2020 by the authors. Licensee MDPI, Basel, Switzerland. This article is an open access article distributed under the terms and conditions of the Creative Commons Attribution (CC BY) license (http://creativecommons.org/licenses/by/4.0/).
Share and Cite
Liu, W.; Xia, Y.; Zheng, D.; Xie, J.; Luo, R.; Hu, S. Environmental Impacts on Hardware-Based Link Quality Estimators in Wireless Sensor Networks. Sensors 2020, 20, 5327. https://doi.org/10.3390/s20185327
Liu W, Xia Y, Zheng D, Xie J, Luo R, Hu S. Environmental Impacts on Hardware-Based Link Quality Estimators in Wireless Sensor Networks. Sensors. 2020; 20(18):5327. https://doi.org/10.3390/s20185327
Chicago/Turabian StyleLiu, Wei, Yu Xia, Daqing Zheng, Jian Xie, Rong Luo, and Shunren Hu. 2020. "Environmental Impacts on Hardware-Based Link Quality Estimators in Wireless Sensor Networks" Sensors 20, no. 18: 5327. https://doi.org/10.3390/s20185327
APA StyleLiu, W., Xia, Y., Zheng, D., Xie, J., Luo, R., & Hu, S. (2020). Environmental Impacts on Hardware-Based Link Quality Estimators in Wireless Sensor Networks. Sensors, 20(18), 5327. https://doi.org/10.3390/s20185327

