Robust Lateral Stabilization Control of In-Wheel-Motor-Driven Mobile Robots via Active Disturbance Suppression Approach
Abstract
1. Introduction
- (1)
- Active front steering control (AFSC). Receiving considerable interest from the mobile robotic fields, the potential benefits of the AFSC include improving handling the behavior during normal driving and guaranteeing lateral motion stability by utilizing the front steering commands. For example, in the presence of actuator faults including loss-of-effectiveness fault, additive fault and stuck-at-fixed-level fault, the motion stabilization issue of electric vehicles via AFSC is addressed in [24]; Based on the lateral tire force, Nam et al., present a robust AFSC method to strengthen the vehicle stability and maneuverability [25]; To optimize the front steering angle of autonomous vehicles, a model predictive control method is designed to trace the desired reference trajectories [26]. In [27,28], to realize active front steering of steer-by-wire systems, enhanced yaw stability controllers are designed with the verified effectiveness implemented on hardware-in-the-loop platforms. Even though the existing AFSC scheme can handle some of the lateral motion control issues, it is only applicable to control the considered IWMD-MR at a moderate cornering level.
- (2)
- Direct yaw control (DYC). In addition to AFSC, the chassis DYC of the FAMR is able to achieve accurate yaw moment adjustment, leading to enhanced tracking performance with respect to dynamic tracking and asymptotical stability [29,30]. Different DYC related works have been explored, focusing on direct yaw moment scheduling of IWMD-MR. For seeking the optimal yaw moment and active steering angle, a multiobjective model predictive control method is provided to allocate the four-wheel torques and ensure the closed-loop stability of electrical vehicles [18]. By utilizing a robust control framework, Hu et al., resolve the motion stabilization issue of four-wheel electric vehicles to mitigate the modeling uncertainties, external disturbances and parameter variations [31]. To achieve yaw moment distribution, a hierarchical strategy is proposed by integrating an overlook controller and a servo-loop controller to effectively optimize the required yaw moment inputs of the IWMD-MR [32].
2. System Modeling and Problem Formulation
2.1. System Modeling
- A1. The pair (A,B) is controllable;
- A2. The vector B has full column rank and it is invertible in this paper.
- A3. The function f′(x,t) and the related gradient are bounded by unknown functions.
2.2. Problem Formulation
3. Main Results
3.1. The Proposed Control Structure
3.2. Adaption Law Design
4. Simulation Experimental Validations
4.1. Experimental Implementation
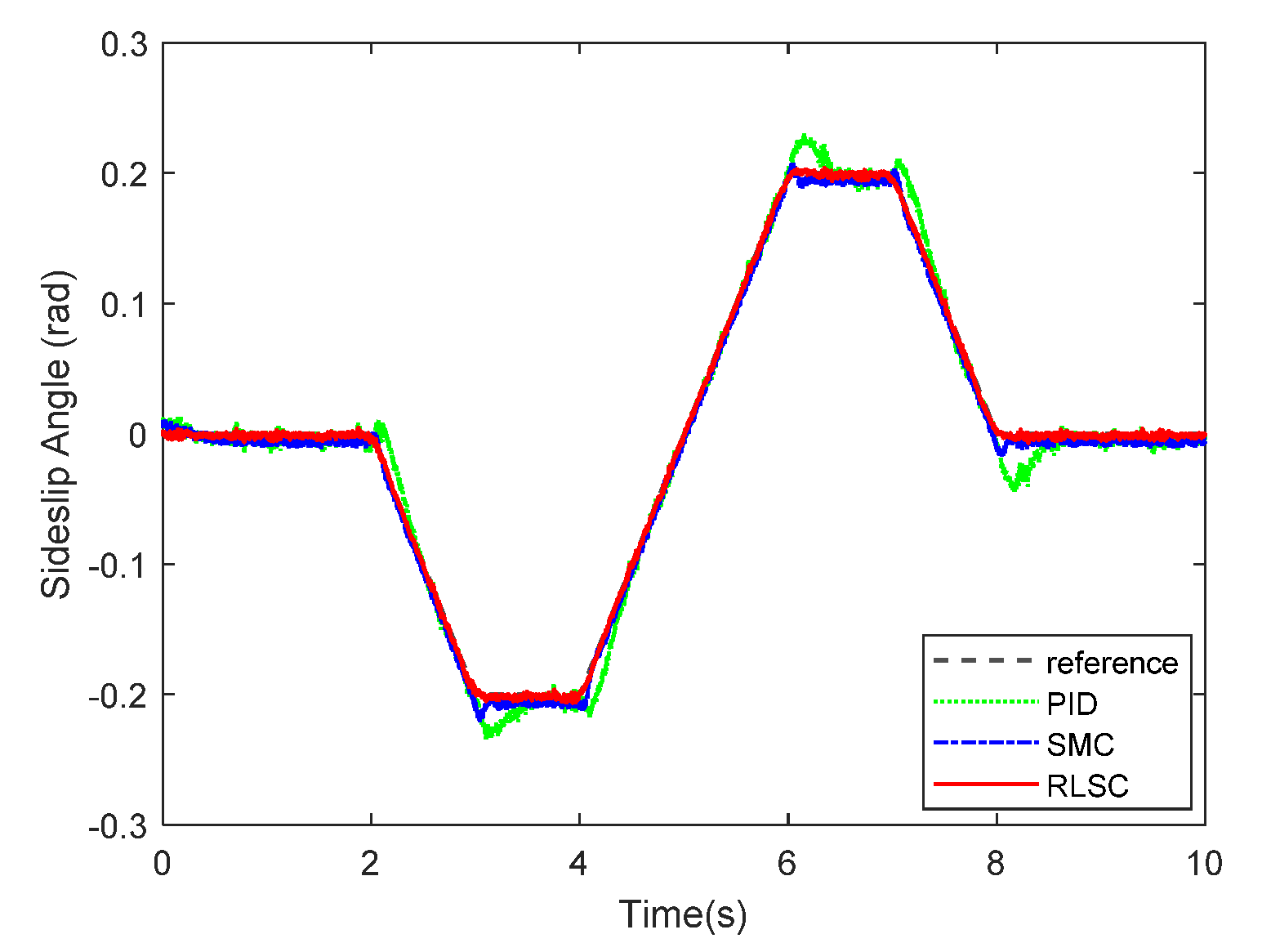
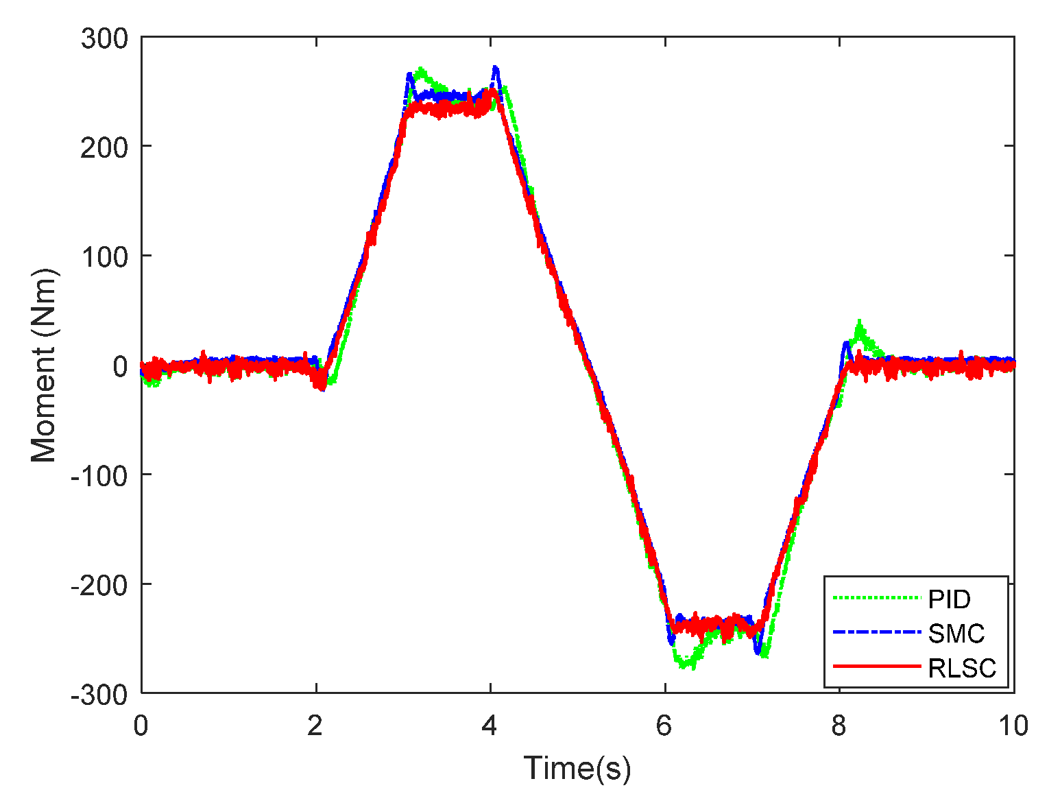
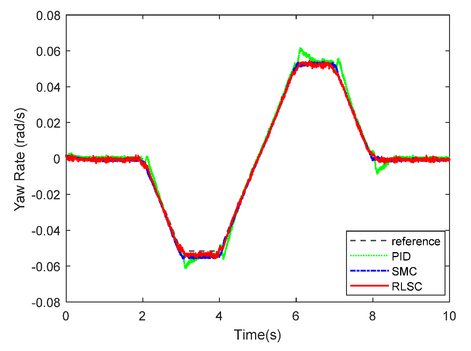
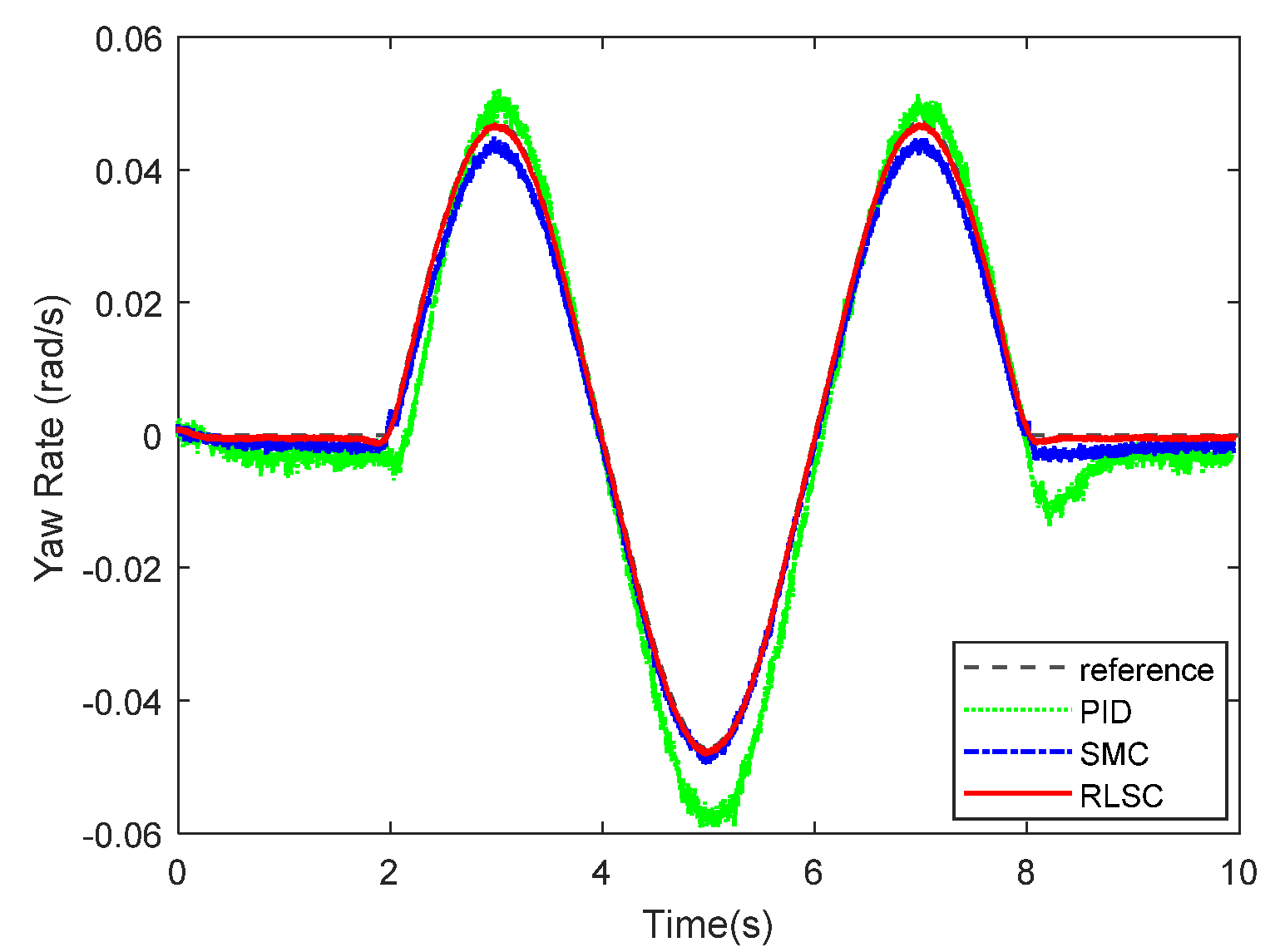
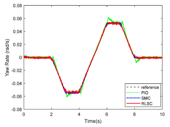
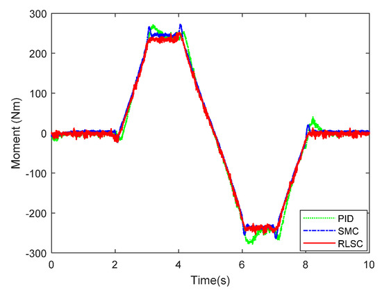
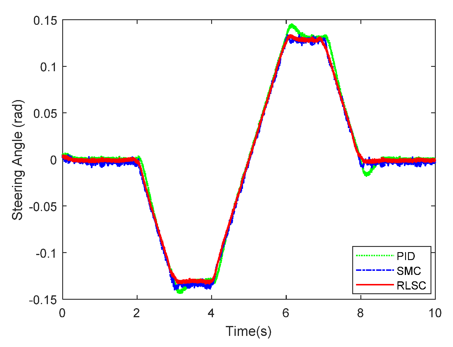
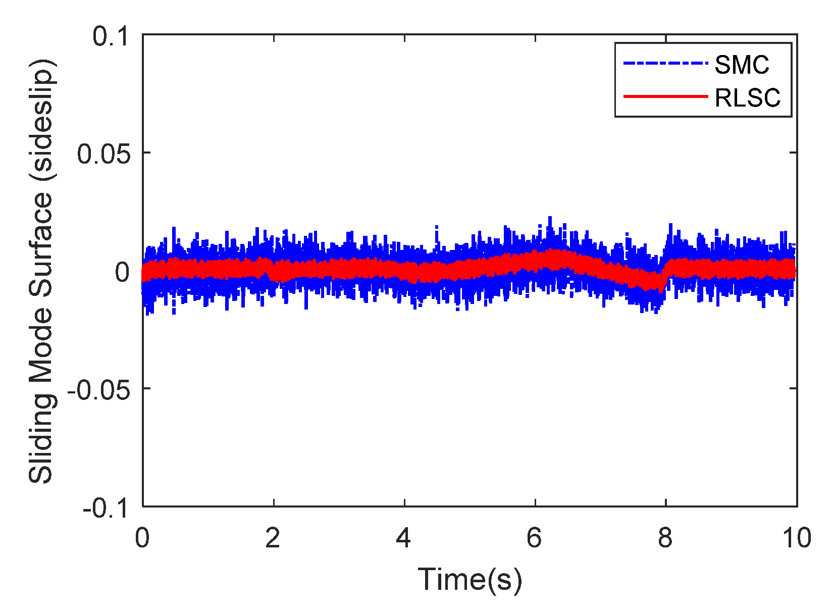
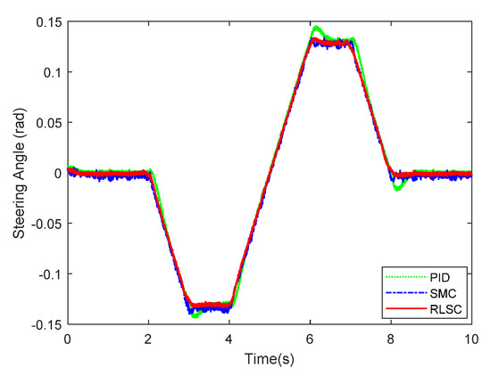
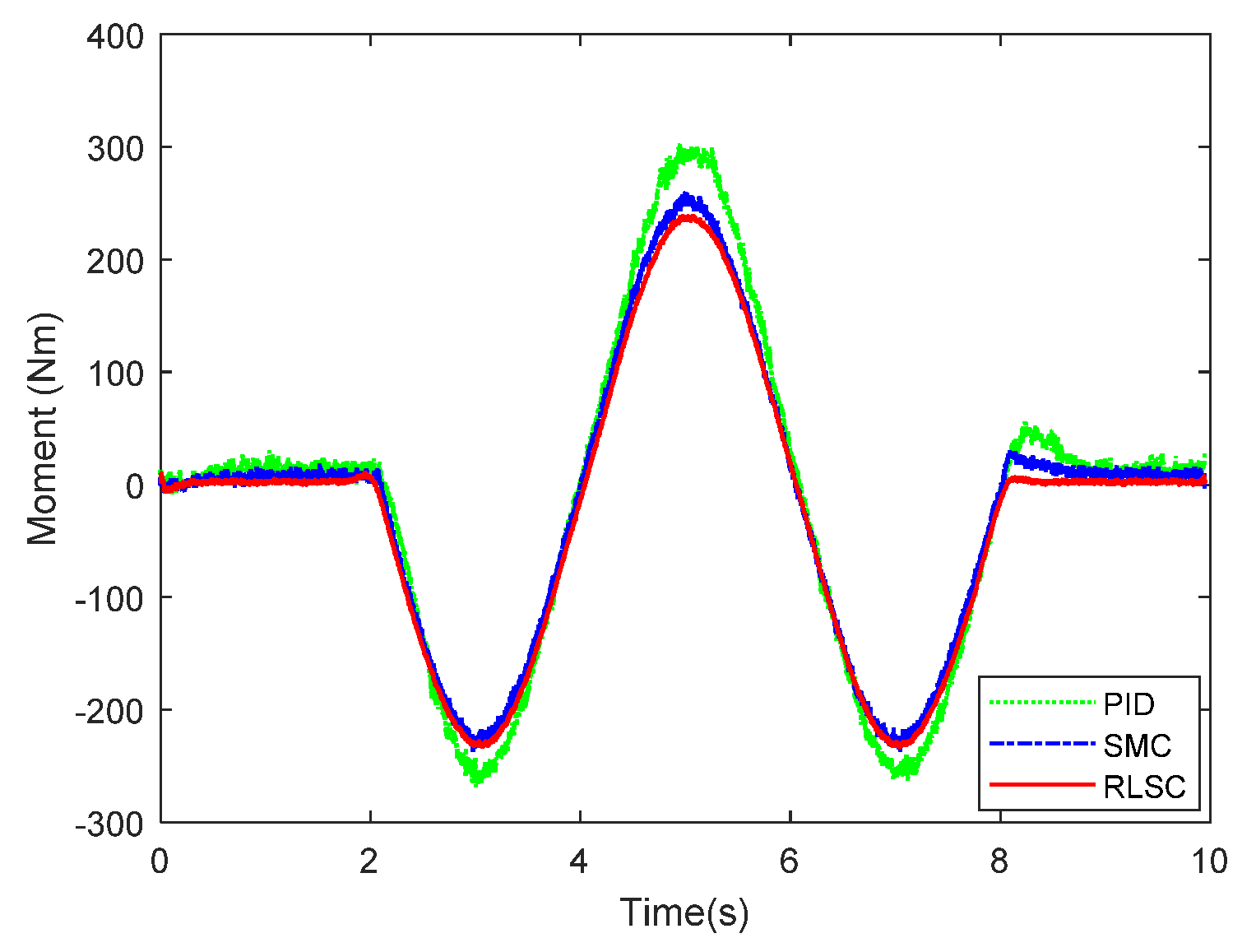
4.2. Experimental Results and Discussions
5. Conclusions
Author Contributions
Funding
Conflicts of Interest
Notations and Abbreviations
| Notations/Abbreviations | Descriptions |
| IWMD-MR | in-wheel-motor-driven mobile robots |
| RLSC | robust lateral stabilization control |
| AFSC | active front steering control |
| DYC | direct yaw control |
| SMC | sliding mode control |
| PID | proportional integral derivative |
| m | total mass |
| longitudinal speed at the left of gravity | |
| , | longitudinal and lateral tire forces at ith tire |
| sideslip angle | |
| yaw rate | |
| inertia moment | |
| , | distances from the front and rear axles |
| , | front and rear steering angles |
| yaw moment generated by the traction moment of four wheels | |
| d | track width |
| , , | lateral forces of the rear-right, rear-left, front-right, and front-left tires |
| , | cornering stiffnesses of the front and rear tires |
| , | adaptive control gains |
| α | fractional order |
| predefined coefficients | |
| estimated uncertainties | |
| , , , , | arbitrary constants |
References
- Ahmad, N.S. Robust ∞-Fuzzy Logic Control for Enhanced Tracking Performance of a Wheeled Mobile Robot in the Presence of Uncertain Nonlinear Perturbations. Sensors 2020, 20, 3673. [Google Scholar] [CrossRef] [PubMed]
- Algabri, R.; Choi, M.-T. Deep-Learning-Based Indoor Human Following of Mobile Robot Using Color Feature. Sensors 2020, 20, 2699. [Google Scholar] [CrossRef] [PubMed]
- Zhang, X.; Xie, Y.; Jiang, L.; Li, G.; Meng, J.; Huang, Y. Fault-Tolerant Dynamic Control of a Four-Wheel Redundantly-Actuated Mobile Robot. IEEE Access 2019, 7, 157909–157921. [Google Scholar] [CrossRef]
- Huang, H.; Savkin, A.V.; Ding, M.; Huang, C. Mobile robots in wireless sensor networks: A survey on tasks. Comput. Netw. 2019, 148, 1–19. [Google Scholar] [CrossRef]
- Deng, M.; Inoue, A.; Sekiguchi, K.; Jiang, L. Two-wheeled mobile robot motion control in dynamic environments. Robot. Comput. Integr. Manuf. 2010, 26, 268–272. [Google Scholar] [CrossRef]
- Kim, H.; Kim, B.K. Minimum-energy cornering trajectory planning with self-rotation for three-wheeled omni-directional mobile robots. Int. J. Control Autom. Syst. 2017, 15, 1857–1866. [Google Scholar] [CrossRef]
- García-Sánchez, J.R.; Tavera-Mosqueda, S.; Silva-Ortigoza, R.; Hernández-Guzmán, V.M.; Gutierrez, J.S.; Aranda, M.M.-; Taud, H.; Marciano-Melchor, M. Robust Switched Tracking Control for Wheeled Mobile Robots Considering the Actuators and Drivers. Sensors 2018, 18, 4316. [Google Scholar] [CrossRef] [PubMed]
- Wu, X.; Jin, P.; Zou, T.; Qi, Z.; Xiao, H.; Lou, P. Backstepping Trajectory Tracking Based on Fuzzy Sliding Mode Control for Differential Mobile Robots. J. Intell. Robot. Syst. 2019, 96, 109–121. [Google Scholar] [CrossRef]
- Aslam, J.; Qin, S.-Y.; Alvi, M.A. Fuzzy sliding mode control algorithm for a four-wheel skid steer vehicle. J. Mech. Sci. Technol. 2014, 28, 3301–3310. [Google Scholar] [CrossRef]
- Liao, J.; Chen, Z.; Yao, B. Model-Based Coordinated Control of Four-Wheel Independently Driven Skid Steer Mobile Robot with Wheel–Ground Interaction and Wheel Dynamics. IEEE Trans. Ind. Inform. 2018, 15, 1742–1752. [Google Scholar] [CrossRef]
- Sorour, M.; Cherubini, A.; Fraisse, P.; Passama, R. Motion Discontinuity-Robust Controller for Steerable Mobile Robots. IEEE Robot. Autom. Lett. 2016, 2, 452–459. [Google Scholar] [CrossRef]
- Marín, L.; Vallés, M.; Soriano, A.; Valera, A.; Albertos, P. Multi Sensor Fusion Framework for Indoor-Outdoor Localization of Limited Resource Mobile Robots. Sensors 2013, 13, 14133–14160. [Google Scholar] [CrossRef] [PubMed]
- Juman, M.A.; Wong, Y.W.; Rajkumar, R.K.; Kow, K.W.; Yap, Z.W. An incremental unsupervised learning based trajectory controller for a 4 wheeled skid steer mobile robot. Eng. Appl. Artif. Intell. 2019, 85, 385–392. [Google Scholar] [CrossRef]
- Qian, J.; Zi, B.; Wang, D.; Ma, Y.; Zhang, D. The Design and Development of an Omni-Directional Mobile Robot Oriented to an Intelligent Manufacturing System. Sensors 2017, 17, 2073. [Google Scholar] [CrossRef]
- Xie, Y.; Zhang, X.; Meng, W.; Zheng, S.; Jiang, L.; Meng, J.; Wang, S. Coupled fractional-order sliding mode control and obstacle avoidance of a four-wheeled steerable mobile robot. ISA Trans. 2020. [Google Scholar] [CrossRef] [PubMed]
- Ni, J.; Hu, J.; Xiang, C. Robust Control in Diagonal Move Steer Mode and Experiment on an X-by-Wire UGV. IEEE/ASME Trans. Mechatron. 2019, 24, 572–584. [Google Scholar] [CrossRef]
- Hwang, C.-L.; Chang, L.-J. Internet-Based Smart-Space Navigation of a Car-Like Wheeled Robot Using Fuzzy-Neural Adaptive Control. IEEE Trans. Fuzzy Syst. 2008, 16, 1271–1284. [Google Scholar] [CrossRef]
- Lin, C.; Liang, S.; Chen, J.; Gao, X. A Multi-Objective Optimal Torque Distribution Strategy for Four In-Wheel-Motor Drive Electric Vehicles. IEEE Access 2019, 7, 64627–64640. [Google Scholar] [CrossRef]
- Wang, Y.; Zong, C.; Li, K.; Chen, H. Fault-tolerant control for in-wheel-motor-driven electric ground vehicles in discrete time. Mech. Syst. Signal. Process 2019, 121, 441–454. [Google Scholar] [CrossRef]
- Nam, K.; Fujimoto, H.; Hori, Y. Lateral Stability Control of In-Wheel-Motor-Driven Electric Vehicles Based on Sideslip Angle Estimation Using Lateral Tire Force Sensors. IEEE Trans. Veh. Technol. 2012, 61, 1972–1985. [Google Scholar] [CrossRef]
- Zhang, L.; Wang, Y.; Wang, Z. Robust Lateral Motion Control for In-Wheel-Motor-Drive Electric Vehicles With Network Induced Delays. IEEE Trans. Veh. Technol. 2019, 68, 10585–10593. [Google Scholar] [CrossRef]
- Wang, Y.; Zong, C.; Guo, H.; Chen, H. Fault-tolerant path-following control for in-wheel-motor-driven autonomous ground vehicles with differential steering. Asian J. Control 2020, 22, 1230–1240. [Google Scholar] [CrossRef]
- Yang, H.; Fan, X.; Shi, P.; Hua, C. Nonlinear Control for Tracking and Obstacle Avoidance of a Wheeled Mobile Robot with Nonholonomic Constraint. IEEE Trans. Control Syst. Technol. 2015, 24, 741–746. [Google Scholar] [CrossRef]
- Wang, R.; Zhang, H.; Wang, J. Linear parameter-varying controller design for four-wheel independently actuated electric ground vehicles with active steering systems. IEEE Trans. Control Syst. Technol. 2013, 22, 1281–1296. [Google Scholar]
- Nam, K.; Fujimoto, H.; Hori, Y. Advanced Motion Control of Electric Vehicles Based on Robust Lateral Tire Force Control via Active Front Steering. IEEE ASME Trans. Mechatron. 2012, 19, 289–299. [Google Scholar] [CrossRef]
- Falcone, P.; Borrelli, F.; Asgari, J.; Tseng, H.E.; Hrovat, D. Predictive Active Steering Control for Autonomous Vehicle Systems. IEEE Trans. Control Syst. Technol. 2007, 15, 566–580. [Google Scholar] [CrossRef]
- Guvenc, B.; Guvenc, L.; Karaman, S. Robust Yaw Stability Controller Design and Hardware-in-the-Loop Testing for a Road Vehicle. IEEE Trans. Veh. Technol. 2008, 58, 555–571. [Google Scholar] [CrossRef]
- Nam, K.; Oh, S.; Fujimoto, H.; Hori, Y. Estimation of Sideslip and Roll Angles of Electric Vehicles Using Lateral Tire Force Sensors Through RLS and Kalman Filter Approaches. IEEE Trans. Ind. Electron. 2012, 60, 988–1000. [Google Scholar] [CrossRef]
- Ahmadian, N.; Khosravi, A.; Sarhadi, P. Integrated model reference adaptive control to coordinate active front steering and direct yaw moment control. ISA Trans. 2020. [Google Scholar] [CrossRef]
- Wang, Z.; Montanaro, U.; Fallah, S.; Sorniotti, A.; Lenzo, B. A gain scheduled robust linear quadratic regulator for vehicle direct yaw moment Control. Mechatronics 2018, 51, 31–45. [Google Scholar] [CrossRef]
- Hu, J.-S.; Wang, Y.; Fujimoto, H.; Hori, Y. Robust Yaw Stability Control for In-Wheel Motor Electric Vehicles. IEEE ASME Trans. Mechatron. 2017, 22, 1360–1370. [Google Scholar] [CrossRef]
- Song, Y.; Shu, H.; Chen, X.; Luo, S. Direct-yaw-moment control of four-wheel-drive electrical vehicle based on lateral tyre–road forces and sideslip angle observer. IET Intell. Transp. Syst. 2018, 13, 303–312. [Google Scholar] [CrossRef]
- Ding, S.; Liu, L.; Zheng, W.X. Sliding Mode Direct Yaw-Moment Control Design for In-Wheel Electric Vehicles. IEEE Trans. Ind. Electron. 2017, 64, 6752–6762. [Google Scholar] [CrossRef]
- Hwang, C.-L. Comparison of Path Tracking Control of a Car-Like Mobile Robot With and Without Motor Dynamics. IEEE ASME Trans. Mechatron. 2016, 21, 1801–1811. [Google Scholar] [CrossRef]
- Goggia, T.; Sorniotti, A.; De Novellis, L.; Ferrara, A.; Gruber, P.; Theunissen, J.; Steenbeke, D.; Knauder, B.; Zehetner, J. Integral Sliding Mode for the Torque-Vectoring Control of Fully Electric Vehicles: Theoretical Design and Experimental Assessment. IEEE Trans. Veh. Technol. 2014, 64, 1701–1715. [Google Scholar] [CrossRef]
- Roy, S.; Roy, S.B.; Lee, J.; Baldi, S. Overcoming the Underestimation and Overestimation Problems in Adaptive Sliding Mode Control. IEEE/ASME Trans. Mechatron. 2019, 24, 2031–2039. [Google Scholar] [CrossRef]
- Zhang, F.; Huang, P. Fuzzy-based Adaptive Super-Twisting Sliding-Mode Control for a Maneuverable Tethered Space Net Robot. IEEE Trans. Fuzzy Syst. 2020. [Google Scholar] [CrossRef]
- Moreno, J.A. A linear framework for the robust stability analysis of a generalized super-twisting algorithm. In Proceedings of the IEEE International Conference on Electrical Engineering, Computing Science and Automatic Control (CCE), Toluca, Mexico, 10–13 January 2009; pp. 1–6. [Google Scholar]
- Li, G.; Huang, Y.; Zhang, X.; Liu, C.; Shao, W.; Jiang, L.; Meng, J. Hybrid Maps Enhanced Localization System for Mobile Manipulator in Harsh Manufacturing Workshop. IEEE Access 2020, 8, 10782–10795. [Google Scholar] [CrossRef]
- Li, G.; Meng, J.; Xie, Y.; Zhang, X.; Huang, Y.; Jiang, L.; Liu, C. Reliable and Fast Localization in Ambiguous Environments Using Ambiguity Grid Map. Sensors 2019, 19, 3331. [Google Scholar] [CrossRef]
























© 2020 by the authors. Licensee MDPI, Basel, Switzerland. This article is an open access article distributed under the terms and conditions of the Creative Commons Attribution (CC BY) license (http://creativecommons.org/licenses/by/4.0/).
Share and Cite
Meng, J.; Wang, S.; Jiang, L.; Xie, Y.; Zheng, S.; Wu, H. Robust Lateral Stabilization Control of In-Wheel-Motor-Driven Mobile Robots via Active Disturbance Suppression Approach. Sensors 2020, 20, 5238. https://doi.org/10.3390/s20185238
Meng J, Wang S, Jiang L, Xie Y, Zheng S, Wu H. Robust Lateral Stabilization Control of In-Wheel-Motor-Driven Mobile Robots via Active Disturbance Suppression Approach. Sensors. 2020; 20(18):5238. https://doi.org/10.3390/s20185238
Chicago/Turabian StyleMeng, Jie, Shuting Wang, Liquan Jiang, Yuanlong Xie, Shiqi Zheng, and Hao Wu. 2020. "Robust Lateral Stabilization Control of In-Wheel-Motor-Driven Mobile Robots via Active Disturbance Suppression Approach" Sensors 20, no. 18: 5238. https://doi.org/10.3390/s20185238
APA StyleMeng, J., Wang, S., Jiang, L., Xie, Y., Zheng, S., & Wu, H. (2020). Robust Lateral Stabilization Control of In-Wheel-Motor-Driven Mobile Robots via Active Disturbance Suppression Approach. Sensors, 20(18), 5238. https://doi.org/10.3390/s20185238
