An Efficient Near-Field Localization Method of Coherently Distributed Strictly Non-circular Signals
Abstract
:1. Introduction
2. Problem Formulation
2.1. Signal Model
2.2. Proposed Method
2.3. NCSD-RARE Method
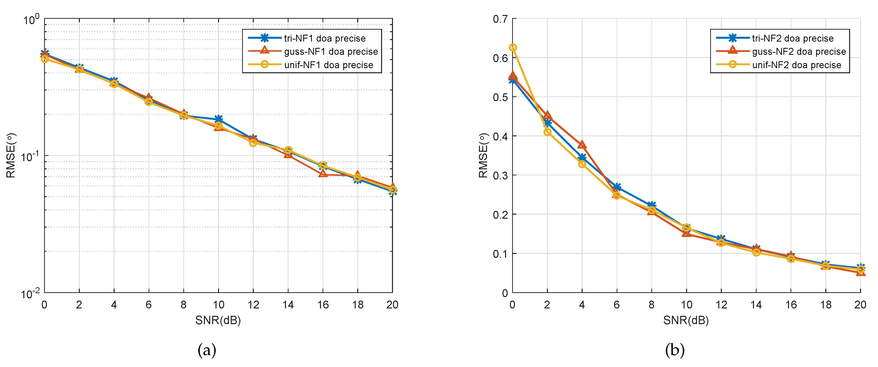
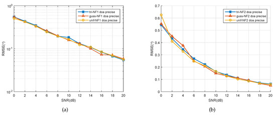
3. Simulation Results and Discussion
4. Conclusions
Author Contributions
Funding
Conflicts of Interest
References
- Wang, Y.; Trinkle, M.; Ng, B. Efficient DOA estimation of noncircular signals in the presence of multipath propagation. Signal Process. 2018, 149, 14–16. [Google Scholar] [CrossRef]
- Wan, L.; Han, G.; Jiang, J.; Rodrigues, J.J.P.C.; Tong, Z. DOA estimation for coherently distributed sources considering circular and noncircular Signals in massive MIMO systems. IEEE Syst. J. 2015, 11, 1–9. [Google Scholar] [CrossRef]
- Zhou, C.; Gu, Y.; Fan, X.; Shi, Z. A robust and efficient algorithm for coprime array adaptive beamforming. IEEE Trans. Veh. Technol. 2018, 67, 1099–1112. [Google Scholar] [CrossRef]
- Zhou, C.; Gu, Y.; Shi, Z.; Zhang, Y. Off-grid direction-of-arrival estimation using coprime array interpolation. IEEE Signal Process. Lett. 2018, 25, 1710–1714. [Google Scholar] [CrossRef]
- Liang, J.; Liu, D. Passive localization of mixed near-field and far-field sources using two-stage MUSIC algorithm. IEEE Trans. Signal Process. 2010, 58, 108–120. [Google Scholar] [CrossRef]
- Huang, Y.; Barkat, M. Near-field multiple source localization by passive sensor array. IEEE Trans. Antennas Propag. 1991, 39, 968–975. [Google Scholar] [CrossRef]
- Huang, R.N.; Shamsunder, S. High-order subspace-based algorithms for passive localization of near-field sources. In Proceedings of the Conference Record of The Twenty-Ninth Asilomar Conference on Signals, Systems and Computers, Pacific Grove, CA, USA, 30 October–1 November 1995; Volume 2, pp. 777–781. [Google Scholar]
- Li, J.; Wang, Y.; Bastard, C.L. Simplified high-order DOA and range estimation with linear antenna array. IEEE Commun. Lett. 2017, 21, 76–79. [Google Scholar] [CrossRef]
- Grosicki, E.; Abed-Meraim, K.; Hua, Y. A weighted linear prediction method for near-field source localization. IEEE Trans. Signal Process. 2005, 53, 3651–3660. [Google Scholar] [CrossRef]
- Zhi, W.; Chia, M.Y.W. Near-field source localization via symmetric sub-arrays. IEEE Signal Process. Lett. 2007, 14, 409–412. [Google Scholar] [CrossRef]
- Teinwandt, S.; Roemer, F.; Haardt, M. Analytical ESPRIT-based performance study: What can we gain from non-circular sources? In Proceedings of the 8th IEEE Sensor Array and Multichannel Signal Processing Workshop (SAM), A Coruna, Spain, 22–25 June 2014.
- Gounon, P.; Adnet, C.; Galy, J. Localisation angulaire de signaux noncirculaires. Trait.Signal 2018, 15, 17–23. [Google Scholar]
- Romer, F.; Haardt, M. Deterministic Cramer-Rao bounds for strict sense non-circular sources. In Proceedings of the International ITG/IEEE Workshop on Smart Antennas (WSA’07), Vienna, Austria, 26–27 February 2007; pp. 1–5. [Google Scholar]
- Delmas, J.; Adnet, C.; Galy, J. Asymptotically optimal estimation of DOA for non-circular sources from second order moments. Proc. IEEE ICASSP 2003, 5, 185–188. [Google Scholar]
- Delmas, J.; Abeida, H. Stochastic Cramer-Rao bound for noncircular signals with application to DOA estimation. IEEE Trans. Signal Process. 2004, 52, 3192–3199. [Google Scholar] [CrossRef]
- Abeida, H.; Delmas, J. Gaussian Cramer-Rao bound for direction estimation of noncircular signals in unknown noise fields. IEEE Trans. Signal Process 2005, 53, 4610–4618. [Google Scholar] [CrossRef]
- Gao, F.; Arumugam, N.; Wang, Y. Improved MUSIC under the coexistence of both circular and noncircular sources. IEEE Trans. Signal Process. 2008, 56, 3033–3038. [Google Scholar] [CrossRef]
- Liu, Z.; Huang, Z.; Zhou, Y.; Liu, J. Direction-of-arrival estimation of noncircular signals via sparse representation. IEEE Trans. Aerosp.Electron. Syst. 2012, 48, 2690–2698. [Google Scholar] [CrossRef]
- Yang, X.; Li, G.; Zheng, Z.; Zhong, L. 2D DOA estimation of coherently distributed noncircular sources. IEEE Trans. Signal Process 2014, 78, 1095–1102. [Google Scholar] [CrossRef]
- Xie, J.; Tao, H.; Xuan, R.; Su, J. Efficient method of passive localization for near-field noncircular sources. IEEE Trans. Aerosp. Electron. Syst. 2015, 14, 1223–1226. [Google Scholar] [CrossRef]
- Xie, J.; Tao, H.; Rao, X.; Su, J. Localization of mixed far field and near field sources under unknown mutual coupling. Digital Signal Process. 2016, 50, 229–239. [Google Scholar] [CrossRef]
- Valaee, S.; Champagne, B.; Kabal, P. Parameteric localization of distributed sources. IEEE Trans. Signal Process. 2015, 106, 259–265. [Google Scholar]
- Wax, M. On unique localization of constrained signals sources. IEEE Trans. Signal Process. 1992, 40, 1542–1547. [Google Scholar] [CrossRef]
- Meng, Y.; Wong, K.M.; Wu, Q. Estjmation of the direction of arrival of spread sources in sensor array processing. Proc. Int. Conf. Signal Process. 1993, 40, 430–434. [Google Scholar]
- Wu, Q.; Wong, K.M.; Meng, Y.; Read, W. DOA estimation of point and scattered sources-Vec-MUSIC. In Proceedings of the 7th SP Workshop on Statistical Signal and Array Processing, Quebec City, QC, Canada, 26–29 June 1994; Volume 40, pp. 365–368. [Google Scholar]
- Chaaya, J.A.; Picheral, J.; Marcos, S. Localization of spatially distributed near-field sources with unknown angular spread shape. Signal Process. 2015, 106, 259–265. [Google Scholar] [CrossRef]









© 2020 by the authors. Licensee MDPI, Basel, Switzerland. This article is an open access article distributed under the terms and conditions of the Creative Commons Attribution (CC BY) license (http://creativecommons.org/licenses/by/4.0/).
Share and Cite
Kuang, M.; Wang, L.; Wang, Y.; Xie, J. An Efficient Near-Field Localization Method of Coherently Distributed Strictly Non-circular Signals. Sensors 2020, 20, 5176. https://doi.org/10.3390/s20185176
Kuang M, Wang L, Wang Y, Xie J. An Efficient Near-Field Localization Method of Coherently Distributed Strictly Non-circular Signals. Sensors. 2020; 20(18):5176. https://doi.org/10.3390/s20185176
Chicago/Turabian StyleKuang, Meidong, Ling Wang, Yuexian Wang, and Jian Xie. 2020. "An Efficient Near-Field Localization Method of Coherently Distributed Strictly Non-circular Signals" Sensors 20, no. 18: 5176. https://doi.org/10.3390/s20185176
APA StyleKuang, M., Wang, L., Wang, Y., & Xie, J. (2020). An Efficient Near-Field Localization Method of Coherently Distributed Strictly Non-circular Signals. Sensors, 20(18), 5176. https://doi.org/10.3390/s20185176

