Oxygen- and pH-Dependent Photophysics of Fluorinated Fluorescein Derivatives: Non-Symmetrical vs. Symmetrical Fluorination
Abstract
1. Introduction
2. Results and Discussion
2.1. Synthesis of Athens Green
2.2. Photophysics and Photochemistry
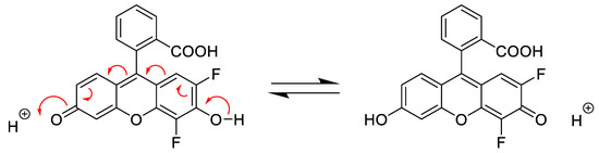
2.2.1. Absorption and Fluorescence Spectra
2.2.2. Lifetimes of the Fluorescent State
2.2.3. Fluorescence Quantum Yields
2.2.4. Sensitized Production of O2(a1Δg)
2.3. Rate Constants for the Fluorescein-Mediated Removal of O2(a1Δg)
2.3.1. Rate Constants for the Total Removal of O2(a1Δg)
2.3.2. Rate Constants for the Removal of O2(a1Δg) by Reaction
2.3.3. Interpreting Relative Changes in the Removal Rate Constants
3. Conclusions
4. Materials and Methods
4.1. Synthesis of 2-(2,4-dihydroxybenzoyl)benzoic Acid (1)
4.2. Synthesis of 2-(3,5-difluoro-2,4-dihydroxybenzoyl)benzoic Acid (2)
4.3. Synthesis of 2-(5,7- Difluoro-6-hydroxy-3-oxo-3h-xanthen-9-yl)benzoic Acid (Athens Green, 3)
4.4. Materials
4.5. Methods
Supplementary Materials
Author Contributions
Funding
Acknowledgments
Conflicts of Interest
References
- Lakowicz, J.R. Principles of Fluorescence Spectroscopy; Springer: New York, NY, USA, 2006. [Google Scholar]
- Robertson, T.A.; Bunel, F.; Roberts, M.S. Fluorescein derivatives in intravital fluoresence imaging. Cells 2013, 2, 591–606. [Google Scholar] [CrossRef] [PubMed]
- Widengren, J.; Rigler, R. Mechanisms of photobleaching investgated by fluorescence correlation spectroscopy. Bioimaging 1996, 4, 149–157. [Google Scholar] [CrossRef]
- Song, L.; Hennik, E.J.; Young, I.T.; Tanke, H.J. Photobleaching kinetics of fluorescein in quantitative fluorescence microscopy. Biophys. J. 1995, 68, 2588–2600. [Google Scholar] [CrossRef]
- Song, L.; Varma, C.A.G.O.; Verhoeven, J.W.; Tanke, H.J. Influence of the triplet excited state on the photobleaching kinetics of fluorescein in microscopy. Biophys. J. 1996, 70, 2959–2968. [Google Scholar] [CrossRef]
- Zheng, Q.; Jockusch, S.; Zhou, Z.; Blanchard, S.C. The contribution of reactive oxygen species to the photobleaching of organic fluorophores. Photochem. Photobiol. 2014, 90, 448–454. [Google Scholar] [CrossRef]
- Silva, E.F.F.; Pimenta, F.M.; Pedersen, B.W.; Blaikie, F.H.; Bosio, G.N.; Breitenbach, T.; Westberg, M.; Bregnhøj, M.; Etzerodt, M.; Arnaut, L.G.; et al. Intracellular singlet oxygen photosensitizers: On the road to solving the problems of sensitizer degradation, bleaching and relocalization. Integr. Biol. 2016, 8, 177–193. [Google Scholar] [CrossRef]
- Valdes-Aguilera, O.; Neckers, D.C. Aggregation phenomena in xanthene dyes. Acc. Chem. Res. 1989, 22, 171–177. [Google Scholar] [CrossRef]
- Lavis, L.D.; Rutkoski, T.J.; Raines, R.T. Tuning the pKa of fluorescein to optimize binding assays. Anal. Chem. 2007, 79, 6775–6782. [Google Scholar] [CrossRef]
- Klonis, N.; Sawyer, W.H. Spectral properties of the prototropic forms of fluorescein in aqueous solution. J. Fluoresc. 1996, 6, 147–157. [Google Scholar] [CrossRef]
- Martin, M.M.; Lindqvist, L. The pH dependence of fluorescein fluorescence. J. Lumin. 1975, 10, 381–390. [Google Scholar] [CrossRef]
- Holmehave, J.; Pedersen, S.K.; Jensen, H.H.; Ogilby, P.R. Aarhus Green: A tetrafluoro-substituted derivative of fluorescein. ARKIVOC 2015, 2015, 52–64. [Google Scholar]
- Han, J.; Burgess, K. Fluorescent indicators for intracellular pH. Chem. Rev. 2010, 110, 2709–2728. [Google Scholar] [CrossRef] [PubMed]
- Pedersen, S.K.; Holmehave, J.; Blaikie, F.H.; Gollmer, A.; Breitenbach, T.; Jensen, H.H.; Ogilby, P.R. Aarhus Sensor Green: A fluorescent probe for singlet oxygen. J. Org. Chem. 2014, 79, 3079–3087. [Google Scholar] [CrossRef] [PubMed]
- Mchedlov-Petrossyan, N.O.; Vodolazkaya, N.A.; Gurina, Y.A.; Sun, W.-C.; Gee, K.R. Medium effects on the prototropic equilibria of fluorescein fluoro derivatives in true and organized solution. J. Phys. Chem. B 2010, 114, 4551–4564. [Google Scholar] [CrossRef] [PubMed]
- Orte, A.; Crovetto, L.; Talavera, E.M.; Boens, N.; Alvarez-Pez, J. Absorption and emission study of 2′,7′-difluorofluorescein and its excited-state buffer-mediated proton exchange reactions. J. Phys. Chem. A 2005, 109, 734–747. [Google Scholar] [CrossRef]
- Sun, W.-C.; Gee, K.R.; Klaubert, D.H.; Haugland, R.P. Synthesis of fluorinated fluoresceins. J. Org. Chem. 1997, 62, 6469–6475. [Google Scholar] [CrossRef]
- Mottram, L.F.; Boonyarattanakalin, S.; Kovel, R.E.; Peterson, B.R. The Pennsylvania green fluorophore: A hybrid of oregon green and tokyo green for the construction of hydrophobic and ph-insensitive molecular probes. Org. Lett. 2006, 8, 581–584. [Google Scholar] [CrossRef][Green Version]
- Renikuntla, B.R.; Rose, H.C.; Eldo, J.; Waggoner, A.S.; Armitage, B.A. Improved photostability and fluorescence properties through polyfluorination of a cyanine dye. Org. Lett. 2004, 6, 909–912. [Google Scholar] [CrossRef]
- Hammershøj, P.; Kumar, E.K.P.; Harris, P.; Andresen, T.L.; Clausen, M.H. Facile large-scale sythesis of 5- and 6-carboxyfluoresceins: Application for the Preparation of new fluorescent dyes. Eur. J. Org. Chem. 2015, 2015, 7301–7309. [Google Scholar] [CrossRef]
- Burdette, S.C.; Frederickson, C.J.; Bu, W.; Lippard, S.J. ZP4, an improved neuronal Zn2+ sensor of the zinpyr family. J. Am. Chem. Soc. 2003, 125, 1778–1787. [Google Scholar] [CrossRef]
- Lukhtanov, E.A.; Vorobiev, A.V. Mild synthesis of asymmetric 2′-carboxyethyl-substituted fluoresceins. J. Org. Chem. 2008, 73, 2424–2427. [Google Scholar] [CrossRef]
- Urano, Y.; Kamiya, M.; Kanda, K.; Ueno, T.; Hirose, K.; Nagano, T. Evolution of fluorescein as a platform for finely tunable fluorescence probes. J. Am. Chem. Soc. 2005, 127, 4888–4894. [Google Scholar] [CrossRef]
- Li, J.; Yao, S.-Q. “Singapore Green”: A new fluorescent dye for microarray and bioimaging applications. Org. Lett. 2009, 11, 405–408. [Google Scholar] [CrossRef]
- Martinez-Peragon, A.; Miguel, D.; Orte, A.; Mota, A.J.; Ruedas-Rama, M.J.; Justicia, J.; Alvarez-Pez, J.M.; Cuerva, J.M.; Crovetto, L. Rational design of a new fluorescent “on/off” xanthene dye for phosphate detection in live cells. Org. Biomol. Chem. 2014, 12, 6432–6439. [Google Scholar] [CrossRef] [PubMed]
- Butler, A.R. Electrophilic Aromatic Substitution. In Organic Reaction Mechansims; Capon, B., Rees, C.W., Eds.; John Wiley and Sons: Chichester, UK, 1969. [Google Scholar]
- Ogilby, P.R. Singlet oxygen: There is indeed something new under the sun. Chem. Soc. Rev. 2010, 39, 3181–3209. [Google Scholar] [CrossRef]
- Bregnhøj, M.; Westberg, M.; Minaev, B.F.; Ogilby, P.R. Singlet oxygen photophysics in liquid solvents: Converging on a unified picture. Acc. Chem. Res. 2017, 50, 1920–1927. [Google Scholar] [CrossRef] [PubMed]
- Covington, A.K.; Paabo, M.; Robinson, R.A.; Bates, R.G. Use of the glass electrode in deuterium oxide and the relation between the standardized pD (paD) scale and the operational pH in heavy water. Anal. Chem. 1968, 40, 700–706. [Google Scholar] [CrossRef]
- Krezel, A.; Bal, W. A formula for correlating pKa values determined in D2O and H2O. J. Inorg. Biochem. 2004, 98, 161–166. [Google Scholar] [CrossRef]
- Magde, D.; Wong, R.; Seybold, P.G. Fluorescence quantum yields and their relation to lifetimes of rhodamine 6G and fluorescein in nine solvents: Improved absolute standards for quantum yields. Photochem. Photobiol. 2002, 75, 327–334. [Google Scholar] [CrossRef]
- Alvarez-Pez, J.M.; Ballesteros, L.; Talavera, E.M.; Yguerabide, J. Fluorescein excited-state proton exchange reactions: Nanosecond emission kinetics and correlation with steady-state fluorescence intensity. J. Phys. Chem. A 2001, 105, 6320–6332. [Google Scholar] [CrossRef]
- Thorning, F.; Jensen, F.; Ogilby, P.R. Modeling the effect of solvents on nonradiative singlet oxygen deactivation: Going beyond weak coupling in intermolecular electronic-to-vibrational energy transfer. J. Phys. Chem. B 2020, 124, 2245–2254. [Google Scholar] [CrossRef] [PubMed]
- Battino, R.; Rettich, T.R.; Tominaga, T. The solubility of oxygen and ozone in liquids. J. Phys. Chem. Ref. Data 1983, 12, 163–178. [Google Scholar] [CrossRef]
- Ware, W.R. Oxygen quenching of fluorescence in solution: An experimental study of the diffusion process. J. Phys. Chem. 1962, 66, 455–458. [Google Scholar] [CrossRef]
- Montalti, M.; Credi, A.; Prodi, L.; Gandolfi, M.T. Handbook of Photochemistry; CRC Press: Boca Raton, FL, USA, 2006. [Google Scholar]
- Gollmer, A.; Arnbjerg, J.; Blaikie, F.H.; Pedersen, B.W.; Breitenbach, T.; Daasbjerg, K.; Glasius, M.; Ogilby, P.R. Singlet oxygen sensor green®: Photochemical behavior in solution and in a mammalian cell. Photochem. Photobiol. 2011, 87, 671–679. [Google Scholar] [CrossRef] [PubMed]
- Pimenta, F.M.; Jensen, R.L.; Breitenbach, T.; Etzerodt, M.; Ogilby, P.R. Oxygen-dependent photochemistry and photophysics of “miniSOG”, a protein-encased flavin. Photochem. Photobiol. 2013, 89, 1116–1126. [Google Scholar] [CrossRef]
- Snyder, J.W.; Skovsen, E.; Lambert, J.D.C.; Poulsen, L.; Ogilby, P.R. Optical detection of singlet oxygen from single cells. Phys. Chem. Chem. Phys. 2006, 8, 4280–4293. [Google Scholar] [CrossRef]
- Scurlock, R.D.; Mártire, D.O.; Ogilby, P.R.; Taylor, V.L.; Clough, R.L. Quantum yield of photosensitized singlet oxygen (a1Δg) production in solid polystyrene. Macromolecules 1994, 27, 4787–4794. [Google Scholar] [CrossRef]
- Marti, C.; Jürgens, O.; Cuenca, O.; Casals, M.; Nonell, S. Aromatic ketones as standards for singlet molecular oxygen O2(1Δg) photosensitization. Time-resolved photoacoustic and near-IR emission studies. J. Photochem. Photobiol. A. Chem. 1996, 97, 11–18. [Google Scholar] [CrossRef]
- Keir, W.F.; Land, E.J.; MacLennan, A.H.; McGarvey, D.J.; Truscott, T.G. Pulsed Radition studies of photodynamic sensitizers: The nature of DHE. Photochem. Photobiol. 1987, 46, 587–589. [Google Scholar] [CrossRef]
- Ostler, R.B.; Scully, A.D.; Taylor, A.G.; Gould, I.R.; Smith, T.A.; Waite, A.; Phillips, D. The effect of pH on the photophysics and photochemistry of di-sulphonated aluminum phthalocyanine. Photochem. Photobiol. 2000, 71, 397–404. [Google Scholar] [CrossRef]
- Dhami, S.; de Mello, A.J.; Rumbles, G.; Bishop, S.M.; Phillips, D.; Beeby, A. Phthalocyanine fluorescence at high concentration: Dimers or reabsorption effect? Photochem. Photobiol. 1995, 61, 341–346. [Google Scholar] [CrossRef]
- Bregnhøj, M.; Krægpøth, M.V.; Sørensen, R.J.; Westberg, M.; Ogilby, P.R. Solvent and heavy-atom effects on the O2(X3Σg-) - O2(b1Σg+) absorption transition. J. Phys. Chem. A 2016, 120, 8285–8296. [Google Scholar] [CrossRef] [PubMed]
- Wilkinson, F.; Helman, W.P.; Ross, A.B. Rate constants for the decay and reactions of the lowest electronically excited singlet state of molecular oxygen in solution. An expanded and revised compilation. J. Phys. Chem. Ref. Data 1995, 24, 663–1021. [Google Scholar] [CrossRef]
- Schweitzer, C.; Schmidt, R. Physical mechanisms of generation and deactivation of singlet oxygen. Chem. Rev. 2003, 103, 1685–1757. [Google Scholar] [CrossRef] [PubMed]
- Clennan, E.L.; Noe, L.J.; Szneler, E.; Wen, T. Hydrazines: New charge-transfer physical quenchers of singlet oxygen. J. Am. Chem. Soc. 1990, 112, 5080–5085. [Google Scholar] [CrossRef]
- Paterson, M.J.; Christiansen, O.; Jensen, F.; Ogilby, P.R. Overview of theoretical and computational methods applied to the oxygen-organic molecule photosystem. Photochem. Photobiol. 2006, 82, 1136–1160. [Google Scholar] [CrossRef]
- Jensen, P.-G.; Arnbjerg, J.; Tolbod, L.P.; Toftegaard, R.; Ogilby, P.R. Influence of an intermolecular charge-transfer state on excited-state relaxation dynamics: Solvent effect on the methylnaphthalene-oxygen system and its significance for singlet oxygen production. J. Phys. Chem. A 2009, 113, 9965–9973. [Google Scholar] [CrossRef]
- Pawley, J.B. (Ed.) Handbook of Biological Confocal Microscopy; Springer: New York, NY, USA, 2006. [Google Scholar]
- Cheng, P.; Zhan, X. Stability of organic solar cells: Challenges and strategies. Chem. Soc. Rev. 2016, 45, 2544–2582. [Google Scholar] [CrossRef]
- Smith, G.A.; Metcalfe, J.C.; Clarke, S.D. The design and properties of a series of calcium indicators which shift from rhodamine-like to fluorescein-like fluorescence on binding calcium. J. Chem. Soc. Perkin Trans. 1993, 2, 1195–1204. [Google Scholar] [CrossRef]
- Nonell, S.; Gonzalez, M.; Trull, F.R. 1H-Phenalen-1-one-2-sulfonic acid: An extremely efficient singlet molecular oxygen sensitizer for aqueous media. Afinidad 1993, 448, 445–450. [Google Scholar]
- Paredes, J.M.; Crovetto, L.; Rios, R.; Orte, A.; Alvarez-Pez, J.M.; Talavera, E.M. Tuned lifetime, at the ensemble and single molecule level, of a xanthenic fluorescent dye by means of a buffer-mediated excited state proton exchange reaction. Phys. Chem. Chem. Phys. 2009, 11, 5400–5407. [Google Scholar] [CrossRef] [PubMed]
- Westberg, M.; Bregnhøj, M.; Etzerodt, M.; Ogilby, P.R. Temperature sensitive singlet oxygen photosensitization by LOV-derived fluorescent flavoproteins. J. Phys. Chem. B 2017, 121, 2561–2574. [Google Scholar] [CrossRef] [PubMed]
- Arnbjerg, J.; Johnsen, M.; Frederiksen, P.K.; Braslavsky, S.E.; Ogilby, P.R. Two-photon photosensitized production of singlet oxygen: Optical and optoacoustic characterization of absolute two-photon absorption cross sections for standard sensitizers in different solvents. J. Phys. Chem. A 2006, 110, 7375–7385. [Google Scholar] [CrossRef] [PubMed]
- Brouwer, A.M. Standards for photoluminescence quantum yield measurements in solution (IUPAC Technical Report). Pure Appl. Chem. 2011, 83, 2213–2228. [Google Scholar] [CrossRef]












| Compound | εmax (M−1cm−1) | λmaxabs (nm) | λmaxfl (nm) | φfl | |
|---|---|---|---|---|---|
| D2O/H2O a | D2O/H2O a | D2O/H2O a | H2O | D2O | |
| Fluorescein b | 73000 ± 2900 | 490 ± 1 | 514 ± 1 | 0.92 ± 0.02 | 0.98 ± 0.02 |
| Oregon Green | 81000 ± 2700 | 490 ± 1 | 514 ± 1 | Not measured | 0.92 ± 0.03 |
| Athens Green | 82800 ± 3300 | 498 ± 1 | 523 ± 1 | 0.86 ± 0.02 | 0.91 ± 0.02 |
| Difluoro Oregon Green | 86700 ± 2900 | 507 ± 1 | 532 ± 1 | Not measured | 0.88 ± 0.02 |
| Compound | τfl (ns) a | |||||
|---|---|---|---|---|---|---|
| H2O-PBS | D2O-PBS | |||||
| N2 | Air | O2 | N2 | Air | O2 | |
| Fluorescein | 4.28 | 4.26 | 4.25 | 4.75 | 4.69 | 4.60 |
| Oregon Green | 4.30 | 4.30 | 4.23 | 4.52 | 4.53 | 4.40 |
| Athens Green | 4.46 | 4.34 | 4.30 | 4.94 | 4.87 | 4.74 |
| Difluoro Oregon Green | 4.06 | 4.00 | 3.90 | 4.91 | 4.84 | 4.76 |
| φΔa | ||||
|---|---|---|---|---|
| Compound | pD = 7.8 | pD = 5 | ||
| Air-Saturated | O2-Saturated | Air-Saturated | O2-Saturated | |
| Fluorescein b | 0.04 | 0.05 | 0.16 c | 0.19 c |
| Oregon Green | 0.02 | 0.03 | 0.28 | 0.34 |
| Athens Green | 0.02 | 0.04 | 0.12 | 0.14 |
| Difluoro Oregon Green | 0.05 | 0.07 | 0.06 | 0.06 |
| Compound | φΔda | pKa1 | φΔma | pKa2 | φΔn |
|---|---|---|---|---|---|
| Fluorescein | 0.03 ± 0.01 | 7.1 ± 0.3 | 0.17 ± 0.01 | 4.2 ± 0.2 | 0.15 ± 0.01 |
| Oregon Green | 0.02 ± 0.01 | 5.4 ± 0.2 | 0.34 ± 0.02 | 3.7 ± 0.2 | 0.24 ± 0.02 |
| Athens Green | 0.01 ± 0.01 | 5.7 ± 0.2 | 0.08 ± 0.01 | 3.4 ± 0.2 | 0.05 ± 0.01 |
| Difluoro Oregon Green | 0.04 ± 0.01 | 4.1 ± 0.2 | 0.03 ± 0.01 | <2 b | -b |
| Compound | pD = 7.8 | pD = 5 | ||||||
|---|---|---|---|---|---|---|---|---|
| ktotal 106 M−1s−1 | kchem 106 M−1s−1 | kphysa 106 M−1s−1 | ktotal 106 M−1s−1 | kchem 106 M−1s−1 | kphysa 106 M−1s−1 | |||
| Fluorescein | 8.5 ± 0.8 | 2.0 ± 0.3 | 6.5 ± 1.1 | 3.3 | 4 b | 0.2 b | 3.8 b | 19 b |
| Oregon Green | 19 ± 2 | 0.6 ± 0.1 | 18.4 ± 3.2 | 31 | 9.1 ± 0.9 | 0.39 ± 0.09 c | 8.7 ± 2.0 | 22 |
| Athens Green | 6.0 ± 0.6 | 1.7 ± 0.2 | 4.3 ± 0.7 | 2.5 | 3.3 ± 0.3 d | 0.27 ± 0.06 | 3.0 ± 0.7 | 11 |
| Difluoro OG e | 3.6 ± 0.4 | 0.8 ± 0.1 | 2.8 ± 0.5 | 3.5 | - | - | - | - |
© 2020 by the authors. Licensee MDPI, Basel, Switzerland. This article is an open access article distributed under the terms and conditions of the Creative Commons Attribution (CC BY) license (http://creativecommons.org/licenses/by/4.0/).
Share and Cite
McLoughlin, C.K.; Kotroni, E.; Bregnhøj, M.; Rotas, G.; Vougioukalakis, G.C.; Ogilby, P.R. Oxygen- and pH-Dependent Photophysics of Fluorinated Fluorescein Derivatives: Non-Symmetrical vs. Symmetrical Fluorination. Sensors 2020, 20, 5172. https://doi.org/10.3390/s20185172
McLoughlin CK, Kotroni E, Bregnhøj M, Rotas G, Vougioukalakis GC, Ogilby PR. Oxygen- and pH-Dependent Photophysics of Fluorinated Fluorescein Derivatives: Non-Symmetrical vs. Symmetrical Fluorination. Sensors. 2020; 20(18):5172. https://doi.org/10.3390/s20185172
Chicago/Turabian StyleMcLoughlin, Ciaran K., Eleni Kotroni, Mikkel Bregnhøj, Georgios Rotas, Georgios C. Vougioukalakis, and Peter R. Ogilby. 2020. "Oxygen- and pH-Dependent Photophysics of Fluorinated Fluorescein Derivatives: Non-Symmetrical vs. Symmetrical Fluorination" Sensors 20, no. 18: 5172. https://doi.org/10.3390/s20185172
APA StyleMcLoughlin, C. K., Kotroni, E., Bregnhøj, M., Rotas, G., Vougioukalakis, G. C., & Ogilby, P. R. (2020). Oxygen- and pH-Dependent Photophysics of Fluorinated Fluorescein Derivatives: Non-Symmetrical vs. Symmetrical Fluorination. Sensors, 20(18), 5172. https://doi.org/10.3390/s20185172

