Experimental Investigation of the Physical Properties and Microstructure of Slate under Wetting and Drying Cycles Using Micro-CT and Ultrasonic Wave Velocity Tests
Abstract
1. Introduction
2. Materials and Methods
2.1. Micro-CT Test System
2.2. Ultrasonic Wave Velocity Test
2.3. Preparation of the Rock Specimens and Experimental Procedure
2.4. CT Image Processing
3. Results
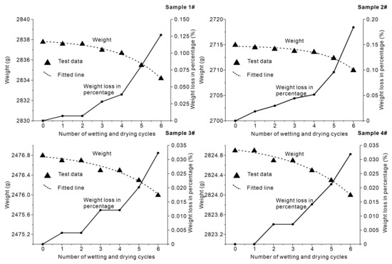
3.1. Physical Properties Subjected to Different Wetting and Drying Cycles
3.2. Visualization of Microfracture Clusters
4. Conclusions
Author Contributions
Funding
Acknowledgments
Conflicts of Interest
References
- Hua, W.; Dong, S.; Li, Y.; Wang, Q. Effect of cyclic wetting and drying on the pure mode II fracture toughness of sandstone. Eng. Fract. Mech. 2016, 153, 143–150. [Google Scholar] [CrossRef]
- Wang, L.L.; Bornert, M.; Héripré, E.; Yang, D.S.; Chanchole, S. Irreversible deformation and damage in argillaceous rocks induced by wetting/drying. J. Appl. Geophys. 2014, 107, 108–118. [Google Scholar] [CrossRef]
- Ma, J.W.; Tang, H.M.; Hu, X.L.; Bobet, A.; Zhang, M.; Zhu, T.W.; Song, Y.J.; Ez Eldin, M.A.M. Identification of causal factors for the Majiagou landslide using modern data mining methods. Landslides 2017, 14, 311–322. [Google Scholar] [CrossRef]
- Zhou, Z.; Cai, X.; Chen, L.; Cao, W.; Zhao, Y.; Xiong, C. Influence of cyclic wetting and drying on physical and dynamic compressive properties of sandstone. Eng. Geol. 2017, 220, 1–12. [Google Scholar] [CrossRef]
- Tang, H.; Wasowski, J.; Juang, C.H. Geohazards in the three Gorges Reservoir Area, China—Lessons learned from decades of research. Eng. Geol. 2019, 261, 105267. [Google Scholar] [CrossRef]
- Huang, S.; Wang, J.; Qiu, Z.; Kang, K. Effects of Cyclic Wetting-Drying Conditions on Elastic Modulus and Compressive Strength of Sandstone and Mudstone. Processes 2018, 6, 234. [Google Scholar] [CrossRef]
- Sumner, P.D.; Loubser, M.J. Experimental sandstone weathering using different wetting and drying moisture amplitudes. Earth Surf. Proc. Land 2008, 33, 985–990. [Google Scholar] [CrossRef]
- Kassab, M.A.; Weller, A. Study on P-wave and S-wave velocity in dry and wet sandstones of Tushka region, Egypt. Egypt. J. Pet. 2015, 24, 1–11. [Google Scholar] [CrossRef]
- Lin, M.L.; Jeng, F.S.; Tsai, L.S.; Huang, T.H. Wetting weakening of tertiary sandstones—microscopic mechanism. Environ. Geol. 2005, 48, 265–275. [Google Scholar] [CrossRef]
- Khanlari, G.; Abdilor, Y. Influence of wet–dry, freeze–thaw, and heat–cool cycles on the physical and mechanical properties of Upper Red sandstones in central Iran. Bull. Eng. Geol. Environ. 2015, 74, 1287–1300. [Google Scholar] [CrossRef]
- Yao, H.Y.; Zhang, Z.H.; Zhu, C.H.; Shi, Y.C.; Li, Y. Experimental study of mechanical properties of sandstone under cyclic drying and wetting. Rock Soil Mech. 2010, 31, 3704–3708. [Google Scholar]
- Deng, H.F.; Zhou, M.L.; Li, J.L.; Sun, X.S.; Huang, Y.L. Creep degradation mechanism by water-rock interaction in the red-layer soft rock. Arab. J. Geosci. 2016, 9, 601. [Google Scholar] [CrossRef]
- Zhao, Z.; Yang, J.; Zhang, D.; Peng, H. Effects of Wetting and Cyclic Wetting–Drying on Tensile Strength of Sandstone with a Low Clay Mineral Content. Rock Mech. Rock Eng. 2017, 50, 485–491. [Google Scholar] [CrossRef]
- Zhang, B.Y.; Zhang, J.H.; Sun, G.L. Deformation and shear strength of rockfill materials composed of soft siltstones subjected to stress, cyclical drying/wetting and temperature variations. Eng. Geol. 2015, 190, 87–97. [Google Scholar] [CrossRef]
- Liu, X.; Wang, Z.; Fu, Y.; Yuan, W.; Miao, L. Macro/Microtesting and Damage and Degradation of Sandstones under Dry-Wet Cycles. Adv. Mater. Sci. Eng. 2016, 2016, 1–16. [Google Scholar] [CrossRef]
- Hale, P.A.; Shakoor, A. A Laboratory Investigation of the Effects of Cyclic Heating and Cooling, Wetting and Drying, and Freezing and Thawing on the Compressive Strength of Selected Sandstones. Environ. Eng. Geosci. Environ. Eng. Geosci. 2003, 9, 117–130. [Google Scholar] [CrossRef]
- Özbek, A. Investigation of the effects of wetting–drying and freezing–thawing cycles on some physical and mechanical properties of selected ignimbrites. Bull. Eng. Geol. Environ. 2014, 73, 595–609. [Google Scholar] [CrossRef]
- Hounsfield, G.N. Computerized transverse axial scanning (tomography): Part 1. Description of system. Br. J. Radiol. 1973, 46, 1016–1022. [Google Scholar] [CrossRef]
- Zander, V.; Chan, D.; Sadr, A. Microcomputed Tomography Evaluation of Root Dentin Caries Prevention by Topical Fluorides and Potassium Iodide. Sensors 2019, 19, 874. [Google Scholar] [CrossRef]
- Chiesura, G.; Luyckx, G.; Voet, E.; Lammens, N.; Van Paepegem, W.; Degrieck, J.; Dierick, M.; Van Hoorebeke, L.; Vanderniepen, P.; Sulejmani, S.; et al. A Micro-Computed Tomography Technique to Study the Quality of Fibre Optics Embedded in Composite Materials. Sensors 2015, 15, 10852–10871. [Google Scholar] [CrossRef]
- Katunin, A.; Wronkowicz-Katunin, A.; Dragan, K. Impact Damage Evaluation in Composite Structures Based on Fusion of Results of Ultrasonic Testing and X-ray Computed Tomography. Sensors 2020, 20, 1867. [Google Scholar] [CrossRef] [PubMed]
- Fusi, N.; Martinez-Martinez, J. Mercury porosimetry as a tool for improving quality of micro-CT images in low porosity carbonate rocks. Eng. Geol. 2013, 166, 272–282. [Google Scholar] [CrossRef]
- Hu, Z.; Klaver, J.; Schmatz, J.; Dewanckele, J.; Littke, R.; Krooss, B.M.; Amann-Hildenbrand, A. Stress sensitivity of porosity and permeability of Cobourg limestone. Eng. Geol. 2020, 273, 105632. [Google Scholar] [CrossRef]
- Liu, X.; Wang, J.; Ge, L.; Hu, F.; Li, C.; Li, X.; Yu, J.; Xu, H.; Lu, S.; Xue, Q. Pore-scale characterization of tight sandstone in Yanchang Formation Ordos Basin China using micro-CT and SEM imaging from nm- to cm-scale. Fuel 2017, 209, 254–264. [Google Scholar] [CrossRef]
- Kawaragi, C.; Yoneda, T.; Sato, T.; Kaneko, K. Microstructure of saturated bentonites characterized by X-ray CT observations. Eng. Geol. 2009, 106, 51–57. [Google Scholar] [CrossRef]
- Sarkar, G.; Siddiqua, S. Effect of fluid chemistry on the microstructure of light backfill: An X-ray CT investigation. Eng. Geol. 2016, 202, 153–162. [Google Scholar] [CrossRef]
- Meng, T.; Liu, R.; Meng, X.; Zhang, D.; Hu, Y. Evolution of the permeability and pore structure of transversely isotropic calcareous sediments subjected to triaxial pressure and high temperature. Eng. Geol. 2019, 253, 27–35. [Google Scholar] [CrossRef]
- Nakashima, Y.; Watanabe, Y. Estimate of transport properties of porous media by microfocus X-ray computed tomography and random walk simulation. Water Resour. Res. 2002, 38, 8-1–8-12. [Google Scholar] [CrossRef]
- Yao, Y.; Liu, D.; Che, Y.; Tang, D.; Tang, S.; Huang, W. Non-destructive characterization of coal samples from China using microfocus X-ray computed tomography. Int. J. Coal. Geol. 2009, 80, 113–123. [Google Scholar] [CrossRef]
- Appoloni, C.R.; Fernandes, C.P.; Rodrigues, C.R.O. X-ray microtomography study of a sandstone reservoir rock. Nucl. Instrum. Methods Phys. Res. Sect. A Accel. Spectrometers Detect. Assoc. Equip. 2007, 580, 629–632. [Google Scholar] [CrossRef]
- Ma, L.; Taylor, K.G.; Lee, P.D.; Dobson, K.J.; Dowey, P.J.; Courtois, L. Novel 3D centimetre-to nano-scale quantification of an organic-rich mudstone: The Carboniferous Bowland Shale, Northern England. Mar. Petrol. Geol. 2016, 72, 193–205. [Google Scholar] [CrossRef]
- Iacoviello, F.; Lu, X.; Mitchell, T.M.; Brett, D.J.L.; Shearing, P.R. The Imaging Resolution and Knudsen Effect on the Mass Transport of Shale Gas Assisted by Multi-length Scale X-Ray Computed Tomography. Sci. Rep. 2019, 9, 19465. [Google Scholar] [CrossRef] [PubMed]
- Backeberg, N.R.; Iacoviello, F.; Rittner, M.; Mitchell, T.M.; Jones, A.P.; Day, R.; Wheeler, J.; Shearing, P.R.; Vermeesch, P.; Striolo, A. Quantifying the anisotropy and tortuosity of permeable pathways in clay-rich mudstones using models based on X-ray tomography. Sci. Rep. 2017, 7, 14838. [Google Scholar] [CrossRef] [PubMed]
- Liu, Q.; Song, R.; Liu, J.; Lei, Y.; Zhu, X. Pore-scale visualization and quantitative analysis of the spontaneous imbibition based on experiments and micro-CT technology in low-permeability mixed-wettability rock. Energy Sci. Eng. 2020, 8, 1840–1856. [Google Scholar] [CrossRef]
- Koudelka, P.; Fila, T.; Rada, V.; Zlamal, P.; Sleichrt, J.; Vopalensky, M.; Kumpova, I.; Benes, P.; Vavrik, D.; Vavro, L.; et al. In-situ X-ray Differential Micro-tomography for Investigation of Water-weakening in Quasi-brittle Materials Subjected to Four-point Bending. Materials 2020, 13, 1405. [Google Scholar] [CrossRef]
- Ding, C.; Hu, D.; Zhou, H.; Lu, J.; Lv, T. Investigations of P-Wave velocity, mechanical behavior and thermal properties of anisotropic slate. Int. J. Rock Mech. Min. 2020, 127, 104176. [Google Scholar] [CrossRef]
- Hao, X.-J.; Yuan, L.; Zhao, Y.-X. Influence of initial microcrack on the physic-mechanical properties of rock with slaty cleavage. Geotech. Geol. Eng. 2017, 35, 2351–2360. [Google Scholar] [CrossRef]
- Meng, L.-B.; Li, T.-B.; Cai, G.-J. Temperature effects on the mechanical properties of slates in triaxial compression test. J. Mt. Sci. Engl. 2017, 14, 2581–2588. [Google Scholar] [CrossRef]
- Salehin, S. Investigation into engineering parameters of marls from Seydoon dam in Iran. J. Rock Mech. Geotech. Eng. 2017, 9, 912–923. [Google Scholar] [CrossRef]
- Meng, C.; Niu, J.; Li, X.; Luo, Z.; Du, X.; Du, J.; Lin, X.; Yu, X. Quantifying soil macropore networks in different forest communities using industrial computed tomography in a mountainous area of North China. J. Soils Sediments 2017, 17, 2357–2370. [Google Scholar] [CrossRef]
- Hu, X.; Li, Z.-C.; Li, X.-Y.; Liu, Y. Influence of shrub encroachment on CT-measured soil macropore characteristics in the Inner Mongolia grassland of northern China. Soil. Tillage Res. 2015, 150, 1–9. [Google Scholar] [CrossRef]
- Yang, B.; Xue, L.; Zhang, K. X-ray micro-computed tomography study of the propagation of cracks in shale during uniaxial compression. Environ. Earth Sci. 2018, 77, 652. [Google Scholar] [CrossRef]
- Kong, W.; Wei, Y.; Wang, S.; Chen, J.; Wang, Y. Research progress on cement-based materials by X-ray computed tomography. Int. J. Pavement Res. Technol. 2020, 13, 366–375. [Google Scholar] [CrossRef]
- Hu, X.; Li, Z.-C.; Li, X.-Y.; Liu, L.-Y. Quantification of soil macropores under alpine vegetation using computed tomography in the Qinghai Lake Watershed, NE Qinghai–Tibet Plateau. Geoderma 2016, 264, 244–251. [Google Scholar] [CrossRef]
- Zhao, B.; Liu, D.; Li, Z.; Huang, W.; Dong, Q. Mechanical Behavior of Shale Rock under Uniaxial Cyclic Loading and Unloading Condition. Adv. Civ. Eng. 2018, 2018, 9750480. [Google Scholar] [CrossRef]
- Ván, P.; Vásárhelyi, B. Relation of rock mass characterization and damage. In Rock Engineering in Difficult Ground Conditions—Soft Rocks and Karst; Vrkljan, I., Ed.; Taylor & Francis Group: London, UK, 2010. [Google Scholar]
- Zhou, J.; Wei, J.; Yang, T.; Zhu, W.; Li, L.; Zhang, P. Damage analysis of rock mass coupling joints, water and microseismicity. Tunn. Undergr. Space Technol. 2018, 71, 366–381. [Google Scholar] [CrossRef]
- Azimian, A.; Ajalloeian, R. Empirical correlation of physical and mechanical properties of marly rocks with P wave velocity. Arab. J. Geosci. 2015, 8, 2069–2079. [Google Scholar] [CrossRef]
- Zhou, Z.-L.; Cai, X.; Zhao, Y.; Chen, L.; Xiong, C.; Li, X.-B. Strength characteristics of dry and saturated rock at different strain rates. Trans. Nonferr. Metal. Soc. 2016, 26, 1919–1925. [Google Scholar] [CrossRef]
- Zhou, Z.; Cai, X.; Ma, D.; Chen, L.; Wang, S.; Tan, L. Dynamic tensile properties of sandstone subjected to wetting and drying cycles. Constr. Build. Mater. 2018, 182, 215–232. [Google Scholar] [CrossRef]
- Zhou, H.; Liu, H.; Hu, D.; Yang, F.; Lu, J.; Zhang, F. Anisotropies in Mechanical Behaviour, Thermal Expansion and P-Wave Velocity of Sandstone with Bedding Planes. Rock Mech. Rock Eng. 2016, 49, 4497–4504. [Google Scholar] [CrossRef]











| Experimental Equipment | Specifications |
|---|---|
| Phoenix V|tome|x S | X-ray tube type: Open directional high-power microfocus X-ray tube, with a closed cooling water circuit |
| Max. voltage/power: 240 kV/320 W | |
| Geometrical magnification (3D): 1.46× to 100× with a microfocus tube | |
| Detail detectability: Down to <1 µm (microfocus tube); | |
| Max. focus object distance: 545 mm (microfocus tube) | |
| SonicViewer-SX (model-5251C) | Output voltage: 500 V |
| Pulse width: 6 μs ± 2 μs | |
| Input impedance: 1 MΩ | |
| Gain: 1, 2, 5, 10, 20, 50, 100, 200 | |
| Frequency range: 10–1000 kHz | |
| Low-pass filter: 200 kHz | |
| A/D resolution: 12 bit | |
| Sample rate: 50, 100, 200, 500, 1000, 2000 ns | |
| Data length: 1024 | |
| P-wave transducer: 200 kHz | |
| S-wave transducer: 100 kHz |
| Parameters | Value |
|---|---|
| Magnetization | 2.50 |
| Source to sample distance (FOD, mm) | 372.57 |
| Source to detector distance (FDD, mm) | 931.43 |
| Number of projections | 1800 |
| Image width (pixel) | 2000 |
| Image height (pixel) | 2000 |
| Detector type | DXR-250 |
| Acquisition time (ms) | 1000.10 |
| Camera binning | 1 |
| X-ray voltage (kV) | 200 |
| X-ray current (μA) | 190 |
| Voxel size (μm × μm × μm) | 80 × 80 × 80 |
| Process | Parameter | Process | Parameter |
|---|---|---|---|
| Image resizing | 256 × 256 pixels | Gaussian filtering | 10 × 10 pixels |
| Median filtering | 10 × 10 pixels | Minimum filtering | 10 × 10 pixels |
| Morphological opening | Disk, R = 3 pixels | Morphological closing | Disk, R = 3 pixels |
| Region growing | Normalized distance < 0.1 | Merging similar regions | Distance < 10 pixels and mean grayscale < 40 |
| Removing small regions | <200 pixels | Removing nonlinearity regions | Major axis length/Minor axis length < 3 |
| Measurement of Properties | Relationship Equations | Coefficient of Determination (R2) |
|---|---|---|
| Dry weight (w) | Sample 1#: w1 = 2838.02754 − 0.21754 × e0.47957n | 0.99 |
| Sample 2#: w2 = 2714.78392 − 0.1083 × e0.62916n | 0.98 | |
| Sample 3#: w3 = 2476.86398 − 0.09339 × e0.36783n | 0.97 | |
| Sample 4#: w4 = 2825.05996 − 0.15042 × e0.32507n | 0.99 | |
| P-wave velocity (vP) | vP = 3523.69446 + 923.46222 × e−0.41864n | 0.99 |
| S-wave velocity (vS) | vS = 2488.97977 + 1178.33291 × e−0.31083n | 0.99 |
| Sample 1 | Sample 2 | Sample 3 | Sample 4 | ||
|---|---|---|---|---|---|
| ROI dimensions (mm × mm × mm) | n = 0 | 50 × 50 × 50 | |||
| n = 6 | |||||
| Maximum pore equivalent diameter (mm) | n = 0 | 9.85 | 4.37 | 9.21 | 4.99 |
| n = 6 | 49.55 | 41.39 | 27.65 | 31.34 | |
| Average diameter (mm) | n = 0 | 4.16 | 1.44 | 5.13 | 3.56 |
| n = 6 | 4.43 | 4.35 | 9.28 | 4.05 | |
| Defect volume of microfractures (mm3) | n = 0 | 147.92 | 116.51 | 155.11 | 115.42 |
| n = 6 | 276.84 | 427.82 | 369.79 | 351.62 | |
| Total area of microfractures (mm2) | n = 0 | 4084.23 | 3090.52 | 4311.45 | 375.40 |
| n = 6 | 6880.27 | 11,258.71 | 9905.19 | 9664.15 | |
| Defect volume ratio (%) | n = 0 | 0.12 | 0.09 | 0.12 | 0.09 |
| n = 6 | 0.22 | 0.34 | 0.30 | 0.28 | |
© 2020 by the authors. Licensee MDPI, Basel, Switzerland. This article is an open access article distributed under the terms and conditions of the Creative Commons Attribution (CC BY) license (http://creativecommons.org/licenses/by/4.0/).
Share and Cite
Ma, J.; Niu, X.; Xiong, C.; Lu, S.; Xia, D.; Zhang, B.; Tang, H. Experimental Investigation of the Physical Properties and Microstructure of Slate under Wetting and Drying Cycles Using Micro-CT and Ultrasonic Wave Velocity Tests. Sensors 2020, 20, 4853. https://doi.org/10.3390/s20174853
Ma J, Niu X, Xiong C, Lu S, Xia D, Zhang B, Tang H. Experimental Investigation of the Physical Properties and Microstructure of Slate under Wetting and Drying Cycles Using Micro-CT and Ultrasonic Wave Velocity Tests. Sensors. 2020; 20(17):4853. https://doi.org/10.3390/s20174853
Chicago/Turabian StyleMa, Junwei, Xiaoxu Niu, Chengren Xiong, Sha Lu, Ding Xia, Bocheng Zhang, and Huiming Tang. 2020. "Experimental Investigation of the Physical Properties and Microstructure of Slate under Wetting and Drying Cycles Using Micro-CT and Ultrasonic Wave Velocity Tests" Sensors 20, no. 17: 4853. https://doi.org/10.3390/s20174853
APA StyleMa, J., Niu, X., Xiong, C., Lu, S., Xia, D., Zhang, B., & Tang, H. (2020). Experimental Investigation of the Physical Properties and Microstructure of Slate under Wetting and Drying Cycles Using Micro-CT and Ultrasonic Wave Velocity Tests. Sensors, 20(17), 4853. https://doi.org/10.3390/s20174853

