Statistical Study of the Performance of Recursive Bayesian Filters with Abnormal Observations from Range Sensors
Abstract
1. Introduction
2. Related Works
3. Design and Methodology of the Study
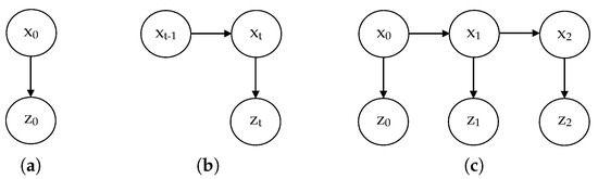
3.1. Generic Bayesian Networks for Filtering Range Sensors
3.2. Sensory Anomalies and Limitations
3.3. Filter Performance Measures and Problem Characterization
- Expected accuracy of the filter ().
- Expected uncertainty of the filter ().
- Minimum number of steps that lead to convergence ().
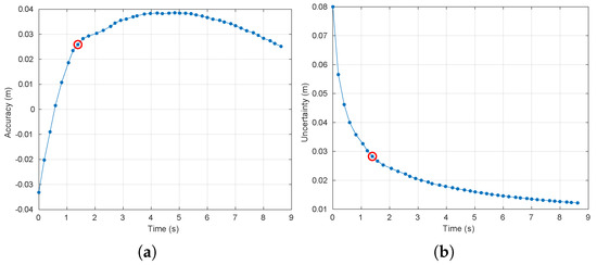
- Initial position of the obstacle in the tracking problem (Figure 1).
- Speed v of the obstacle.
- Amount of biased observations (represented as a percentage of the total number of observations).
- Amount of saturated or missing observations (idem).
3.4. Statistical Tools
3.5. Procedure for the Analysis and Deduction of Conclusions
- Factor B (missing data) has effect on the expected uncertainty of the filter.
- Factor C (biased data) has effect on the convergence of the filter given that B takes its low value; factor C (obstacle speed) has no effect given that B takes its high value.
- Factor D has no effect on the expected accuracy performance of the filter given that C takes its low value; factor D has no effect given that B takes its low value and C its high value; factor D has no effect given that both B and C take their high values.
3.6. Gathering Data
4. Results of the Study and Discussion
4.1. Statement of Hypotheses
4.2. Statistical Analysis
4.3. Real Experiment
5. Conclusions
Author Contributions
Funding
Conflicts of Interest
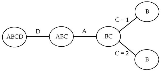
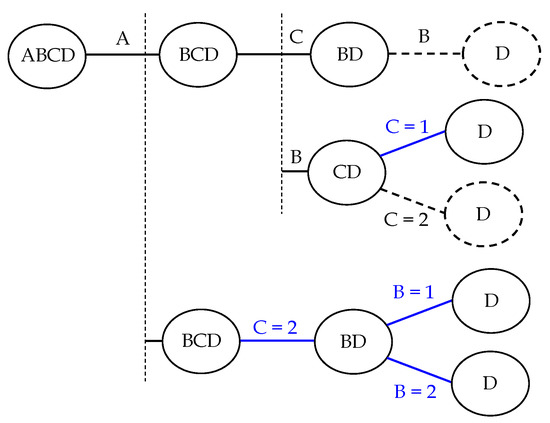
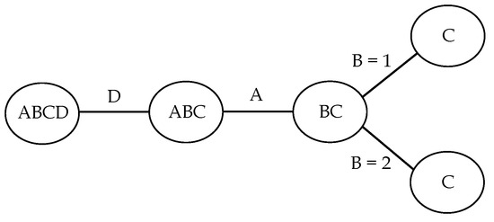
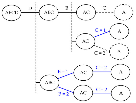
Appendix A. Algorithms for the Deduction of Conclusions
Algorithms A1.testInteractions(n, s, X, , T) |
|
| Algorithm 2.forceInteraction(n, a, f, X, F, error, ) |
|
| Algorithm 3.ANOVA(s, X, F, Y, R) |
|
Appendix B. Algorithms for Gathering Simulated Data
| Algorithm 4.dataCollection |
|
| Algorithm 5.performanceData(), |
|
Appendix C. Population Groups for the Performances of the Filter



Appendix D. Full Report of the Obtained Results
Appendix D.1. Expected Accuracy Performance
| Source | SS | df | MS | F | p-Value |
|---|---|---|---|---|---|
| A | 0.0000 | 1 | 0.0000 | 0.0237 | 0.8775 |
| B | 0.7041 | 1 | 0.7041 | 1067.5699 | 0.0000 |
| C | 727.8939 | 1 | 727.8939 | 1,103,603.2161 | 0.0000 |
| D | 0.0020 | 1 | 0.0020 | 3.0079 | 0.0829 |
| AxB | 0.0000 | 1 | 0.0000 | 0.0005 | 0.9822 |
| AxC | 0.0020 | 1 | 0.0020 | 3.0027 | 0.0832 |
| AxD | 0.0001 | 1 | 0.0001 | 0.1927 | 0.6607 |
| BxC | 0.7904 | 1 | 0.7904 | 1198.4044 | 0.0000 |
| BxD | 0.0013 | 1 | 0.0013 | 1.9418 | 0.1635 |
| CxD | 0.0005 | 1 | 0.0005 | 0.7927 | 0.3733 |
| AxBxC | 0.0020 | 1 | 0.0020 | 2.9629 | 0.0853 |
| AxBxD | 0.0000 | 1 | 0.0000 | 0.0264 | 0.8709 |
| AxCxD | 0.0002 | 1 | 0.0002 | 0.3474 | 0.5556 |
| BxCxD | 0.0005 | 1 | 0.0005 | 0.6824 | 0.4088 |
| AxBxCxD | 0.0001 | 1 | 0.0001 | 0.0855 | 0.7700 |
| Within cells | 3.1976 | 4848 | 0.0007 |
- Factor A has no effect on the expected accuracy of the filter given that C = 1.
- Factor A has no effect given that B = 1 and C = 2.
- Factor A has no effect given that B = 2 and C = 2.



- Factor B has no effect on the expected accuracy of the filter given that C = 1.
- Factor B has effect given that C = 2.



- Factor C has effect on the expected accuracy of the filter given that B = 1.
- Factor C has effect given that B = 2.



- Factor D has no effect on the expected accuracy of the filter given that C = 1.
- Factor D has no effect given that B = 1 and C = 2.
- Factor D has no effect given that B = 2 and C = 2.



Appendix D.2. Expected Uncertainty Performance
| Source | SS | df | MS | F | p-Value |
|---|---|---|---|---|---|
| A | 1.3281 | 1 | 1.3281 | 0.2015 | 0.6535 |
| B | 0.5550 | 1 | 0.5550 | 842,141.6088 | 0.0000 |
| C | 2.5223 | 1 | 2.5223 | 0.0383 | 0.8449 |
| D | 7.8373 | 1 | 7.8373 | 0.0012 | 0.9725 |
| AxB | 1.3281 | 1 | 1.3281 | 0.2015 | 0.6535 |
| AxC | 9.9627 | 1 | 9.9627 | 1.5118 | 0.2189 |
| AxD | 1.7472 | 1 | 1.7472 | 2.6514 | 0.1035 |
| BxC | 2.5223 | 1 | 2.5223 | 0.0383 | 0.8449 |
| BxD | 7.8373 | 1 | 7.8373 | 0.0012 | 0.9725 |
| CxD | 6.3747 | 1 | 6.3747 | 0.0967 | 0.7558 |
| AxBxC | 9.9627 | 1 | 9.9627 | 1.5118 | 0.2189 |
| AxBxD | 1.7472 | 1 | 1.7472 | 2.6514 | 0.1035 |
| AxCxD | 1.1712 | 1 | 1.1712 | 0.1777 | 0.6733 |
| BxCxD | 6.3747 | 1 | 6.3747 | 0.0967 | 0.7558 |
| AxBxCxD | 1.1712 | 1 | 1.1712 | 0.1777 | 0.6733 |
| Within cells | 0.00319 | 4848 | 6.5899 |
- Factor A has no effect on the expected uncertainty of the filter given that B = 1.
- Factor A has no effect given that B = 2.

| Source | SS | df | MS | F | p-Value |
|---|---|---|---|---|---|
| A | 2.6562 | 1 | 2.6562 | 0.4031 | 0.5255 |
| Within cells | 0.00319 | 4848 | 6.5899 |



- Factor C has no effect on the expected uncertainty of the filter given that B = 1.
- Factor C has no effect given that B = 2.

| Source | SS | df | MS | F | p-Value |
|---|---|---|---|---|---|
| C | 5.0446 | 1 | 5.0446 | 0.0766 | 0.7820 |
| Within cells | 0.00319 | 4848 | 6.5899 |

- Factor D has no effect on the expected uncertainty of the filter given that B = 1.
- Factor D has no effect given that B = 2.

| Source | SS | df | MS | F | p-Value |
|---|---|---|---|---|---|
| D | 1.5675 | 1 | 1.5675 | 0.0024 | 0.9611 |
| Within cells | 0.00319 | 4848 | 6.5899 |

Appendix D.3. Convergence Performance
| Source | SS | df | MS | F | p-Value |
|---|---|---|---|---|---|
| A | 27.6910 | 1 | 27.6910 | 0.1702 | 0.6800 |
| B | 962,747.0726 | 1 | 962,747.0726 | 5917.3969 | 0.0000 |
| C | 1,601,490.7650 | 1 | 1,601,490.7650 | 9843.3501 | 0.0000 |
| D | 6.8851 | 1 | 6.8851 | 0.0423 | 0.8370 |
| AxB | 17.6499 | 1 | 17.6499 | 0.1085 | 0.7419 |
| AxC | 3.7469 | 1 | 3.7469 | 0.0230 | 0.8794 |
| AxD | 11.3538 | 1 | 11.3538 | 0.0698 | 0.7917 |
| BxC | 1,255,927.0726 | 1 | 1,255,927.0726 | 7719.3888 | 0.0000 |
| BxD | 672.7963 | 1 | 672.7963 | 4.1353 | 0.0421 |
| CxD | 61.5150 | 1 | 61.5150 | 0.3781 | 0.5387 |
| AxBxC | 78.7749 | 1 | 78.7749 | 0.4842 | 0.4866 |
| AxBxD | 35.0676 | 1 | 35.0676 | 0.2155 | 0.6425 |
| AxCxD | 17.1713 | 1 | 17.1713 | 0.1055 | 0.7453 |
| BxCxD | 0.0742 | 1 | 0.0742 | 0.0005 | 0.9830 |
| AxBxCxD | 20.9213 | 1 | 20.9213 | 0.1286 | 0.7199 |
| Within cells | 788,758.6 | 4848 | 162.7 |
- Factor A has no effect on the convergence of the filter given that B = 1 and C = 1.
- Factor A has no effect given that B = 1 and C = 2.
- Factor A has no effect given that B = 2.



- Factor B has effect on the convergence of the filter given that C = 1.
- Factor B has no effect given that C = 2.



- Factor C has effect on the convergence of the filter given that B = 1.
- Factor C has no effect given that B = 2.



- Factor D has no effect on the convergence of the filter given that B = 1 and C = 1.
- Factor D has no effect given that B = 1 and C = 2.
- Factor D has no effect given that B = 2.



References
- Behroozpour, B.; Sandborn, P.A.M.; Wu, M.C.; Boser, B.E. Lidar System Architectures and Circuits. IEEE Commun. Mag. 2017, 55, 135–142. [Google Scholar] [CrossRef]
- De Ponte Müller, F. Survey on Ranging Sensors and Cooperative Techniques for Relative Positioning of Vehicles. Sensors 2017, 17, 271. [Google Scholar] [CrossRef]
- Fernández-Madrigal, J.A.; Blanco Claraco, J.L. Simultaneous Localization and Mapping for Mobile Robots: Introduction and Methods; IGI Global: Hershey, PA, USA, 2013; p. 483. [Google Scholar] [CrossRef]
- Kuts, V.; Otto, T.; Tähemaa, T.; Bukhari, K.; Pataraia, T. Adaptive Industrial Robots Using Machine Vision. In ASME International Mechanical Engineering Congress and Exposition; American Society of Mechanical Engineers: Pittsburgh, PA, USA, 2018. [Google Scholar] [CrossRef]
- Garcia-Cerezo, A.; Mandow, A.; Martinez, J.L.; Gomez-de Gabriel, J.; Morales, J.; Cruz, A.; Reina, A.; Seron, J. Development of ALACRANE: A Mobile Robotic Assistance for Exploration and Rescue Missions. In Proceedings of the 2007 IEEE International Workshop on Safety, Security and Rescue Robotics, Rome, Italy, 27–29 September 2007; pp. 1–6. [Google Scholar] [CrossRef]
- Luperto, M.; Monroy, J.; Moreno, F.Á.; Ruiz-Sarmiento, J.R.; Basilico, N.; González, J.; Borghese, N.A. A Multi-Actor Framework Centered Around an Assitive Mobile Robot for Elderly People Living Alone. In Proceedings of the IEEE International Conference on Intelligent Robots—Workshop on Robots for Assisted Living (IROS), Madrid, Spain, 1–5 October 2018. [Google Scholar]
- Boutayeb, M.; Rafaralahy, H.; Darouach, M. Convergence analysis of the extended Kalman filter used as an observer for nonlinear deterministic discrete-time systems. IEEE Trans. Autom. Control. 1997, 42, 581–586. [Google Scholar] [CrossRef]
- Wang, S.; Wang, W.; Chen, B.; Tse, C.K. Convergence analysis of nonlinear Kalman filters with novel innovation-based method. Neurocomputing 2018, 289, 188–194. [Google Scholar] [CrossRef]
- Liu, T.; Wei, Y.; Yin, W.; Wang, Y.; Liang, Q. State estimation for nonlinear discrete–time fractional systems: A Bayesian perspective. Signal Process. 2019, 165, 250–261. [Google Scholar] [CrossRef]
- Sinopoli, B.; Schenato, L.; Franceschetti, M.; Poolla, K.; Jordan, M.; Sastry, S. Kalman Filtering With Intermittent Observations. IEEE Trans. Autom. Control 2004, 49, 1453–1464. [Google Scholar] [CrossRef]
- Fertig, E.; Baek, S.J.; Hunt, B.; Ott, E.; Szunyogh, I.; Aravéquia, J.; Kalnay, E.; Li, H.; Liu, J. Observation bias correction with an ensemble Kalman filter. Tellus Dyn. Meteorol. Oceanogr. 2009, 61, 210–226. [Google Scholar] [CrossRef]
- Pathuri Bhuvana, V.; Preissl, C.; Tonello, A.M.; Huemer, M. Multi-Sensor Information Filtering With Information-Based Sensor Selection and Outlier Rejection. IEEE Sens. J. 2018, 18, 2442–2452. [Google Scholar] [CrossRef]
- Kalman, R.E. A new approach to linear filtering and prediction problems. J. Fluids Eng. Trans. Asme 1960. [Google Scholar] [CrossRef]
- Rubin, D.B. The Calculation of Posterior Distributions by Data Augmentation: Comment: A Noniterative Sampling/Importance Resampling Alternative to the Data Augmentation Algorithm for Creating a Few Imputations When Fractions of Missing Information Are Modest: The SIR. J. Am. Stat. Assoc. 1987, 82, 543–546. [Google Scholar] [CrossRef]
- Doucet, A.; DeFreitas, N.; Murphy, K.P.; Russell, S. Rao-blackwellised particle filtering for dynamic Bayesian networks. In Proceedings of the Sixteenth Conference on Uncertainty in Artificial Intelligence, Stanford, CA, USA, 3 July 2000; pp. 176–183. [Google Scholar]
- Dean, T.; Kanazawa, K. A model for reasoning about persistence and causation. Artif. Intell. 1989, 93, 1–27. [Google Scholar] [CrossRef]
- Everett, H. Sensors for Mobile Robots; A K Peters, Ltd.: Wellesley, MA, USA, 1995. [Google Scholar] [CrossRef]
- Siegwart, R.; Nourbakhsh, I.R.; Scaramuzza, D. Introduction to Autonomous Mobile Robots, 2nd ed.; Massachusetts Institute of Technology: Cambridge, MA, USA, 2011; p. 472. [Google Scholar]
- Fisher, R.B.; Konolige, K. Range Sensors. In Springer Handbook of Robotics; Springer: Berlin, Heidelberg, 2008; pp. 521–542. [Google Scholar] [CrossRef]
- Lombardo, G.; McAdam, P. Financial market frictions in a model of the Euro area. Econ. Model. 2012, 29, 2460–2485. [Google Scholar] [CrossRef][Green Version]
- Alshareef, A.; Giudice, J.S.; Forman, J.; Shedd, D.F.; Wu, T.; Reynier, K.A.; Panzer, M.B. Application of trilateration and Kalman filtering algorithms to track dynamic brain deformation using sonomicrometry. Biomed. Signal Process. Control 2020, 56, 101691. [Google Scholar] [CrossRef]
- Von Toussaint, U. Bayesian inference in physics. Rev. Mod. Phys. 2011, 83, 943–999. [Google Scholar] [CrossRef]
- Lin, M.; Yoon, J.; Kim, B. Self-Driving Car Location Estimation Based on a Particle-Aided Unscented Kalman Filter. Sensors 2020, 20, 2544. [Google Scholar] [CrossRef]
- Siciliano, B.; Khatib, O. (Eds.) Springer Handbook of Robotics; Springer: Berlin, Heidelberg, 2008. [Google Scholar] [CrossRef]
- Fox, D.; Burgard, W.; Thrun, S. Markov Localization for Mobile Robots in Dynamic Environments. J. Artif. Intell. Res. 1999, 11, 391–427. [Google Scholar] [CrossRef]
- Bergman, N. Recursive Bayesian Estimation - Navigation and Tracking Applications; Linkoping University: Linkoping, Sweden, 1999. [Google Scholar]
- Dissanayake, M.; Newman, P.; Clark, S.; Durrant-Whyte, H.; Csorba, M. A solution to the simultaneous localization and map building (SLAM) problem. IEEE Trans. Robot. Autom. 2001, 17, 229–241. [Google Scholar] [CrossRef]
- Murphy, K.P. Dynamic Bayesian Networks: Representation, Inference and Learning. Ph.D. Thesis, University of California, Berkeley, CA, USA, October 2002. Available online: https://ibug.doc.ic.ac.uk/media/uploads/documents/courses/DBN-PhDthesis-LongTutorail-Murphy.pdf (accessed on 1 July 2020).
- Koller, D.; Friedman, N. Probabilistic Graphical Models: Principles and Techniques; The MIT Press: Cambridge, MA, USA, 2009; p. 1270. [Google Scholar]
- Smith, R.C.; Cheeseman, P. On the Representation and Estimation of Spatial Uncertainty. Int. J. Robot. Res. 1986, 5, 56–68. [Google Scholar] [CrossRef]
- Julier, S.J.; Uhlmann, J.K. A new extension of the Kalman filter to nonlinear systems. In International Symposium Aerospace/Defense Sensing, Simulation and Controls; Kadar, I., Ed.; SPIE: Orlando, FL, USA, 1997; pp. 182–193. [Google Scholar] [CrossRef]
- Pearl, J. Bayesian networks: A model of self-activated memory for evidential reasoning. In Proceedings of the 7th Conference of the Cognitive Science Society, Irvine, CA, USA, 15–17 August 1985; pp. 329–334, Number CSD-850021. [Google Scholar]
- Lauritzen, S.L.; Spiegelhalter, D.J. Local computations with probabilities on graphical structures and their application to expert systems. J. R. Stat. Soc. Ser. (Methodol.) 1988, 50, 157–224. [Google Scholar] [CrossRef]
- Lauritzen, S.L. Propagation of probabilities, means, and variances in mixed graphical association models. J. Am. Stat. Assoc. 1992. [Google Scholar] [CrossRef]
- Gao, B.; Hu, G.; Zhu, X.; Zhong, Y. A Robust Cubature Kalman Filter with Abnormal Observations Identification Using the Mahalanobis Distance Criterion for Vehicular INS/GNSS Integration. Sensors 2019, 19, 5149. [Google Scholar] [CrossRef] [PubMed]
- Agamennoni, G.; Nieto, J.I.; Nebot, E.M. An outlier-robust Kalman filter. In Proceedings of the 2011 IEEE International Conference on Robotics and Automation, Shanghai, China, 9–13 May 2011; pp. 1551–1558. [Google Scholar] [CrossRef]
- Kumar, R.; Castanon, D.; Ermis, E.; Saligrama, V. A new algorithm for outlier rejection in particle filters. In Proceedings of the 13th International Conference on Information Fusion, Edinburgh, UK, 26–29 July 2010; pp. 1–7. [Google Scholar] [CrossRef]
- Castellano-Quero, M.; Fernández-Madrigal, J.A.; García-Cerezo, A.J. Integrating multiple sources of knowledge for the intelligent detection of anomalous sensory data in a mobile robot. In Proceedings of the Robot 2019: Fourth Iberian Robotics Conference, Porto, Portugal, 20–22 November 2019; pp. 159–170. [Google Scholar] [CrossRef]
- Jwo, D.J.; Cho, T.S. A practical note on evaluating Kalman filter performance optimality and degradation. Appl. Math. Comput. 2007, 193, 482–505. [Google Scholar] [CrossRef]
- Jiang, C.; Zhang, S.B. A Novel Adaptively-Robust Strategy Based on the Mahalanobis Distance for GPS/INS Integrated Navigation Systems. Sensors 2018, 18, 695. [Google Scholar] [CrossRef] [PubMed]
- Darwiche, A. Modeling and Reasoning with Bayesian Networks; Cambridge University Press: New York, NY, USA, 2009; Volume 9780521884, pp. 1–548. [Google Scholar] [CrossRef]
- Lerner, U.N. Hybrid Bayesian Networks for Reasoning About Complex Systems. Ph.D. Thesis, Standford University, Standford, CA, USA, October 2003. [Google Scholar]
- Devantech. Devantech Limited Corporate Website. Available online: https://devantech.co.uk/ (accessed on 25 June 2020).
- Sharp. Sharp Corporation Website. Available online: https://global.sharp/ (accessed on 25 June 2020).
- Hokuyo. Hokuyo Automatic Co. Ltd. Corporate Website. Available online: https://www.hokuyo-aut.jp/company/ (accessed on 25 June 2020).
- Ruiz-Sarmiento, J.R.; Galindo, C.; González, J. Experimental Study of the Performance of the Kinect Range Camera for Mobile Robotics; Technical report; University of Malaga: Malaga, Spain, 2013. [Google Scholar]
- Khoshelham, K.; Elberink, S.O. Accuracy and Resolution of Kinect Depth Data for Indoor Mapping Applications. Sensors 2012, 12, 1437–1454. [Google Scholar] [CrossRef]
- Mesa Imaging. SR4000 Product Specification; Technical report; Mesa Imaging AG: Sidney, Australia, 2011. [Google Scholar]
- Nise, N.S. Control Systems Engineering, seventh ed.; Wiley: Pomona, CA, USA, 2015; p. 944. [Google Scholar]
- Cohen, J.; Cohen, P. Applied Multiple Regression/Correlation Analysis for The Behavioral Sciences; Lawrence Erlbaum Associates: Hillsdale, NJ, USA, 1983; p. 544. [Google Scholar]
- Maxwell, S.; Delaney, H. Designing Experiments and Analyzing Data: A Model Comparison Perspective, 2nd ed.; Lawrence Erlbaum Associates: Hillsdale, NJ, USA, 2004; p. 1104. [Google Scholar]
- Cohen, J. Statistical Power Analysis for the Behavioral Sciences, second ed.; Lawrence Erlbaum Associates: Hillsdale, NJ, USA, 1988. [Google Scholar]
- Murphy, K.P. The Bayes Net Toolbox for Matlab. Comput. Sci. Stat. 2001, 33, 1024–1034. [Google Scholar]
- Fernández-Madrigal, J.A.; Cruz-Martín, A. The CRUMB Project Website. Available online: https://donate.thebiggive.org.uk/ (accessed on 23 July 2020).
- Open Source Robotics Foundation. Turtlebot Website. Available online: https://www.turtlebot.com/ (accessed on 23 July 2020).
- Quigley, M.; Conley, K.; Gerkey, B.; Faust, J.; Foote, T.; Leibs, J.; Wheeler, R.; Ng, A.Y. ROS: An open-source Robot Operating System. In Proceedings of the ICRA Workshop on Open Source Software, Kobe, Japan, 12 –17 May 2009. [Google Scholar]










| Model Name | Type | Detectable Range | Accuracy |
|---|---|---|---|
| Devantech SRF05 [43] | 1D ultrasonic | 0.01 to 4 m | 4 cm |
| Sharp GP2Y0A02YK [44] | 1D triangulation-based IR | 0.2 to 1.5 m | 10 cm |
| Hokuyo URG-04LX-UG01 [45] | 2D laser-based | 0.06 to 4 m | 12 cm |
| Microsoft Kinect V1 [46,47] | 3D structured-light | 0.5 to 4 m | 4 cm |
| SwissRanger SR4000 [48] | 3D ToF camera | 0.1 to 5 m | 10 mm |
| Factor | Meaning | Low Value “1” | High Value “2” |
|---|---|---|---|
| A | Initial distance to obstacle () | 1 m | 2 m |
| B | Amount of missing range data | 0% | 95% |
| C | Amount of biased range data | 0% | 75% |
| D | Obstacle speed (v) | 0 m/s | 0.2 m/s |
| Factor | Parameter | Expected Accuracy | Expected Uncertainty | Convergence |
|---|---|---|---|---|
| - | −0.0119 | 0.0061 | 34.6577 | |
| A | −0.0001 | 0.0000 | 0.1509 | |
| B | 0.0253 | 0.0225 | 29.6187 | |
| C | 1.0316 | 0.0000 | 48.3876 | |
| D | −0.0064 | 0.0000 | 0.3762 | |
| - | 0.9945 | 0.9943 | 0.5563 |
| Factor | Expected Accuracy | Expected Uncertainty | Convergence | |||||
|---|---|---|---|---|---|---|---|---|
| A (obstacle position) | C = 1 | (—): m : 0.02, 0.02 | B = 1 | C = 1 | (—): 19 steps : 8, 8 | |||
| C = 2 | B = 1 | (—): 0.75 m : 0.009, 0.009 | B = 1 | (—): 0.006 m : 0, 0 | C = 2 | (—): 87 steps : 8, 8 | ||
| B = 2 | (—): 0.80 m : 0.041, 0.044 | B = 2 | (—): 0.028 m : 0.001, 0.001 | B = 2 | (—): 81 steps : 16, 16 | |||
| B (% of missing data) | C = 1 | (—): 0.003 m : 0.006, 0.027 | : 0.02 m : 0, 0.001 | C = 1 | : 60 steps : 8, 18 | |||
| C = 2 | : 0.05 m : 0.009, 0.040 | C = 2 | (—): 85 steps : 8, 14 | |||||
| C (% of biased data) | B = 1 | : 0.75 m : 0.006, 0.009 | B = 1 | (—): 0.006 m : 0, 0 | B = 1 | : 68 steps : 8, 8 | ||
| B = 2 | : 0.80 m : 0.027, 0.042 | B = 2 | (—): 0.028 m : 0.0011, 0.0012 | B = 2 | (—): 81 steps : 18, 14 | |||
| D (obstacle speed) | C = 1 | (—): m : 0.02, 0.02 | B = 1 | C = 1 | (—): 19 steps : 8, 8 | |||
| C = 2 | B = 1 | (—): 0.75 m : 0.009, 0.009 | B = 1 | (—): 0.006 m : 0, 0 | C = 2 | (—): 87 steps : 8, 8 | ||
| B = 2 | (—): 0.80 m : 0.042, 0.042 | B = 2 | (—): 0.028 m : 0.001, 0.001 | B = 2 | (—): 81 steps : 15, 16 | |||
| Measure | Kinect | Hokuyo |
|---|---|---|
| Expected accuracy | 0.0268 m | 1.5599 m |
| Expected uncertainty | 0.0124 m | 0.0205 m |
| Steps for convergence | 8 | 43 |
© 2020 by the authors. Licensee MDPI, Basel, Switzerland. This article is an open access article distributed under the terms and conditions of the Creative Commons Attribution (CC BY) license (http://creativecommons.org/licenses/by/4.0/).
Share and Cite
Castellano-Quero, M.; Fernández-Madrigal, J.-A.; García-Cerezo, A.-J. Statistical Study of the Performance of Recursive Bayesian Filters with Abnormal Observations from Range Sensors. Sensors 2020, 20, 4159. https://doi.org/10.3390/s20154159
Castellano-Quero M, Fernández-Madrigal J-A, García-Cerezo A-J. Statistical Study of the Performance of Recursive Bayesian Filters with Abnormal Observations from Range Sensors. Sensors. 2020; 20(15):4159. https://doi.org/10.3390/s20154159
Chicago/Turabian StyleCastellano-Quero, Manuel, Juan-Antonio Fernández-Madrigal, and Alfonso-José García-Cerezo. 2020. "Statistical Study of the Performance of Recursive Bayesian Filters with Abnormal Observations from Range Sensors" Sensors 20, no. 15: 4159. https://doi.org/10.3390/s20154159
APA StyleCastellano-Quero, M., Fernández-Madrigal, J.-A., & García-Cerezo, A.-J. (2020). Statistical Study of the Performance of Recursive Bayesian Filters with Abnormal Observations from Range Sensors. Sensors, 20(15), 4159. https://doi.org/10.3390/s20154159

