Diagnosis of Varroosis Based on Bee Brood Samples Testing with Use of Semiconductor Gas Sensors
Abstract
1. Introduction
2. Materials and Methods
2.1. Construction of the Measuring Device
2.2. Construction of the Measuring Stand
2.3. Characteristics of Tested Brood Samples
2.4. Class Characteristics
- 1st class—empty chamber (13 objects),
- 2nd class—fragments of combs containing brood sick with varroosis (on average 26.8% of infected brood cells) (19 objects),
- 3rd class—combs fragments containing healthy sealed (10 objects).
2.5. Characteristics of the Brood Subclass Depending on the Level of Infection by V. Destructor
- 2.1—highly infested brood (from 8% to 25%)
- 2.2—very highly infested brood (more than 25%) (Table 2).
2.6. Measurement Procedure
2.7. Data Processing
- variant 1: 270 s sensor reading from sample measurement,
- option 2: value from 270 s of sensor reading from the sample measurement with baseline correction by subtracting the reading from the last 600 s of surrounding air measurement.
2.8. The Experimental Part Design
3. Results
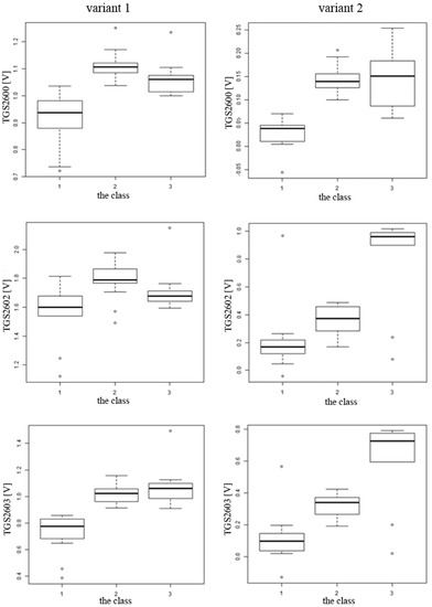
3.1. Sensors Sensitivity to the Indicated Object Classes
3.2. Analysis of the Results for the 5xCV2 Test
3.3. Analysis of the Results for the 5xMCCV Test
3.4. Distinguishing V. Destructor Invasion Levels in the Sick Brood
4. Discussion
5. Conclusions
- To achieve a good separation of classes, it is necessary to perform a baseline correction. In this case, using a differential technique brings good effects. We verified the statistical validity of this hypothesis with a 1-tailed t-student test.
- The k-NN, and in some cases Naïve Bayes algorithm, are excellent tools to demonstrate the sensitivity of the sensors used in the study to distinguish sick brood with varroosis from the healthy brood. If the number of objects was too small to perform a cross-validation test, 1D, 2D, and 3D visualizations were used.
- The TGS 623, TGS 2602, and TGS 2603 sensors proved to be highly sensitive semiconductor sensors for the diagnosis of brood suffering from varroosis in the laboratory conditions.
- The most effective sensor in distinguishing individual classes is the TGS 2603 sensor and it could be successfully used to diagnose varroosis in sealed brood samples.
- The prototype of the MCA-8 multi-sensor gas sensor signal recorder makes it possible to distinguish perfectly from sick brood with varroosis from the healthy brood and it also distinguishes an empty chamber from brood samples.
- The semiconductor sensor matrix used in the device makes it possible to differentiate V. destructor invasion levels in samples of the sick brood.
Author Contributions
Funding
Acknowledgments
Conflicts of Interest
References
- Carroll, M.J.; Duehl, A.J. Collection of volatiles from honeybee larvae and adults enclosed on brood frames. Apidologie 2012, 43, 715–730. [Google Scholar] [CrossRef]
- Methods of Air Sampling and Analysis—James P. Lodge, Jr.—Google Książki. Available online: https://books.google.pl/books?hl=pl&lr=&id=GClzU2-Rj18C&oi=fnd&pg=PR9&dq=Methods+of+Air+Sampling+and+Analysis.+Lewis+Publishers&ots=TQqmp2RKo9&sig=aRrNKtLe_4Rhn-4_hleD5S6_jpk&redir_esc=y#v=onepage&q=Methods of Air Sampling and Analysis. Lewis Publishers&f=false (accessed on 29 June 2020).
- Gardner, J.W.; Bartlett, P.N. A Brief History of Electronic Noses. Sens. Actuator B-Chem. 1994, 18, 210–211. [Google Scholar] [CrossRef]
- Zhang, J.; Qin, Z.; Zeng, D.; Xie, C. Metal-oxide-semiconductor based gas sensors: Screening, preparation, and integration. Phys. Chem. Chem. Phys. 2017, 19, 6313–6329. [Google Scholar] [CrossRef] [PubMed]
- Szczurek, A.; Maciejewska, M.; Bąk, B.; Wilk, J.; Wilde, J.; Siuda, M. Gas Sensor Array and Classifiers as a Means of Varroosis Detection. Sensors 2019, 20, 117. [Google Scholar] [CrossRef]
- Szczurek, A.; Maciejewska, M.; Bąk, B.; Wilk, J.; Wilde, J.; Siuda, M. Detecting varroosis using a gas sensor system as a way to face the environmental threat. Sci. Total Environ. 2020, 722, 137866. [Google Scholar] [CrossRef]
- Gancarz, M.; Nawrocka, A.; Rusinek, R. Identification of Volatile Organic Compounds and Their Concentrations Using a Novel Method Analysis of MOS Sensors Signal. J. Food Sci. 2019, 84, 2077–2085. [Google Scholar] [CrossRef]
- Rusinek, R.; Jelen, H.; Malaga-Tobola, U.; Molenda, M.; Gancarz, M. Influence of changes in the level of volatile compounds emitted during rapeseed quality degradation on the reaction of MOS type sensor-Array. Sensors 2020, 20, 3135. [Google Scholar] [CrossRef]
- Gas Sensors/FIGARO Engineering Inc. World Leader in Gassensing Innovation. Available online: https://www.figarosensor.com/ (accessed on 1 July 2020).
- Kim, J.H.; Mirzaei, A.; Kim, H.W.; Kim, H.J.; Vuong, P.Q.; Kim, S.S. A novel X-ray radiation sensor based on networked SnO2 nanowires. Appl. Sci. 2019, 9, 4878. [Google Scholar] [CrossRef]
- Liu, H.; Zhu, W.; Han, Y.; Yang, Z.; Huang, Y. Single-Nanowire fuse for ionization gas detection. Sensors 2019, 19, 4358. [Google Scholar] [CrossRef]
- Tonezzer, M. Selective gas sensor based on one single SnO2 nanowire. Sens. Actuators B Chem. 2019, 288, 53–59. [Google Scholar] [CrossRef]
- Sweelssen, J.; Blokland, H.; Rajamäki, T.; Sarjonen, R.; Boersma, A. A versatile capacitive sensing platform for the assessment of the composition in gas mixtures. Micromachines 2020, 11, 116. [Google Scholar] [CrossRef] [PubMed]
- Ryabtsev, S.V.; Shaposhnick, A.V.; Lukin, A.N.; Domashevskaya, E.P. Application of semiconductor gas sensors for medical diagnostics. Sens. Actuators B Chem. 1999, 59, 26–29. [Google Scholar] [CrossRef]
- Wilson, A.D. Applications of Electronic-Nose Technologies for Noninvasive Early Detection of Plant, Animal and Human Diseases. Chemosensors 2018, 6, 45. [Google Scholar] [CrossRef]
- Ghaffari, R.; Zhang, F.; Iliescu, D.; Hines, E.; Leeson, M.; Napier, R.; Clarkson, J. Early Detection of Diseases in Tomato Crops: An Electronic Nose and Intelligent Systems Approach. In Proceedings of the 2010 International Joint Conference on Neural Networks, Barcelona, Spain, 18–23 July 2010. [Google Scholar]
- Wilson, A.D.; Lester, D.G.; Oberle, C.S. Development of conductive polymer analysis for the rapid detection and identification of phytopathogenic microbes. Phytopathology 2004, 94, 419–431. [Google Scholar] [CrossRef]
- Rosenkranz, P.; Aumeier, P.; Ziegelmann, B. Biology and control of Varroa destructor. J. Invertebr. Pathol. 2010, 103, S96–S119. [Google Scholar] [CrossRef] [PubMed]
- Dietemann, V.; Nazzi, F.; Martin, S.J.; Anderson, D.L.; Locke, B.; Delaplane, K.S.; Wauquiez, Q.; Tannahill, C.; Frey, E.; Ziegelmann, B.; et al. Standard methods for varroa research. J. Apic. Res. 2013, 52, 1–54. [Google Scholar] [CrossRef]
- Genath, A.; Hofmann, M.; Tiebe, C.; Einspanier, R. Proof-of-Concept trial of the portable electronic nose PEN3 for detection of formic acid concentration in the beehive. GMA/ITG-Fachtagung Sens. Messsyst. 2019, 20, 794–799. [Google Scholar] [CrossRef]
- Szczurek, A.; Maciejewska, M.; Bąk, B.; Wilde, J.; Siuda, M. Semiconductor gas sensor as a detector of Varroa destructor infestation of honey bee colonies—Statistical evaluation. Comput. Electron. Agric. 2019, 162, 405–411. [Google Scholar] [CrossRef]
- Towards an Electronic Nose for American Foulbrood. Available online: https://www.researchgate.net/publication/336936490_Towards_an_electronic_nose_for_American_foulbrood (accessed on 1 July 2020).
- Gochnauer, T.A.; Shearer, D.A. Volatile Acids from Honeybee Larvae Infected with Bacillus Larvae and from a Culture of the Organism. J. Apic. Res. 1981, 20, 104–109. [Google Scholar] [CrossRef]
- Le Conte, Y.; Huang, Z.Y.; Roux, M.; Zeng, Z.J.; Christidès, J.P.; Bagnères, A.G. Varroa destructor changes its cuticular hydrocarbons to mimic new hosts. Biol. Lett. 2015, 11, 233. [Google Scholar] [CrossRef]
- Schöning, C.; Gisder, S.; Geiselhardt, S.; Kretschmann, I.; Bienefeld, K.; Hilker, M.; Genersch, E. Evidence for Damage-Dependent Hygienic Behaviour towards Varroa Destructor-Parasitised Brood in the Western Honey Bee, Apis Mellifera. J. Exp. Biol. 2012, 215, 264–271. [Google Scholar] [CrossRef] [PubMed]
- Bowen-Walker, P.L.; Martin, S.J.; Gunn, A. The Transmission of Deformed Wing Virus between Honeybees (Apis mellifera L.) by the Ectoparasitic Mite Varroa jacobsoni Oud. J. Invertebr. Pathol. 1999, 73, 101–106. [Google Scholar] [CrossRef] [PubMed]
- Martin, C.; Provost, E.; Bagnères, A.G.; Roux, M.; Clément, J.L.; Le Conte, Y. Potential mechanism for detection by Apis mellifera of the parasitic mite Varroa destructor inside sealed brood cells. Physiol. Entomol. 2002, 27, 175–188. [Google Scholar] [CrossRef]
- Nazzi, F.; Brown, S.P.; Annoscia, D.; Del Piccolo, F.; Di Prisco, G.; Varricchio, P.; Della Vedova, G.; Cattonaro, F.; Caprio, E.; Pennacchio, F. Synergistic Parasite-Pathogen Interactions Mediated by Host Immunity Can Drive the Collapse of Honeybee Colonies. PLoS Pathog. 2012, 8, e1002735. [Google Scholar] [CrossRef]
- Casalinuovo, I.; Di Pierro, D.; Coletta, M.; Di Francesco, P. Application of Electronic Noses for Disease Diagnosis and Food Spoilage Detection. Sensors 2006, 6, 1428–1439. [Google Scholar] [CrossRef]
- Gardner, J.W.; Hines, E.L.; Molinier, F.; Bartlett, P.N.; Mottram, T.T. Prediction of health of dairy cattle from breath samples using neural network with parametric model of dynamic response of array of semiconducting gas sensors. IEE Proc. Sci. Meas. Technol. 1999, 146, 102–106. [Google Scholar] [CrossRef]
- Li, S.; Simonian, A.; Chin, B.A. Sensors for agriculture and the food industry. Electrochem. Soc. Interface 2010, 19, 41. [Google Scholar] [CrossRef]
- Polkowski, L.; Artiemjew, P.; Application, A.; Mereology, R. Granular Computing in Decision Approximation; Springer International Publishing: Cham, Switzerland, 2015; Volume 1, ISBN 9783319128795. [Google Scholar]
- Romain, A.C.; Nicolas, J. Long term stability of metal oxide-based gas sensors for e-nose environmental applications: An overview. Sens. Actuators B Chem. 2010, 146, 502–506. [Google Scholar] [CrossRef]
- Laref, R.; Ahmadou, D.; Losson, E.; Siadat, M. Orthogonal Signal Correction to Improve Stability Regression Model in Gas Sensor Systems. J. Sens. 2017, 2017, 9851406. [Google Scholar] [CrossRef]
- Ahmadou, D.; Laref, R.; Losson, E.; Siadat, M. Reduction of Drift Impact in Gas Sensor Response to Improve Quantitative Odor Analysis. In Proceedings of the IEEE International Conference on Industrial Technology, Toronto, ON, Canada, 22–25 March 2017; pp. 928–933. [Google Scholar]













| Sensor | Substances Detected | Detection Range |
|---|---|---|
| TGS 823 | Organic solvent vapours | 50–5000 ppm Ethanol, n-Hexane, Benzene, Acetone |
| TGS 826 | Ammonia | 30–300 ppm Ethanol, Ammonia, Isobutane |
| TGS 832 | Chlorofluorocarbons | 100–3000 ppm R-407c, R-134a, R-410a, R-404a, R-22 |
| TGS 2600 | Gaseous air contaminants | 1 ppm ~ 100 ppm |
| TGS 2602 | VOCs and odorous gases | 1–30 ppm Ethanol, Ammonia, Toluene |
| TGS 2603 | Amine-series and sulfurous odour gases | 1–30 ppm Ethanol 0.1–3 ppm Trimethylamine, 0.3–2 ppm Methyl mercaptan |
| Subclass of Infested Brood | Level of Brood Infestation with the V. destructor (min.–max.) | No. of Tests in a Class | The Average Level of Brood Infestation with the V. destructor in a Subclass |
|---|---|---|---|
| 2.1 | 8.8–23 | 7 | 14.7 |
| 2.2 | 26.1–61.7 | 12 | 33.9 |
| All Sensors—Readings from a 270-s of Sample (1st Variant) | All Sensors—Readings from a 270-s of Sample with Baseline Correction (2nd Variant) | TGS 2603—Readings from a 270-s of Sample (1st Variant) | TGS 2603—Readings from a 270-s of Sample with Baseline Correction (2nd Variant) | |
|---|---|---|---|---|
| Global accuracy | 0.796 | 0.832 | 0.741 | 0.841 |
| Balanced accuracy | 0.757 | 0.834 | 0.717 | 0.804 |
| TPR for empty chamber | 0.908 | 0.836 | 1 | 0.802 |
| TPR for diseased brood | 0.772 | 0.920 | 0.7 | 0.93 |
| TPR for healthy sealed brood | 0.768 | 0.640 | 0.48 | 0.77 |
| classifier | accglobal | coυgloball | acc1 | acc2 | acc3 | accbalanced | tpr1 | tpr2 | tpr3 | |
|---|---|---|---|---|---|---|---|---|---|---|
| canberra.1nn | 0.7824 | 1 | 0.711304 | 0.913432 | 0.609908 | 0.74488 | 0.956568 | 0.79886 | 0.614528 | |
| canberra.2nn | 0.8176 | 1 | 0.712872 | 0.986208 | 0.56858 | 0.75588 | 0.974 | 0.790356 | 0.761332 | |
| canberra.3nn | 0.7824 | 1 | 0.647612 | 0.994284 | 0.500572 | 0.714156 | 0.974 | 0.748012 | 0.786668 | |
| canberra.811 | 0.7216 | 1 | 0.509304 | 0.977144 | 0.375619 | 0.620692 | 0.947616 | 0.705676 | 0.621112 | |
| eps = 0.01.nb | 0.6368 | 1 | 0.321304 | 0.906196 | 0.525808 | 058444 | 0.698668 | 0.73586 | 0.39269 | |
| euclidean.1nn | 0.8096 | 1 | 0.774256 | 0.90938 | 0.631336 | 0.771656 | 0.90152 | 0.837768 | 0.668196 | |
| euclidean.2nn | 0.8448 | 1 | 0.785164 | 0.954388 | 0.658004 | 0.799188 | 0.931236 | 0.837412 | 0.758 | |
| euclidean.3nn | 0.8016 | 1 | 0.719504 | 0.94026 | 0.625244 | 0.761672 | 0.930284 | 0.803216 | 0.729576 | |
| euclidean.811 | 0.7152 | 1 | 0.604248 | 0.888168 | 0.435808 | 0.642748 | 0.987616 | 0.74638 | 0.392164 | |
| manhattan.1nn | 0.8016 | 1 | 0.743364 | 0.908716 | 0.638004 | 0.76336 | 0.90852 | 0.833928 | 0.654956 | |
| manhattan.2nn | 0.848 | 1 | 0.758748 | 0.97878 | 0.650004 | 0.79584 | 0.929568 | 0.825692 | 0.846668 | |
| manhattan.3nn | 0.8128 | 1 | 0.710864 | 0.981856 | 0.581908 | 0.758212 | 0.929568 | 0.797872 | 0.839272 | |
| manhattan.811 | 0.7184 | 1 | 0.581612 | 0.913288 | 0.412096 | 0.635672 | 0.970616 | 0.755184 | 0.371046 | |
| nb.num | 0.6224 | 1 | 0.329988 | 0.991788 | 0.156762 | 0.492844 | 0.716668 | 0.636364 | 0.402668 | |
| rand | 0.3184 | 1 | 0.281342 | 0.345918 | 0.29019 | 0.305817 | 0.261002 | 0.511516 | 0.171499 | |
| Classifier | accglobal | coυgloball | acc1 | acc2 | acc3 | accbalanced | tpr1 | tpr2 | tpr3 |
|---|---|---|---|---|---|---|---|---|---|
| canberra.1nn | 0.8528 | 1 | 0.80596 | 0.945716 | 0.664336 | 0.7833 | 0.864648 | 0.929936 | 0.673572 |
| canberra.2nn | 0.8864 | 1 | 0.814692 | 1 | 0.707 | 0.815376 | 0.89498 | 0.907884 | 0.794188 |
| canberra.3nn | 0.8672 | 1 | 0.783388 | 1 | 0.676192 | 0.794668 | 0.90344 | 0.869868 | 0.731904 |
| canberra.811 | 0.8256 | 1 | 0.619796 | 1 | 0.679288 | 0.74266 | 0.900808 | 0.804208 | 0.823616 |
| eps = 0.01.nb | 0.6864 | 1 | 0.498604 | 0.942092 | 0.379094 | 0.59002 | 0.751052 | 0.76514 | 0.431428 |
| euclidean.1nn | 0.8256 | 1 | 0.7232 | 0.934164 | 0.683384 | 0.757568 | 0.858104 | 0.892904 | 0.667568 |
| euclidean.2nn | 0.8688 | 1 | 0.7455 | 0.994668 | 0.734756 | 0.801268 | 0.89522 | 0.880092 | 0.767904 |
| euclidean.3nn | 0.848 | 1 | 0.663796 | 0.992 | 0.764048 | 0.782908 | 0.901028 | 0.838332 | 0.823616 |
| euclidean.811 | 0.8448 | 1 | 0.65046 | 0.982416 | 0.76976 | 0.78014 | 0.84214 | 0.8386 | 0.8179 |
| manhattan.1nn | 0.8384 | 1 | 0.758692 | 0.943732 | 0.670048 | 0.76814 | 0.865092 | 0.90228 | 0.68076 |
| manhattan.2nn | 0.8848 | 1 | 0.768216 | 1 | 0.749756 | 0.81414 | 0.912312 | 0.885328 | 0.8179 |
| manhattan.3nn | 0.8656 | 1 | 0.714976 | 0.994668 | 0.758332 | 0.798956 | 0.901996 | 0.856032 | 0.816948 |
| manhattan.811 | 0.8752 | 1 | 0.7293 | 0.991208 | 0.76976 | 0.806384 | 0.90676 | 0.87358 | 0.8179 |
| nb.num | 0.7872 | 1 | 0.869284 | 0.996924 | 0.140524 | 0.643728 | 0.873172 | 0.752716 | 0.54 |
| rand | 0.3264 | 1 | 0.276385 | 0.344204 | 0.316046 | 0.305917 | 0.282144 | 0.488192 | 0.205373 |
| Classifier | accglobal | coυgloball | acc1 | acc2 | acc3 | accbalanced | tpr1 | tpr2 | tpr3 |
|---|---|---|---|---|---|---|---|---|---|
| canberra.1nn | 0.726152 | 1 | 0.915344 | 0.76624 | 0.345143 | 0.675584 | 0.952228 | 0.749216 | 0.308132 |
| canberra.2nn | 0.75384 | 1 | 0.903008 | 0.862684 | 0.258667 | 0.674788 | 1 | 0.732404 | 0.265 |
| canberra.3nn | 0.747696 | 1 | 0.863632 | 0.86914 | 0.279667 | 0.670808 | 1 | 0.736044 | 0.304096 |
| canberra.811 | 0.647688 | 1 | 0.62268 | 0.784052 | 0.308619 | 0.57178 | 1 | 0.651632 | 0.23719 |
| eps = 0.01.nb | 0.546152 | 1 | 0.347176 | 0.669696 | 0.615952 | 0.544276 | 0.86956 | 0.792708 | 0.238138 |
| euclidean.1nn | 0.727692 | 1 | 0.920344 | 0.76624 | 0.345143 | 0.677248 | 0.952228 | 0.749216 | 0.308132 |
| euclidean.2nn | 0.75538 | 1 | 0.906344 | 0.862684 | 0.258667 | 0.6759 | 1 | 0.733736 | 0.265 |
| euclidean.3nn | 0.750776 | 1 | 0.870964 | 0.86914 | 0.279667 | 0.673256 | 1 | 0.73876 | 0.304096 |
| euclidean.811 | 0.698464 | 1 | 0.7363 | 0.81532 | 0.308238 | 0.619952 | 1 | 0.691932 | 0.225978 |
| manhattan.1nn | 0.727692 | 1 | 0.920344 | 0.76624 | 0.345143 | 0.677248 | 0.952228 | 0.749216 | 0.308132 |
| manhattan.2nn | 0.755384 | 1 | 0.910344 | 0.857728 | 0.258667 | 0.67558 | 1 | 0.738016 | 0.248413 |
| manhattan.3nn | 0.756924 | 1 | 0.878964 | 0.877744 | 0.263667 | 0.673456 | 1 | 0.742204 | 0.298868 |
| manhattan.811 | 0.747696 | 1 | 0.863632 | 0.86914 | 0.279667 | 0.670808 | 1 | 0.691932 | 0.225978 |
| nb.num | 0.746156 | 1 | 0.875676 | 0.884952 | 0.182666 | 0.64776 | 0.9439 | 0.73978 | 0.242222 |
| rand | 0.34 | 1 | 0.34553 | 0.316154 | 0.358714 | 0.340133 | 0.328887 | 0.501964 | 0.18367 |
| Classifier | accglobal | coυgloball | acc1 | acc2 | acc3 | accbalanced | tpr1 | tpr2 | tpr3 | |
|---|---|---|---|---|---|---|---|---|---|---|
| canberra.1nn | 0.7408 | 1 | 0.515272 | 0.8687 | 0.720004 | 0.70132 | 0.602328 | 0.866416 | 0.622672 | |
| canberra.2nn | 0.8016 | 1 | 0.548208 | 0.978312 | 0.696096 | 0.740876 | 0.74722 | 0.862592 | 0.658144 | |
| canberra.3nn | 0.8064 | 1 | 0.570096 | 0.99498 | 0.665144 | 0.743408 | 0.84676 | 0.818036 | 0.658856 | |
| canberra.811 | 0.7936 | 1 | 0.475428 | 1 | 0.683432 | 0.71962 | 0.840288 | 0.790696 | 0.707716 | |
| eps = 0.01.nb | 0.528 | 1 | 0.17146 | 0.588388 | 0.872188 | 0.544016 | 0.576668 | 0.892868 | 0.29373 | |
| euclidean.1nn | 0.744 | 1 | 0.559208 | 0.863172 | 0.700576 | 0.707656 | 0.605824 | 0.871332 | 0.661072 | |
| euclidean.2nn | 0.8512 | 1 | 0.712128 | 0.975644 | 0.723716 | 0.803828 | 0.79926 | 0.866788 | 0.88362 | |
| euclidean.3nn | 0.848 | 1 | 0.720064 | 0.98208 | 0.699432 | 0.80052 | 0.856332 | 0.838548 | 0.809336 | |
| euclidean.811 | 0.8512 | 1 | 0.708004 | 0.97272 | 0.723428 | 0.80138 | 0.816 | 0.852464 | 0.876952 | |
| manhattan.1nn | 0.744 | 1 | 0.559208 | 0.863172 | 0.700576 | 0.707656 | 0.605824 | 0.871332 | 0.661072 | |
| manhattan.2nn | 0.8464 | 1 | 0.707128 | 0.967604 | 0.721912 | 0.79888 | 0. 779404 | 0.866348 | 0.87362 | |
| manhattan.3nn | 0.856 | 1 | 0.717844 | 0.979224 | 0.733716 | 0.81026 | 0.82246 | 0.859196 | 0.889336 | |
| manhattan.811 | 0.8512 | 1 | 0.708004 | 0.97272 | 0.723428 | 0.80138 | 0.816 | 0.852464 | 0.876952 | |
| nb.num | 0.8592 | 1 | 0.747684 | 0.947908 | 0.77038 | 0.821988 | 0.824248 | 0.884232 | 0.838288 | |
| rand | 0.3536 | 1 | 0.369 | 0.345975 | 0.338476 | 0.351151 | 0.284929 | 0.571436 | 0.232509 | |
© 2020 by the authors. Licensee MDPI, Basel, Switzerland. This article is an open access article distributed under the terms and conditions of the Creative Commons Attribution (CC BY) license (http://creativecommons.org/licenses/by/4.0/).
Share and Cite
Bąk, B.; Wilk, J.; Artiemjew, P.; Wilde, J.; Siuda, M. Diagnosis of Varroosis Based on Bee Brood Samples Testing with Use of Semiconductor Gas Sensors. Sensors 2020, 20, 4014. https://doi.org/10.3390/s20144014
Bąk B, Wilk J, Artiemjew P, Wilde J, Siuda M. Diagnosis of Varroosis Based on Bee Brood Samples Testing with Use of Semiconductor Gas Sensors. Sensors. 2020; 20(14):4014. https://doi.org/10.3390/s20144014
Chicago/Turabian StyleBąk, Beata, Jakub Wilk, Piotr Artiemjew, Jerzy Wilde, and Maciej Siuda. 2020. "Diagnosis of Varroosis Based on Bee Brood Samples Testing with Use of Semiconductor Gas Sensors" Sensors 20, no. 14: 4014. https://doi.org/10.3390/s20144014
APA StyleBąk, B., Wilk, J., Artiemjew, P., Wilde, J., & Siuda, M. (2020). Diagnosis of Varroosis Based on Bee Brood Samples Testing with Use of Semiconductor Gas Sensors. Sensors, 20(14), 4014. https://doi.org/10.3390/s20144014

