A Comparative Study of Vaginal Labor and Caesarean Section Postpartum Uterine Myoelectrical Activity
Abstract
1. Introduction
2. Materials and Methods
2.1. Signal Acquisition
2.2. Data Analysis
3. Results
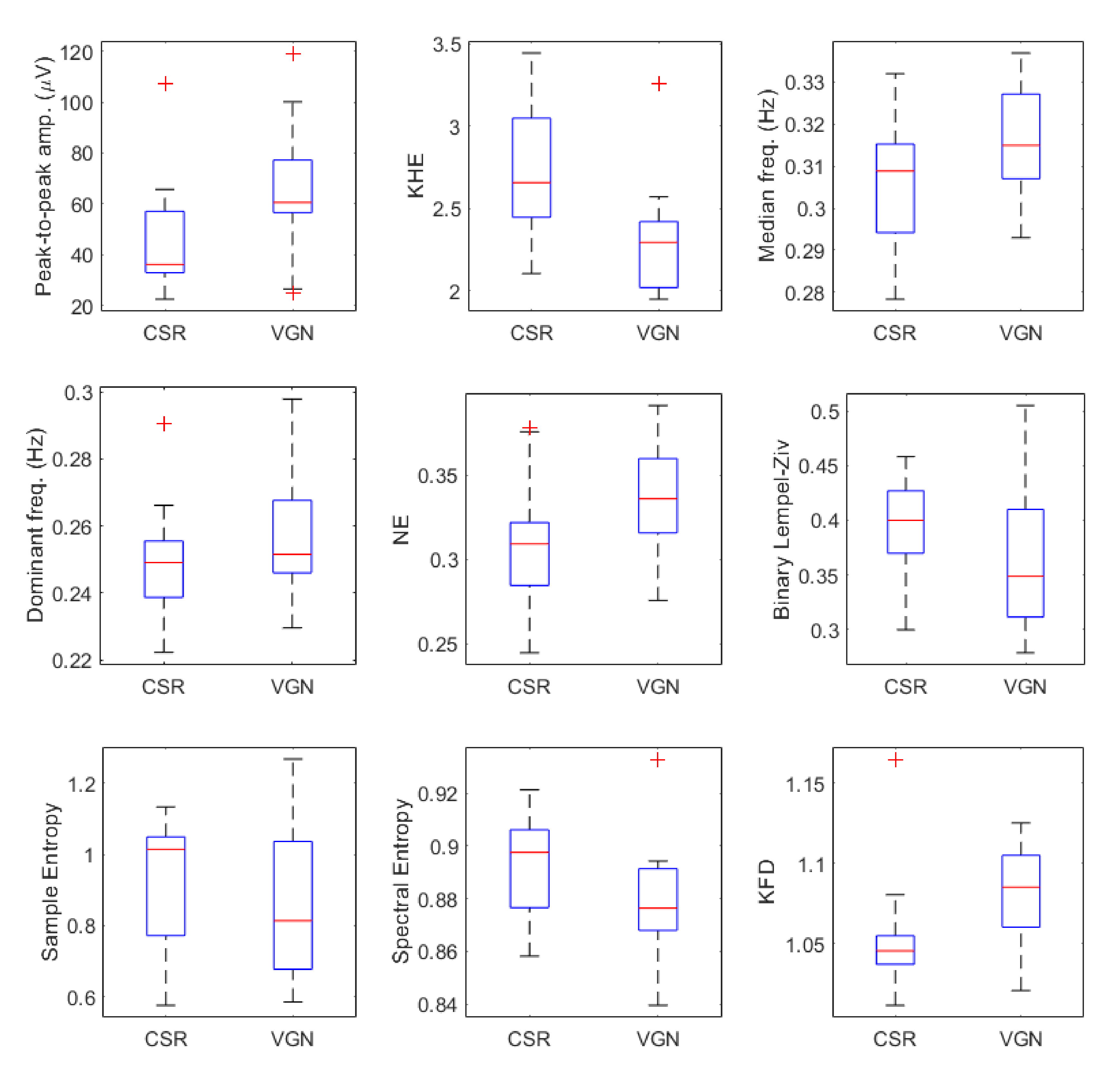
4. Discussion
5. Conclusions
Author Contributions
Funding
Conflicts of Interest
References
- Ngwenya, S. Postpartum hemorrhage: Incidence, risk factors, and outcomes in a low-resource setting. Int. J. Women’s Health 2016, 8, 647–650. [Google Scholar] [CrossRef]
- Carroli, G.; Cuesta, C.; Abalos, E.; Gülmezoglu, A.M. Epidemiology of postpartum haemorrhage: A systematic review. Best Pract. Res. Clin. Obstet. Gynaecol. 2008, 22, 999–1012. [Google Scholar] [CrossRef]
- Zahid. Postpartum Haemorrhage | National Health Portal of India. 2017. Available online: https://www.nhp.gov.in/disease/gynaecology-and-obstetrics/postpartum-haemorrhage (accessed on 16 March 2020).
- World Health Organization. WHO Recommendations Uterotonics for the Prevention of Postpartum Haemorrhage; World Health Organization: Geneva, Switzerland, 2018. [Google Scholar]
- Souza, J.P.; Gülmezoglu, A.M.; Carroli, G.; Lumbiganon, P.; Qureshi, Z. The world health organization multicountry survey on maternal and newborn health: Study protocol. BMC Health Serv. Res. 2011, 11, 286. [Google Scholar] [CrossRef]
- Knight, M.; Callaghan, W.M.; Berg, C.; Alexander, S.; Bouvier-Colle, M.-H.; Ford, J.; Joseph, K.; Lewis, G.; Liston, R.; Roberts, C.L.; et al. Trends in postpartum hemorrhage in high resource countries: A review and recommendations from the International Postpartum Hemorrhage Collaborative Group. BMC Pregnancy Childbirth 2009, 9, 55. [Google Scholar] [CrossRef]
- Callaghan, W.M.; Kuklina, E.V.; Berg, C.J. Trends in postpartum hemorrhage: United States, 1994–2006. Am. J. Obstet. Gynecol. 2010, 202, 353.e1–353.e6. [Google Scholar] [CrossRef] [PubMed]
- Marshall, A.L.; Durani, U.; Bartley, A.; Hagen, C.E.; Ashrani, A.; Rose, C.; Go, R.S.; Pruthi, R.K. The impact of postpartum hemorrhage on hospital length of stay and inpatient mortality: A National Inpatient Sample–based analysis. Am. J. Obstet. Gynecol. 2017, 217, 344.e1–344.e6. [Google Scholar] [CrossRef] [PubMed]
- Vlassoff, M.; Abdalla, A.H.; Gor, V. The Cost to the Health System of Postpartum Hemorrhage in Egypt; Guttmacher Institute: New York, NY, USA, 2016. [Google Scholar]
- Prick, B.W.; Duvekot, J.J.; Van Der Moer, P.E.; Van Gemund, N.; Van Der Salm, P.C.M.; Jansen, A.G.; Van Rhenen, D.J.; Mol, B.W.; Groot, C.A.U.-D. Cost-effectiveness of red blood cell transfusion vs. non-intervention in women with acute anaemia after postpartum haemorrhage. Vox Sang. 2014, 107, 381–388. [Google Scholar] [CrossRef] [PubMed]
- Castiel, D.; Brechat, P.-H.; Benoit, B.; Nguon, B.; Gayat, E.; Soyer, P.; Rymer, R.; Barranger, E. Coût total des actes chirurgicaux dans la prise en charge des hémorragies de la délivrance. Gynécologie Obstétrique & Fertilité 2008, 36, 507–515. [Google Scholar] [CrossRef]
- Fukami, T.; Koga, H.; Goto, M.; Ando, M.; Matsuoka, S.; Tohyama, A.; Yamamoto, H.; Nakamura, S.; Koyanagi, T.; To, Y.; et al. Incidence and risk factors for postpartum hemorrhage among transvaginal deliveries at a tertiary perinatal medical facility in Japan. PLoS ONE 2019, 14, e0208873. [Google Scholar] [CrossRef]
- Vogel, J.P.; Williams, M.; Gallos, I.; Althabe, F.; Oladapo, O.T. WHO recommendations on uterotonics for postpartum haemorrhage prevention: What works, and which one? BMJ Glob. Health 2019, 4, e001466. [Google Scholar] [CrossRef]
- Lutomski, J.; Byrne, B.; DeVane, D.; Greene, R. Increasing trends in atonic postpartum haemorrhage in Ireland: An 11-year population-based cohort study. BJOG: Int. J. Obstet. Gynaecol. 2012, 119, 1150–1151. [Google Scholar] [CrossRef]
- Cunningham, F.G.; Leveno, K.; Bloom, S.; Spong, C.; Dashe, J.; Hoffman, B.; Casey, B. Williams Obstetrics, 24th ed.; McGraw-Hill Education: New York, NY, USA, 2015. [Google Scholar]
- Wilmink, F.; Wilms, F.F.; Heydanus, R.; Mol, B.W.J.; Papatsonis, D.N.M. Fetal complications after placement of an intrauterine pressure catheter: A report of two cases and review of the literature. J. Matern. Neonatal Med. 2008, 21, 880–883. [Google Scholar] [CrossRef] [PubMed]
- Hadar, E.; Biron-Shental, T.; Gavish, O.; Raban, O.; Yogev, Y. A comparison between electrical uterine monitor, tocodynamometer and intra uterine pressure catheter for uterine activity in labor. J. Matern. Neonatal Med. 2014, 28, 1–8. [Google Scholar] [CrossRef] [PubMed]
- Alberola-Rubio, J.; Prats-Boluda, G.; Ye-Lin, Y.; Valero, J.; Perales, A.; Garcia-Casado, J. Comparison of non-invasive electrohysterographic recording techniques for monitoring uterine dynamics. Med. Eng. Phys. 2013, 35, 1736–1743. [Google Scholar] [CrossRef] [PubMed]
- Euliano, T.Y.; Nguyen, M.T.; Darmanjian, S.; McGorray, S.P.; Euliano, N.; Onkala, A.; Gregg, A.R. Monitoring uterine activity during labor: A comparison of 3 methods. Am. J. Obstet. Gynecol. 2012, 208, 66.e1–66.e6. [Google Scholar] [CrossRef] [PubMed]
- Euliano, T.Y.; Nguyen, M.T.; Marossero, D.; Edwards, R. Monitoring Contractions in Obese Parturients. Obstet. Gynecol. 2007, 109, 1136–1140. [Google Scholar] [CrossRef] [PubMed]
- Parra, C.B.; Tendero, A.I.; Ye-Lin, Y.; Alberola-Rubio, J.; Marín, A.P.; Garcia-Casado, J.; Prats-Boluda, G. Feasibility of Labor Induction Success Prediction based on Uterine Myoelectric Activity Spectral Analysis. Biosignals 2018, 4, 70–77. [Google Scholar] [CrossRef]
- Euliano, T.; Skowronski, M.; Marossero, D.; Shuster, J.; Edwards, R. Prediction of intrauterine pressure waveform from transabdominal electrohysterography. J. Matern. Neonatal Med. 2006, 19, 803–808. [Google Scholar] [CrossRef]
- Benalcazar-Parra, C.; Garcia-Casado, J.; Ye-Lin, Y.; Alberola-Rubio, J.; Lopez, A.; Perales-Marin, A.; Prats-Boluda, G.; Perales, A. New electrohysterogram-based estimators of intrauterine pressure signal, tonus and contraction peak for non-invasive labor monitoring. Physiol. Meas. 2019, 40, 085003. [Google Scholar] [CrossRef]
- Rooijakkers, M.J.; Rabotti, C.; Oei, S.G.; Aarts, R.M.; Mischi, M. Low-complexity intrauterine pressure estimation using the Teager energy operator on electrohysterographic recordings. Physiol. Meas. 2014, 35, 1215–1228. [Google Scholar] [CrossRef]
- Schlembach, D.; Maner, W.L.; Garfield, R.E.; Maul, H. Monitoring the progress of pregnancy and labor using electromyography. Eur. J. Obstet. Gynecol. Reprod. Biol. 2009, 144, S33–S39. [Google Scholar] [CrossRef] [PubMed]
- Fele-Žorž, G.; Kavšek, G.; Novak-Antolič, Ž.; Jager, F. A comparison of various linear and non-linear signal processing techniques to separate uterine EMG records of term and pre-term delivery groups. Med. Biol. Eng. 2008, 46, 911–922. [Google Scholar] [CrossRef] [PubMed]
- Hassan, M.; Terrien, J.; Marque, C.; Karlsson, B. Comparison between approximate entropy, correntropy and time reversibility: Application to uterine electromyogram signals. Med. Eng. Phys. 2011, 33, 980–986. [Google Scholar] [CrossRef] [PubMed]
- Mas-Cabo, J.; Prats-Boluda, G.; Perales, A.; Garcia-Casado, J.; Alberola-Rubio, J.; Ye-Lin, Y. Uterine electromyography for discrimination of labor imminence in women with threatened preterm labor under tocolytic treatment. Med. Biol. Eng. 2019, 57, 401–411. [Google Scholar] [CrossRef] [PubMed]
- Lemancewicz, A.; Borowska, M.; Kuć, P.; Jasińska, E.; Laudanski, P.; Laudański, T.; Oczeretko, E. Early diagnosis of threatened premature labor by electrohysterographic recordings—The use of digital signal processing. Biocybern. Biomed. Eng. 2016, 36, 302–307. [Google Scholar] [CrossRef]
- Vrhovec, J.; Macek, A.; Rudel, D. Evaluating the Progress of the Labour with Sample Entropy Calculated from the Uterine EMG Activity. IFMBE Proc. 2007, 16, 144–147. [Google Scholar] [CrossRef]
- Acharya, U.R.; Sudarshan, V.K.; Rong, S.Q.; Tan, Z.; Lim, C.M.; Koh, J.E.; Nayak, S.; Bhandary, S.; Min, L.C. Automated detection of premature delivery using empirical mode and wavelet packet decomposition techniques with uterine electromyogram signals. Comput. Biol. Med. 2017, 85, 33–42. [Google Scholar] [CrossRef]
- Mas-Cabo, J.; Prats-Boluda, G.; Garcia-Casado, J.; Alberola-Rubio, J.; Perales, A.; Ye-Lin, Y. Design and Assessment of a Robust and Generalizable Expert System for the Prediction of Premature Birth by Means of Multi-Channel Electrohysterographic Records. Hindawi J. Sens. 2019, 2019. [Google Scholar] [CrossRef]
- Fergus, P.; Cheung, P.; Hussain, A.; Al-Jumeily, D.; Dobbins, C.; Iram, S. Prediction of Preterm Deliveries from EHG Signals Using Machine Learning. PLoS ONE 2013, 8, e77154. [Google Scholar] [CrossRef]
- Ren, P.; Yao, S.; Li, J.; Valdes-Sosa, P.A.; Kendrick, K.M. Improved Prediction of Preterm Delivery Using Empirical Mode Decomposition Analysis of Uterine Electromyography Signals. PLoS ONE 2015, 10, e0132116. [Google Scholar] [CrossRef]
- Benalcazar-Parra, C.; Ye-Lin, Y.; Garcia-Casado, J.; Monfort-Ortiz, R.; Alberola-Rubio, J.; Perales, A.; Prats-Boluda, G. Prediction of Labor Induction Success from the Uterine Electrohysterogram. Hindawi J. Sens. 2019, 2019. [Google Scholar] [CrossRef]
- Sammali, F.; Kuijsters, N.P.M.; Schoot, B.C.; Mischi, M.; Rabotti, C. Feasibility of Transabdominal Electrohysterography for Analysis of Uterine Activity in Nonpregnant Women. Reprod. Sci. 2018, 25, 1124–1133. [Google Scholar] [CrossRef] [PubMed]
- Ye-Lin, Y.; Bueno-Barrachina, J.; Prats-Boluda, G.; De Sanabria, R.R.; Garcia-Casado, J. Wireless sensor node for non-invasive high precision electrocardiographic signal acquisition based on a multi-ring electrode. Measurement 2017, 97, 195–202. [Google Scholar] [CrossRef]
- Maul, H.; Maner, W.; Olson, G.; Saade, G.; Garfield, R. Non-invasive transabdominal uterine electromyography correlates with the strength of intrauterine pressure and is predictive of labor and delivery. J. Matern. Neonatal Med. 2004, 15, 297–301. [Google Scholar] [CrossRef]
- Shukla, S.; Singh, S.K.; Mitra, D. An efficient heart sound segmentation approach using kurtosis and zero frequency filter features. Biomed. Signal Process. Control 2020, 57, 101762. [Google Scholar] [CrossRef]
- Ye-Lin, Y.; Alberola-Rubio, J.; Prats-Boluda, G.; Perales, A.; DeSantes, D.; Garcia-Casado, J. Feasibility and Analysis of Bipolar Concentric Recording of Electrohysterogram with Flexible Active Electrode. Ann. Biomed. Eng. 2015, 43, 968–976. [Google Scholar] [CrossRef]
- Vrhovec, J.; Maček-Lebar, A.; Rudel, D. Evaluating Uterine Electrohysterogram with Entropy. IFMBE Proc. 2007, 16, 144–147. [Google Scholar]
- Zhang, X.-S.; Roy, R.; Jensen, E. EEG complexity as a measure of depth of anesthesia for patients. IEEE Trans. Biomed. Eng. 2001, 48, 1424–1433. [Google Scholar] [CrossRef]
- Aboy, M.; Hornero, R.; Abásolo, D.; Álvarez, D. Interpretation of the Lempel-Ziv Complexity Measure in the Context of Biomedical Signal Analysis. IEEE Trans. Biomed. Eng. 2006, 53, 2282–2288. [Google Scholar] [CrossRef]
- Katz, M.J. Fractals and the analysis of waveforms. Comput. Biol. Med. 1988, 18, 145–156. [Google Scholar] [CrossRef]
- De Lau, H.; Yang, K.T.; Rabotti, C.; Vlemminx, M.; Bajlekov, G.; Mischi, M.; Oei, S.G. Toward a new modality for detecting a uterine rupture: Electrohysterogram propagation analysis during trial of labor after cesarean. J. Matern. Neonatal Med. 2017, 30, 574–579. [Google Scholar] [CrossRef] [PubMed][Green Version]
- Terrien, J.; Marque, C.; Karlsson, B. Spectral characterization of human EHG frequency components based on the extraction and reconstruction of the ridges in the scalogram. In Proceedings of the Annual International Conference of the IEEE Engineering in Medicine and Biology, Lyon, France, 23–26 August 2007; pp. 1872–1875. [Google Scholar]
- Benalcazar-Parra, C.; Ye-Lin, Y.; Garcia-Casado, J.; Monfort-Ortiz, R.; Alberola-Rubio, J.; Perales, A.; Prats-Boluda, G. Electrohysterographic characterization of the uterine myoelectrical response to labor induction drugs. Med. Eng. Phys. 2018, 56, 27–35. [Google Scholar] [CrossRef] [PubMed]
- Garcia-Casado, J.; Ye-Lin, Y.; Prats-Boluda, G.; Mas-Cabo, J.; Alberola-Rubio, J.; Perales, A. Electrohysterography in the diagnosis of preterm birth: A review. Physiol. Meas. 2018, 39, 02TR01. [Google Scholar] [CrossRef] [PubMed]
- Raghavendra, B.S.; Dutt, D.N. Computing Fractal Dimension of Signals using Multiresolution Box-counting Method. Int. J. Inf. Math. Sci. 2010, 6, 55–65. [Google Scholar]
- Fisch, G.S.; Cohen, I.L.; Jenkins, E.C.; Brown, W.T. Screening developmentally disabled male populations for fragile X: The effect of sample size. Am. J. Med. Genet. 1988, 30, 655–663. [Google Scholar] [CrossRef]
- Ellis, P.D. The Essential Guide to Effect Sizes; Cambridge University Press: Cambridge, UK, 2010. [Google Scholar]
- Cohen, J. Statistical Power Analysis for the Behavioral Sciences, 2nd ed.; Lawrence Erlbaum Associates: New York, NY, USA, 1988. [Google Scholar]
- Ye-Lin, Y.; Garcia-Casado, J.; Prats-Boluda, G.; Alberola-Rubio, J.; Perales, A. Automatic Identification of Motion Artifacts in EHG Recording for Robust Analysis of Uterine Contractions. Comput. Math. Methods Med. 2014, 2014, 470786. [Google Scholar] [CrossRef]
- Alberola-Rubio, J.; Garcia-Casado, J.; Prats-Boluda, G.; Ye-Lin, Y.; DeSantes, D.; Valero, J.; Perales, A. Prediction of labor onset type: Spontaneous vs. induced; role of electrohysterography? Comput. Methods Programs Biomed. 2017, 144, 127–133. [Google Scholar] [CrossRef]
- Maner, W.L.; Mackay, L.B.; Saade, G.R.; Garfield, R.E. Characterization of abdominally acquired uterine electrical signals in humans, using a non-linear analytic method. Med. Biol. Eng. 2006, 44, 117–123. [Google Scholar] [CrossRef]
- Marchini, G.; Lagercrantz, H.; Winberg, J.; Uvnäs-Moberg, K. Fetal and maternal plasma levels of gastrin, somatostatin and oxytocin after vaginal delivery and elective cesarean section. Early Hum. Dev. 1988, 18, 73–79. [Google Scholar] [CrossRef]
- Dawood, M.Y.; Wang, C.F.; Gupta, R.; Fuchs, F. Fetal contribution to oxytocin in human labor. Obstet. Gynecol. 1978, 52, 205–209. [Google Scholar]
- Pickering, K.; Gallos, I.D.; Williams, H.; Price, M.J.; Merriel, A.; Lissauer, D.; Tobias, A.; Hofmeyr, G.J.; Coomarasamy, A.; E Roberts, T. Uterotonic Drugs for the Prevention of Postpartum Haemorrhage: A Cost-Effectiveness Analysis. PharmacoEconomics-Open 2019, 3, 163–176. [Google Scholar] [CrossRef] [PubMed]
- Morfaw, F.L.-I.; Fundoh, M.; Pisoh, C.; Ayaba, B.; Mbuagbaw, L.; Anderson, L.N.; Thabane, L. Misoprostol as an adjunct to oxytocin can reduce postpartum-haemorrhage: A propensity score-matched retrospective chart review in Bamenda-Cameroon, 2015–2016. BMC Pregnancy Childbirth 2019, 19, 257. [Google Scholar] [CrossRef] [PubMed]
- Grotegut, C.; Paglia, M.J.; Johnson, L.N.; Thames, B.; James, A.H. Oxytocin exposure during labor among women with postpartum hemorrhage secondary to uterine atony. Am. J. Obstet. Gynecol. 2011, 204, 56.e1–56.e6. [Google Scholar] [CrossRef] [PubMed]
- Shen, Y.; Oda, T.; Tamura, N.; Kohmura-Kobayashi, Y.; Furuta-Isomura, N.; Yaguchi, C.; Uchida, T.; Suzuki, K.; Itoh, H.; Kanayama, N. Elevated bradykinin receptor type 1 expression in postpartum acute myometritis: Possible involvement in augmented interstitial edema of the atonic gravid uterus. J. Obstet. Gynaecol. Res. 2019, 45, 1553–1561. [Google Scholar] [CrossRef]
- Asturizaga, D.P.; Jaldin, D.L.T. Hemorragia obstétrica. Rev. Med. La Paz 2014, 20, 57–68. [Google Scholar]



| CSR (μ ± σ) | VGN (μ ± σ) | |
|---|---|---|
| Maternal age (years) | 32.80 ± 5.70 | 33.92 ± 7.95 |
| BMI (Kg/m2) | 28.40 ± 4.90 | 27.52 ± 4.10 |
| Parity | 0.05 ± 0.22 | 0.23 ± 0.44 |
| Previous caesarean | 0.45 ± 0.51 | 0.00 ± 0.00 |
| Fetal weight (g) | 3279 ± 386 | 3326 ± 365 |
| ΔHb (g/dL) | −1.14 ± 0.94 | −1.43 ± 1.25 |
| ΔHematocrit (%) | −3.94 ± 2.77 | −3.39 ± 4.22 |
| ΔCF (bpm) | 3.85 ± 13.68 | −0.54 ± 8.36 |
| ΔSAP (mmHg) | −18.15 ± 20.12 | −4.31 ± 15.33 |
| ΔDAP (mmHg) | −5.30 ± 11.36 | −2.23 ± 17.54 |
| ΔS02 (%) | 0.00 ± 2.12 | 0.70 ± 1.57 |
| CSR (μ ± σ) | VGN (μ ± σ) | p-Value | Effect Size | |
|---|---|---|---|---|
| Peak-to-peak amp. (μV) | 45.60 ± 20.78 | 66.44 ± 26.62 | 0.027 | 0.78 ** |
| KHE | 2.71 ± 0.39 | 2.30 ± 0.36 | 0.003 | 1.18 ** |
| Median frequency (Hz) | 0.31 ± 0.02 | 0.32 ± 0.01 | 0.086 | 0.76 ** |
| Dominant frequency (Hz) | 0.25 ± 0.02 | 0.26 ± 0.02 | 0.258 | 0.42 * |
| NE | 0.31 ± 0.04 | 0.34 ± 0.03 | 0.04 | 0.80 ** |
| Binary Lempel-Ziv | 0.39 ± 0.05 | 0.37 ± 0.08 | 0.155 | 0.31 * |
| Sample Entropy | 0.92 ± 0.18 | 0.88 ± 0.23 | 0.451 | 0.19 |
| Spectral Entropy | 0.89 ± 0.02 | 0.88 ± 0.02 | 0.019 | 0.69 ** |
| KFD | 1.05 ± 0.03 | 1.08 ± 0.03 | 0.004 | 1.00 ** |
© 2020 by the authors. Licensee MDPI, Basel, Switzerland. This article is an open access article distributed under the terms and conditions of the Creative Commons Attribution (CC BY) license (http://creativecommons.org/licenses/by/4.0/).
Share and Cite
Diaz-Martinez, A.; Mas-Cabo, J.; Prats-Boluda, G.; Garcia-Casado, J.; Cardona-Urrego, K.; Monfort-Ortiz, R.; Lopez-Corral, A.; De Arriba-Garcia, M.; Perales, A.; Ye-Lin, Y. A Comparative Study of Vaginal Labor and Caesarean Section Postpartum Uterine Myoelectrical Activity. Sensors 2020, 20, 3023. https://doi.org/10.3390/s20113023
Diaz-Martinez A, Mas-Cabo J, Prats-Boluda G, Garcia-Casado J, Cardona-Urrego K, Monfort-Ortiz R, Lopez-Corral A, De Arriba-Garcia M, Perales A, Ye-Lin Y. A Comparative Study of Vaginal Labor and Caesarean Section Postpartum Uterine Myoelectrical Activity. Sensors. 2020; 20(11):3023. https://doi.org/10.3390/s20113023
Chicago/Turabian StyleDiaz-Martinez, Alba, Javier Mas-Cabo, Gema Prats-Boluda, Javier Garcia-Casado, Karen Cardona-Urrego, Rogelio Monfort-Ortiz, Angel Lopez-Corral, Maria De Arriba-Garcia, Alfredo Perales, and Yiyao Ye-Lin. 2020. "A Comparative Study of Vaginal Labor and Caesarean Section Postpartum Uterine Myoelectrical Activity" Sensors 20, no. 11: 3023. https://doi.org/10.3390/s20113023
APA StyleDiaz-Martinez, A., Mas-Cabo, J., Prats-Boluda, G., Garcia-Casado, J., Cardona-Urrego, K., Monfort-Ortiz, R., Lopez-Corral, A., De Arriba-Garcia, M., Perales, A., & Ye-Lin, Y. (2020). A Comparative Study of Vaginal Labor and Caesarean Section Postpartum Uterine Myoelectrical Activity. Sensors, 20(11), 3023. https://doi.org/10.3390/s20113023

