Indoor Radio Map Construction Based on Position Adjustment and Equipment Calibration
Abstract
1. Introduction
2. Related Work
3. Construction of Offline Radio Map
3.1. System Model
3.2. Terminal Equipment Calibration (TEC)
3.3. PDR Estimated Position Adjustment (PEPA)
3.4. Fingerprint Amendment (FA)
4. Experimental and Simulation Results Analysis
4.1. Experiment Setup
4.2. Experimental Results
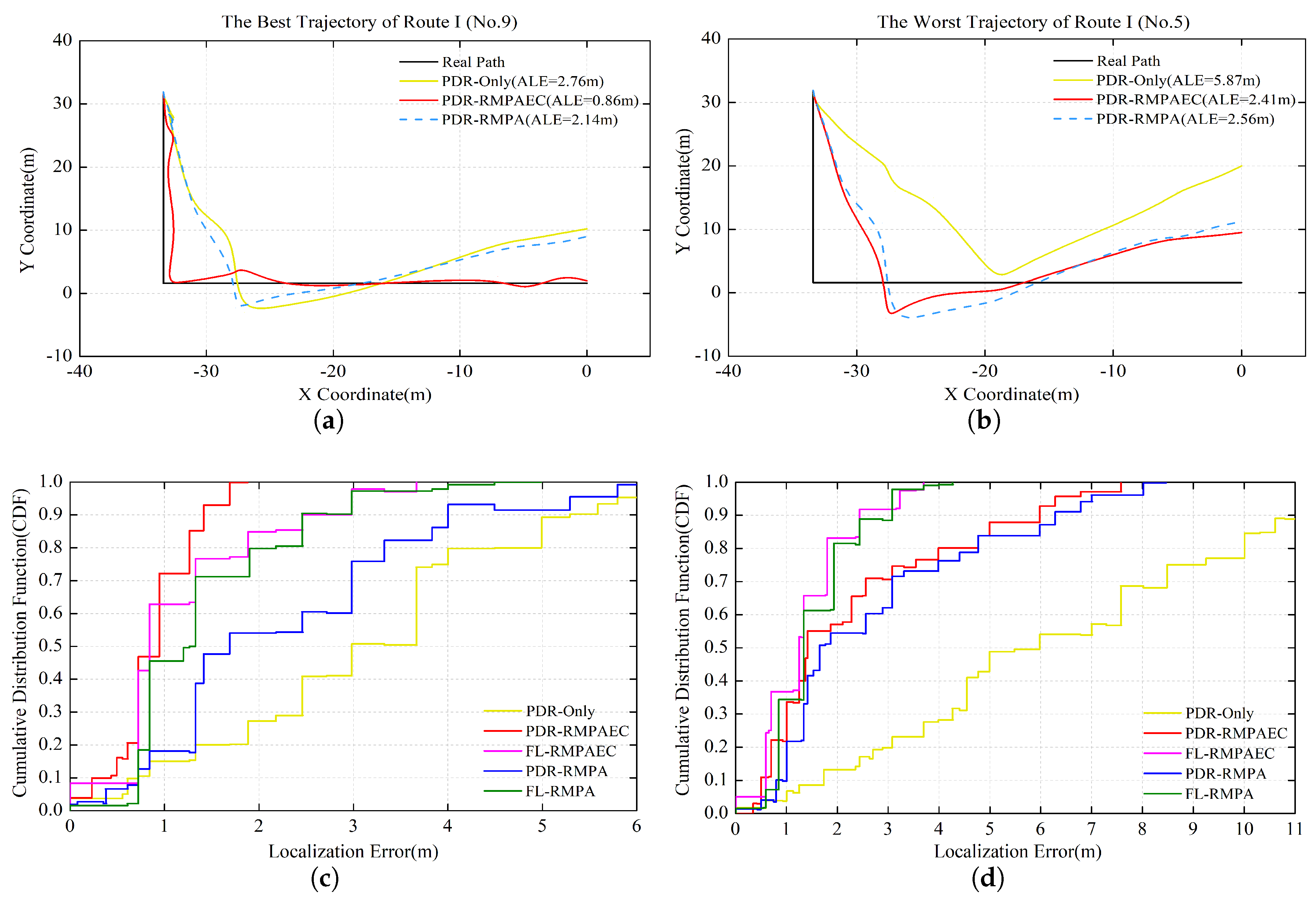
4.2.1. Performance Analysis of PDR Estimated Position Adjustment
4.2.2. Performance Analysis of the Constructed Radio Map
5. Conclusions
Author Contributions
Funding
Acknowledgments
Conflicts of Interest
References
- Kushki, A.; Plataniotis, K.N.; Venetsanopoulos, A.N. Intelligent dynamic radio tracking in indoor wireless local area networks. IEEE Trans. Mob. Comput. 2010, 9, 405–419. [Google Scholar] [CrossRef]
 - Yoo, J.W.; Park, K.H. A cooperative clustering protocol for energy saving of mobile devices with WLAN and Bluetooth interfaces. IEEE Trans. Mob. Comput. 2011, 10, 491–504. [Google Scholar] [CrossRef]
 - Basiri, A.; Lohan, E.S.; Moore, T. Indoor location based services challenges, requirements and usability of current solutions. Comput. Sci. Rev. 2017, 24, 1–12. [Google Scholar] [CrossRef]
 - Chen, Q.; Wang, B. FinCCM: Fingerprint Crowdsourcing, Clustering and Matching for Indoor Subarea Localization. IEEE Wirel. Commun. Lett. 2015, 4, 677–680. [Google Scholar] [CrossRef]
 - Xu, W.; Omar, H.A.; Zhuang, W. Delay Analysis of In-Vehicle Internet Access Via On-Road WiFi Access Points. IEEE Access 2017, 5, 2736–2746. [Google Scholar] [CrossRef]
 - Eckhoff, D.; Wagner, I. Privacy in the Smart City-Applications, Technologies, Challenges and Solutions. IEEE Commun. Surv. Tutor. 2018, 20, 489–516. [Google Scholar] [CrossRef]
 - Ye, J.B.; Li, J.; Newman, M.G. Probabilistic Multigraph Modeling for Improving the Quality of Crowdsourced Affective Data. IEEE Trans. Affect. Comput. 2019, 10. [Google Scholar] [CrossRef]
 - Lashkari, B.; Rezazadeh, J.; Farahbakhsh, R. Crowdsourcing and Sensing for Indoor Localization in IoT: A Review. IEEE Sens. J. 2019, 19, 2408–2434. [Google Scholar] [CrossRef]
 - Hu, M.; Zhong, D.Z.; Niu, Y. Duration-variable Participant Recruitment for Urban Crowdsourcing with Indeterministic Trajectories. IEEE Trans. Veh. Technol. 2017, 66. [Google Scholar] [CrossRef]
 - Chen, Y.F.; Shu, L.; Ortiz, A.M. Locating in Crowdsourcing-Based DataSpace: Wireless Indoor Localization without Special Devices. Mob. Netw. Appl. 2014, 19, 534–542. [Google Scholar] [CrossRef]
 - Pan, M.S.; Lin, H.W. A Step Counting Algorithm for Smartphone Users: Design and Implementation. IEEE Sens. J. 2015, 15, 2296–2305. [Google Scholar] [CrossRef]
 - Kang, W.; Han, Y. SmartPDR: Smartphone-Based Pedestrian Dead Reckoning for Indoor Localization. IEEE Sens. J. 2015, 15, 2906–2916. [Google Scholar] [CrossRef]
 - Hsu, L.T.; Gu, Y.; Huang, Y. Urban Pedestrian Navigation Using Smartphone-Based Dead Reckoning and 3-D Map-Aided GNSS. IEEE Sens. J. 2016, 16, 1281–1293. [Google Scholar] [CrossRef]
 - Zhang, M.; Wen, Y.; Chen, J. Pedestrian Dead-Reckoning Indoor Localization Based on OS-ELM. IEEE Access 2018, 6, 6116–6129. [Google Scholar] [CrossRef]
 - Fourati, H. Heterogeneous Data Fusion Algorithm for Pedestrian Navigation via Foot-Mounted Inertial Measurement Unit and Complementary Filter. IEEE Trans. Instrum. Meas. 2015, 64, 221–229. [Google Scholar] [CrossRef]
 - Perttula, A.; Leppakoski, H.; Kirkko-Jaakkola, M. Distributed Indoor Positioning System with Inertial Measurements and Map Matching. IEEE Trans. Instrum. Meas. 2014, 63, 2682–2695. [Google Scholar] [CrossRef]
 - Tian, X.; Li, W.; Yang, Y.; Zhang, Z.; Wang, X. Optimization of fingerprints reporting strategy for wlan indoor localization. IEEE Trans. Mob. Comput. 2018, 17. [Google Scholar] [CrossRef]
 - Wu, Y.; Zhu, H.B.; Du, Q.X. A Survey of the Research Status of Pedestrian Dead Reckoning Systems Based on Inertial Sensors. Int. J. Autom. Comput. 2019, 16, 65–83. [Google Scholar] [CrossRef]
 - Zhou, M.; Xu, Y.B.; Ma, L. Radio-map establishment based on fuzzy clustering for WLAN hybrid KNN/ANN indoor positioning. China Commun. 2010, 7, 64–80. [Google Scholar]
 - Karlsson, F.; Karlsson, M.; Bo, B. Sensor fused indoor positioning using dual band WiFi signal measurements. In Proceedings of the 2015 European Control Conference (ECC), Linz, Austria, 15–17 July 2015; pp. 1669–1672. [Google Scholar]
 - Tarrío, P.; Besada, J.A.; Casar, J.R. Fusion of RSS and inertial measurements for calibration-free indoor pedestrian tracking. In Proceedings of the 16th International Conference on Information Fusion, Istanbul, Turkey, 9–12 July 2013. [Google Scholar]
 - Chen, Z.; Zou, H.; Jiang, H. Fusion of Wi-Fi, smartphone sensors and landmarks using the Kalman filter for indoor localization. Sensors 2015, 15, 715–732. [Google Scholar] [CrossRef]
 - Li, Y.; Zhuang, Y.; Lan, H. A Hybrid Wi Fi/Magnetic Matching/PDR Approach for Indoor Navigation with Smartphone Sensors. IEEE Commun. Lett. 2016, 20, 169–172. [Google Scholar] [CrossRef]
 - Li, X.; Wang, J.; Liu, C. Integrated Wi-Fi/PDR/Smartphone Using an Adaptive System Noise Extended Kalman Filter Algorithm for Indoor Localization. ISPRS Int. J. Geo-Inf. 2016, 5, 8. [Google Scholar] [CrossRef]
 - Min, S.L.; Ju, H.; Chan, G.P. Map assisted PDR/WiFi fusion for indoor positioning using smartphone. Int. J. Control Autom. Syst. 2017, 15, 627–639. [Google Scholar]
 - Zan, L.; Zhao, Z.; Braun, T. A Real-time Indoor Tracking System in Smartphones. In Proceedings of the 19th ACM International Conference on Modeling Analysis and Simulation of Wireless and Mobile Systems, Valletta, Malta, 13–17 November 2016. [Google Scholar]
 - Li, Z.; Liu, C.; Gao, J. An Improved WiFi/PDR Integrated System Using an Adaptive and Robust Filter for Indoor Localization. ISPRS Int. J. Geo-Inf. 2016, 5, 224. [Google Scholar] [CrossRef]
 - Rai, A.; Chintalapudi, K.K.; Padmanabhan, V.N.; Sen, R. Zee: Zero-effort crowdsourcing for indoor localization. In Proceedings of the 18th Annual International Conference on Mobile Computing and Networking, Istanbul, Turkey, 22–26 August 2012; pp. 293–304. [Google Scholar]
 - Wu, C.; Yang, Z.; Liu, Y. Smartphones based crowdsourcing for indoor localization. IEEE Trans. Mob. Comput. 2015, 14, 444–457. [Google Scholar] [CrossRef]
 - Yang, S.; Dessai, M.V. FreeLoc: Calibration-free crowdsourced indoor localization. In Proceedings of the 2013 Proceedings IEEE INFOCOM, Turin, Italy, 14–19 April 2013. [Google Scholar]
 - Zhou, B.; Li, Q.; Mao, Q.; Tu, W. A robust crowdsourcing-based indoor localization system. Sensors 2017, 17, 864. [Google Scholar] [CrossRef]
 - Ho, K.C.; Sun, M. Passive Source Localization Using Time Differences of Arrival and Gain Ratios of Arrival. IEEE Trans. Signal Process. 2008, 56, 464–477. [Google Scholar] [CrossRef]
 - Pak, J.M.; Ahn, C.K.; Shmaliy, Y.S. Improving Reliability of Particle Filter-Based Localization in Wireless Sensor Networks via Hybrid Particle/FIR Filtering. IEEE Trans. Ind. Inform. 2015, 11, 1089–1098. [Google Scholar] [CrossRef]
 - Bi, H.; Ma, J.; Wang, F. An Improved Particle Filter Algorithm Based on Ensemble Kalman Filter and Markov Chain Monte Carlo Method. IEEE J. Sel. Top. Appl. Earth Obs. Remote Sens. 2015, 8, 447–459. [Google Scholar] [CrossRef]
 - Luo, J.; Qin, S. A Fast Algorithm of Simultaneous Localization and Mapping for Mobile Robot Based on Ball Particle Filter. IEEE Access 2018, 6, 20412–20429. [Google Scholar] [CrossRef]
 - Li, Z.; Braun, T. Passively Track WiFi Users with an Enhanced Particle Filter using Power-based Ranging. IEEE Trans. Wirel. Commun. 2017, 16, 7305–7318. [Google Scholar] [CrossRef]
 - Chen, G.L.; Meng, X.L.; Wang, Y.J. Integrated WiFi/PDR/Smartphone Using an Unscented Kalman Filter Algorithm for 3D Indoor Localization. Sensors 2015, 15, 24595–24614. [Google Scholar] [CrossRef] [PubMed]
 - Fu, X.; Jia, Y. An Improvement on Resampling Algorithm of Particle Filters. IEEE Trans. Signal Process. 2010, 58, 5414–5420. [Google Scholar] [CrossRef]
 - Chen, Y.; Yang, K.; Liu, H.L. Self-Adaptive Multi-Peak Detection Algorithm for FBG Sensing Signal. IEEE Sens. J. 2016, 16, 2658–2665. [Google Scholar] [CrossRef]
 - Weinberg, H. Using the ADXL202 in pedometer and personal navigation applications. In Application Notes American Devices; Analog Devices, Inc.: Norwood, MA, USA, 2002; Volume 2, pp. 1–6. [Google Scholar]
 











| Scheme | Definition | 
|---|---|
| RMPAEC | The proposed scheme that uses the position adjustment and equipment calibration | 
| RMPA | The process that only the position adjustment is applied, not the fingerprint amendment method | 
| PDR-Only | The process that only performs PDR to form the pedestrian track | 
| PDR-RMPAEC | The proposed scheme that performs position adjustment for the tth one by exploiting the intermediate RMPAEC radio map built by the previous tracks | 
| PDR-RMPA | The scheme that performs position adjustment for the tth one by exploiting the intermediate RMPA radio map built by the previous tracks | 
| FL-RMPAEC | The proposed scheme that uses the intermediate RMPAEC radio maps to perform RSS-fingerprinting localization for the step RSS samples on each track | 
| FL-RMPA | The scheme that uses the intermediate RMPA radio maps to perform RSS-fingerprinting localization for the step RSS samples on each track | 
© 2020 by the authors. Licensee MDPI, Basel, Switzerland. This article is an open access article distributed under the terms and conditions of the Creative Commons Attribution (CC BY) license (http://creativecommons.org/licenses/by/4.0/).
Share and Cite
Guo, R.; Qin, D.; Zhao, M.; Wang, X. Indoor Radio Map Construction Based on Position Adjustment and Equipment Calibration. Sensors 2020, 20, 2818. https://doi.org/10.3390/s20102818
Guo R, Qin D, Zhao M, Wang X. Indoor Radio Map Construction Based on Position Adjustment and Equipment Calibration. Sensors. 2020; 20(10):2818. https://doi.org/10.3390/s20102818
Chicago/Turabian StyleGuo, Ruolin, Danyang Qin, Min Zhao, and Xinxin Wang. 2020. "Indoor Radio Map Construction Based on Position Adjustment and Equipment Calibration" Sensors 20, no. 10: 2818. https://doi.org/10.3390/s20102818
APA StyleGuo, R., Qin, D., Zhao, M., & Wang, X. (2020). Indoor Radio Map Construction Based on Position Adjustment and Equipment Calibration. Sensors, 20(10), 2818. https://doi.org/10.3390/s20102818
        
