A Fourier-Based Image Formation Algorithm for Geo-Stationary GNSS-Based Bistatic Forward-Looking Synthetic Aperture Radar
Abstract
:1. Introduction
2. GeoSta-GNSS-BFLSAR Signal Model and Analysis
2.1. GeoSta-GNSS-BFLSAR Echo SignalModel
2.2. GeoSta-GNSS-BFLSAR 2 Dimensional Spectrum
2.3. GeoSta-GNSS-BFLSAR Resolution
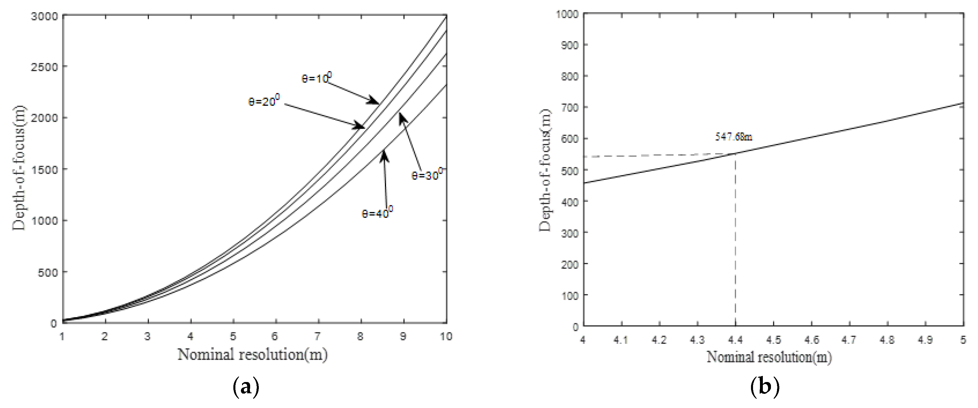
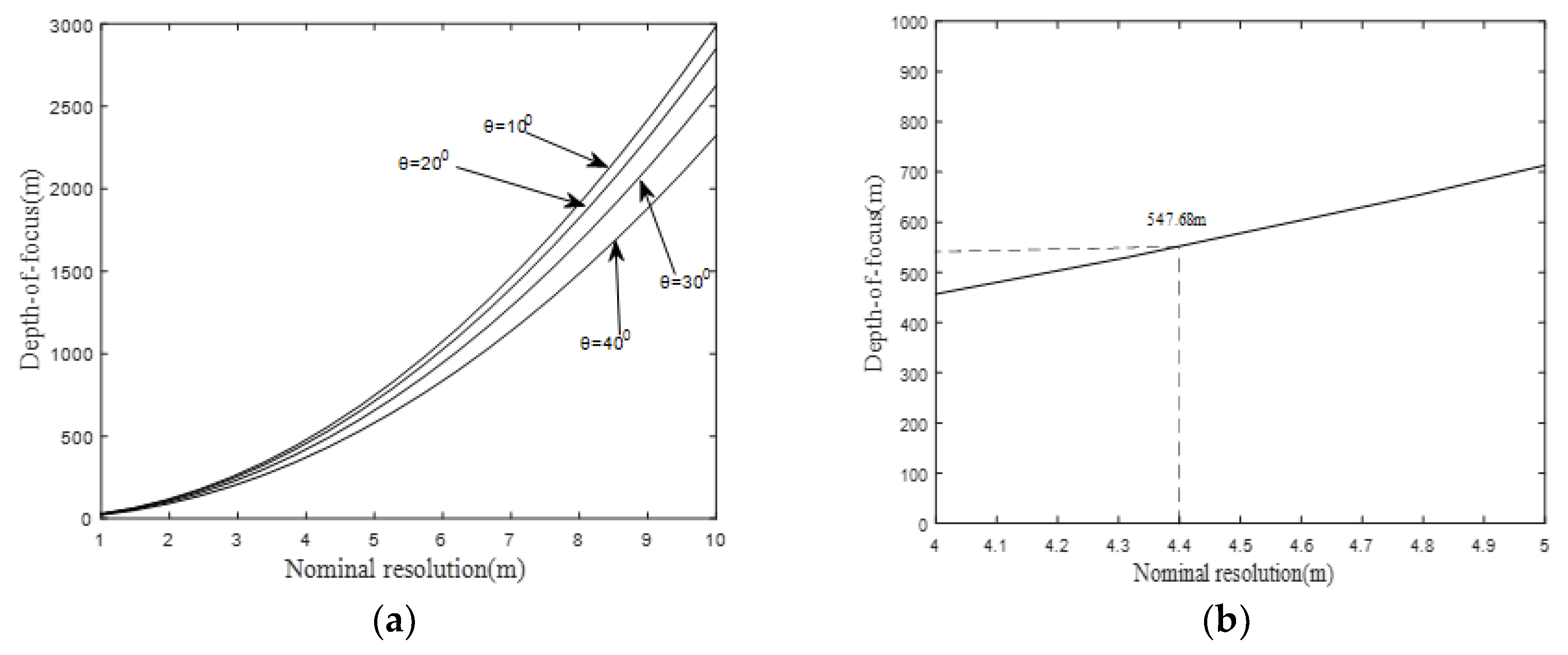
2.4. GeoSta-GNSS-BFLSAR Focusing Depth
3. GeoSta-GNSS-BFLSAR Image Formation
3.1. Range Compression
3.2. Modified Migration Correction
3.3. Two Dimensional Inverse Fourier Transformation
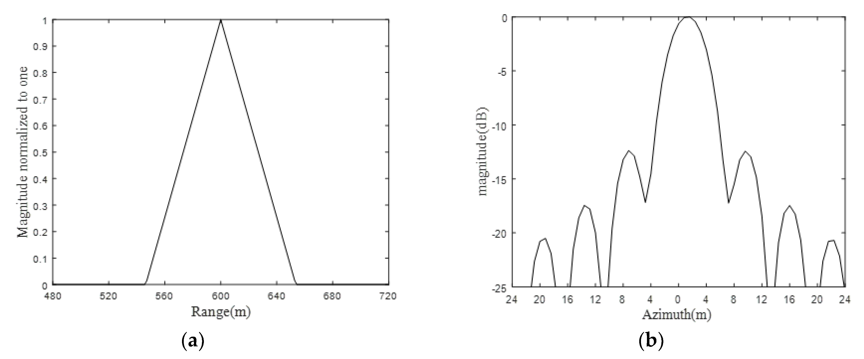
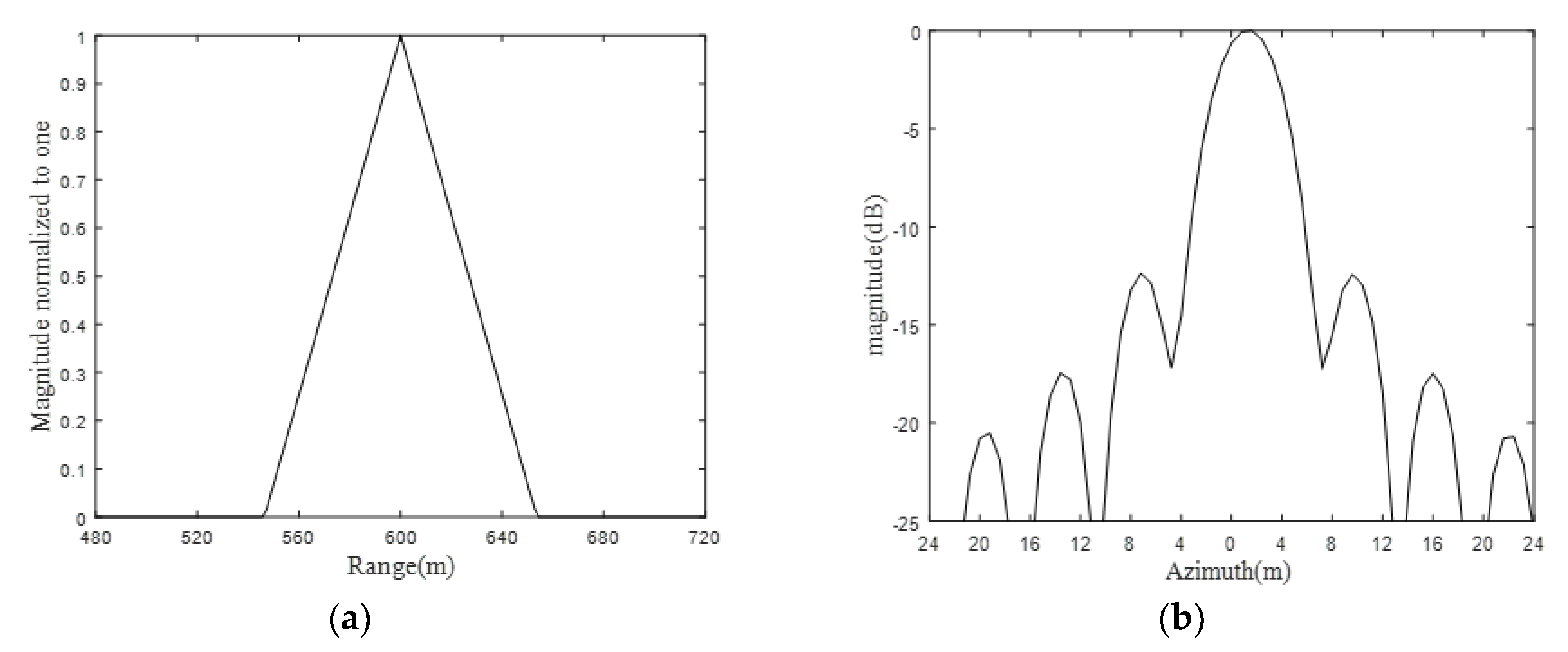
4. Simulation and Discussion
5. Conclusions
Author Contributions
Funding
Conflicts of Interest
References
- Shi, Z.; Zeng, Z.; Zhou, Y.; Liu, W.; Pan, Y.; Lan, T. Point spread function generation method of geo-stationary GNSS based bistatic forward looking SAR. Optik 2019, 179, 189–194. [Google Scholar] [CrossRef]
- Zhou, H.; Antoniou, M.; Zeng, Z.; Zuo, R.; Tan, H.; Guo, J.; Cherniakov, M. Pre-processing for time domain image formation in SS-BSAR system. J. Syst. Eng. Electron. 2012, 23, 875–880. [Google Scholar] [CrossRef]
- He, X.; Zeng, T.; Cherniakov, M. Interference level evaluation in SS-BSAR with GNSS non-cooperative transmitter. Electron. Lett. 2004, 50, 1222–1224. [Google Scholar] [CrossRef]
- He, X.; Zeng, T.; Cherniakov, M. Signal Detecability in SS-BSAR with GNSS non-cooperative transmitter. IEEE Proc. Radar Sonar Navig. 2005, 152, 124–132. [Google Scholar] [CrossRef]
- Saini, R.; Zuo, R.; Cherniakov, M. Problem of signal synchronization in space-surface bistatic synthetic aperture radar based on global navigation satellite emissions–experimental results. IET Radar Sonar Navig. 2010, 4, 110–125. [Google Scholar] [CrossRef]
- Zeng, Z. Generic signal synchronization algorithm for passive global navigation satellite system-based synthetic aperture radar. IET Radar Sonar Navig. 2015, 9, 364–373. [Google Scholar] [CrossRef]
- Wang, W.Q. GPS-based time & phase synchronization processing for distributed SAR. IEEE Trans. Aerosp. Electron. Syst. 2009, 45, 1040–1051. [Google Scholar]
- López-Dekker, P.; Mallorquí, J.J.; Serra-Morales, P.; Sanz-Marcos, J. Phase synchronization and Doppler centroid estimation in fixed receiver bistatic SAR systems. IEEE Trans. Geosci. Remote Sens. 2008, 46, 3459–3471. [Google Scholar] [CrossRef]
- Antoniou, M.; Cherniakov, M.; Hu, C. Space-surface bistatic SAR image formation algorithm. IEEE Trans. Geosci. Remote Sens. 2009, 47, 1827–1843. [Google Scholar] [CrossRef]
- Hu, C.; Long, T.; Liu, Z.; Zeng, T.; Tian, Y. An improved frequency domain focusing method in geosynchronous SAR. IEEE Trans. Geosci. Remote Sens. 2014, 52, 5514–5528. [Google Scholar]
- Antoniou, M.; Zeng, Z.; Feifeng, L.; Cherniakov, M. Experimental demonstration of passive BSAR imaging using navigation satellites and a fixed receiver. IEEE Geosci. Remote Sens. Lett. 2012, 9, 477–481. [Google Scholar] [CrossRef]
- Ma, H.; Antoniou, M.; Stove, A.G.; Winkel, J.; Cherniakov, M. Maritime moving target localization using passive GNSS-based multistatic radar. IEEE Trans. Geosci. Remote Sens. 2018, 56, 4808–4819. [Google Scholar] [CrossRef]
- Pastina, D.; Santi, F.; Pieralice, F.; Bucciarelli, M.; Ma, H.; Tzagkas, D.; Cherniakov, M. Maritime moving target long time integration for GNSS-based passive bistatic radar. IEEE Trans. Aerosp. Electron. Syst. 2018, 54, 115–130. [Google Scholar] [CrossRef]
- Crespo-Ballesteros, M.; Antoniou, M.; Cherniakov, M. Wind turbine blade radar signatures in the near field: Modeling and experimental confirmation. IEEE Trans. Aerosp. Electron. Syst. 2017, 53, 1916–1931. [Google Scholar] [CrossRef]
- Zhang, Q.; Antoniou, M.; Chang, W.; Cherniakov, M. Spatial decorrelation in GNSS-based SAR coherent change detection. IEEE Trans. Geosci. Remote Sens. 2015, 53, 219–228. [Google Scholar] [CrossRef]
- Wang, Y.; Liu, Y.; Li, Z.; Suo, Z.; Fang, C.; Chen, J. High-resolution Wide-swath Imaging of Spaceborne Multichannel Bistatic SAR with Inclined Geosynchronous Illuminator. IEEE Geosci. Remote Sens. Lett. 2017, 14, 2380–2384. [Google Scholar] [CrossRef]
- Sun, Z.; Wu, J.; Pei, J.; Li, Z.; Huang, Y.; Yang, J. Inclined Geosynchronous Spaceborne-Airborne Bistatic SAR: Performance Analysis and Mission Design. IEEE Trans. Geosci. Remote Sens. 2015, 54, 343–357. [Google Scholar] [CrossRef]
- Lazarov, A.; Chen, V.C.; Kostadinov, T.; Morgado, J.P. Bistatic SAR System with GPS Transmitter. In Proceedings of the IEEE Radar Conference, Ottawa, ON, Canada, 29 April–3 May 2013. [Google Scholar]
- Lazarov, A.D.; Kostadinov, T.P. Bistatic SAR/GISAR/FISAR Geometry, Signal Models and Imaging Algorithms; John Wiley & Sons, Inc.: Hoboken, NJ, USA, 2014. [Google Scholar]
- Qiu, X.; Hu, D.; Ding, C. Some reflections on bistatic SAR of forward-looking configuration. IEEE Geosci. Remote Sens. Lett. 2008, 5, 735–739. [Google Scholar] [CrossRef]
- Espeter, T.; Walterscheid, I.; Klare, J.; Brenner, A.R.; Ender, J.H. Bistatic forward-looking SAR: Results of a spaceborne-airborne experiment. IEEE Geosci. Remote Sens. Lett. 2011, 8, 765–768. [Google Scholar] [CrossRef]
- Shin, H.-S.; Lim, J.-T. Omage-K Algorithm for airborne forward-looking bistatic spotlight SAR imaging. IEEE Geosci. Remote Sens. Lett. 2011, 8, 765–768. [Google Scholar]
- Wu, J.; Li, Z.; Huang, Y.; Yang, J.; Yang, H.; Liu, Q.H. Focusing bistatic forward-looking SAR with stationary transmitter based on keystone transform and nonlinear chirp scaling. IEEE Geosci. Remote Sens. Lett. 2014, 11, 148–152. [Google Scholar] [CrossRef]
- Liu, R.; Xiong, J.; Huang, J. Analysis of bistatic SAR frequency synchronization. In Proceedings of the International Conference on Communications, Circuits and Systems, Guilin, China, 25–28 June 2006. [Google Scholar]
- Zhang, X.; Li, H.; Wang, J. The analysis of time synchronization error in bistatic SAR system. In Proceedings of the IEEE International Geoscience and Remote Sensing Symposium, Seoul, South Korea, 29 July 2005. [Google Scholar]
- Lei, K.; Wang, X.; Gong, M. Time and frequency synchronization analysis of airborne bistatic synthetic aperture radar. In Proceedings of the Asia-Pacific Microwave Conference, Bangkok, Thailand, 11–14 December 2007. [Google Scholar]
- Li, Z.; Zeng, D.; Long, T.; Wang, W.; Hu, C. Analysis of time synchronization errors in bistatic SAR. In Proceedings of the International Conference on Radar, Adelaide, SA, Australia, 2–5 September 2008. [Google Scholar]
- Tian, W.; Lin, H.; Zeng, T. Frequency and time synchronization error analysis based on generalized signal model for bistatic SAR. In Proceedings of the IET International Radar Conference, Guilin, China, 20–22 April 2009. [Google Scholar]
- Zeng, T.; Cherniakov, M.; Long, T. Generalized approach to resolution analysis in BSAR. IEEE Trans. Aerosp. Electron. Syst. 2005, 41, 461–474. [Google Scholar] [CrossRef]









| Parameter | Value |
|---|---|
| Transmitter Height | 36,000 km |
| Receiver Height | 2000 m |
| Receiver velocity | 300 m/s |
| Receiver inclination Angle | 20o |
| Carrier Frequency | 1.602 GHz |
| Signal Bandwidth | 5 MHz |
| PRF | 1000 Hz |
| Target | Range | Azimuth | ||
|---|---|---|---|---|
| PSLR (dB) | ISLR (dB) | PSLR (dB) | ISLR (dB) | |
| T1 | −27.3 | −19.4 | −13.3 | −10.2 |
| T5 | −27.2 | −19.3 | −13.2 | −10.2 |
| T9 | −27.2 | −19.3 | −13.2 | −10.2 |
| Target | Slant Range (Relative to Reference Slant Range) |
|---|---|
| H1 | 0 m |
| H2 | 510.68 m |
| H3 | 1000 m |
© 2019 by the authors. Licensee MDPI, Basel, Switzerland. This article is an open access article distributed under the terms and conditions of the Creative Commons Attribution (CC BY) license (http://creativecommons.org/licenses/by/4.0/).
Share and Cite
Zeng, Z.; Shi, Z.; Xing, S.; Pan, Y. A Fourier-Based Image Formation Algorithm for Geo-Stationary GNSS-Based Bistatic Forward-Looking Synthetic Aperture Radar. Sensors 2019, 19, 1965. https://doi.org/10.3390/s19091965
Zeng Z, Shi Z, Xing S, Pan Y. A Fourier-Based Image Formation Algorithm for Geo-Stationary GNSS-Based Bistatic Forward-Looking Synthetic Aperture Radar. Sensors. 2019; 19(9):1965. https://doi.org/10.3390/s19091965
Chicago/Turabian StyleZeng, Zhangfan, Zhiming Shi, Sainan Xing, and Yongcai Pan. 2019. "A Fourier-Based Image Formation Algorithm for Geo-Stationary GNSS-Based Bistatic Forward-Looking Synthetic Aperture Radar" Sensors 19, no. 9: 1965. https://doi.org/10.3390/s19091965
APA StyleZeng, Z., Shi, Z., Xing, S., & Pan, Y. (2019). A Fourier-Based Image Formation Algorithm for Geo-Stationary GNSS-Based Bistatic Forward-Looking Synthetic Aperture Radar. Sensors, 19(9), 1965. https://doi.org/10.3390/s19091965

